Identification of Poverty Areas by Remote Sensing and Machine Learning: A Case Study in Guizhou, Southwest China
Abstract
1. Introduction
2. Materials and Methods
2.1. Data and Area
2.2. Methodology
2.2.1. SNPP-VIIR Data Processing
2.2.2. Identification Features Selection
2.2.3. Machine Learning Method
- The 23 identification features were calculated in each county.
- The bootstrap sampling method [54] was used to randomly sample with replacement from the collected data of poor counties to construct a poverty training sample set with the same number of samples as the original data set. The unselected samples formed a poverty test sample set to measure the recognition error of the decision tree formed by the poverty training set. Two thirds of the samples were used to build the model, while the remaining one third are used as the test set. The sample sets were based on the national-level poor counties of Guizhou in 2012.
- The multiple poverty features were selected as the basis for construction of the decision tree, and the multiple decision trees were built based on multiple training sample sets constructed. According to the principle of the Classification and Regression Trees (CART) algorithm [55], the classification feature with the smallest Gini coefficient was selected from the m features as the branch node, and the optimal cut-point was determined based on the Gini coefficient after the classification feature was split to complete the construction of the CART tree.
- Starting from the root node, following the procedures in Step (3), the greedy algorithm [56] was employed to select the classification features from top to bottom, until the node cannot be split any further. Thus, the decision tree was constructed. The stopping condition was that the remaining sample number of new leaf node was less than 3.
- The above steps were repeated many times to construct multiple decision trees to form a RF.
- When there was a need to classify the sample in the poverty test set, multiple recognition results of the sample were obtained through RF, the conditional probability of recognition result of the sample was calculated, and the Boyer–Moore majority vote algorithm [55] was used to determine the result with the highest probability as the poverty identification result of the sample.
2.2.4. Spatial and Temporal Analysis of Poverty Probability
3. Results
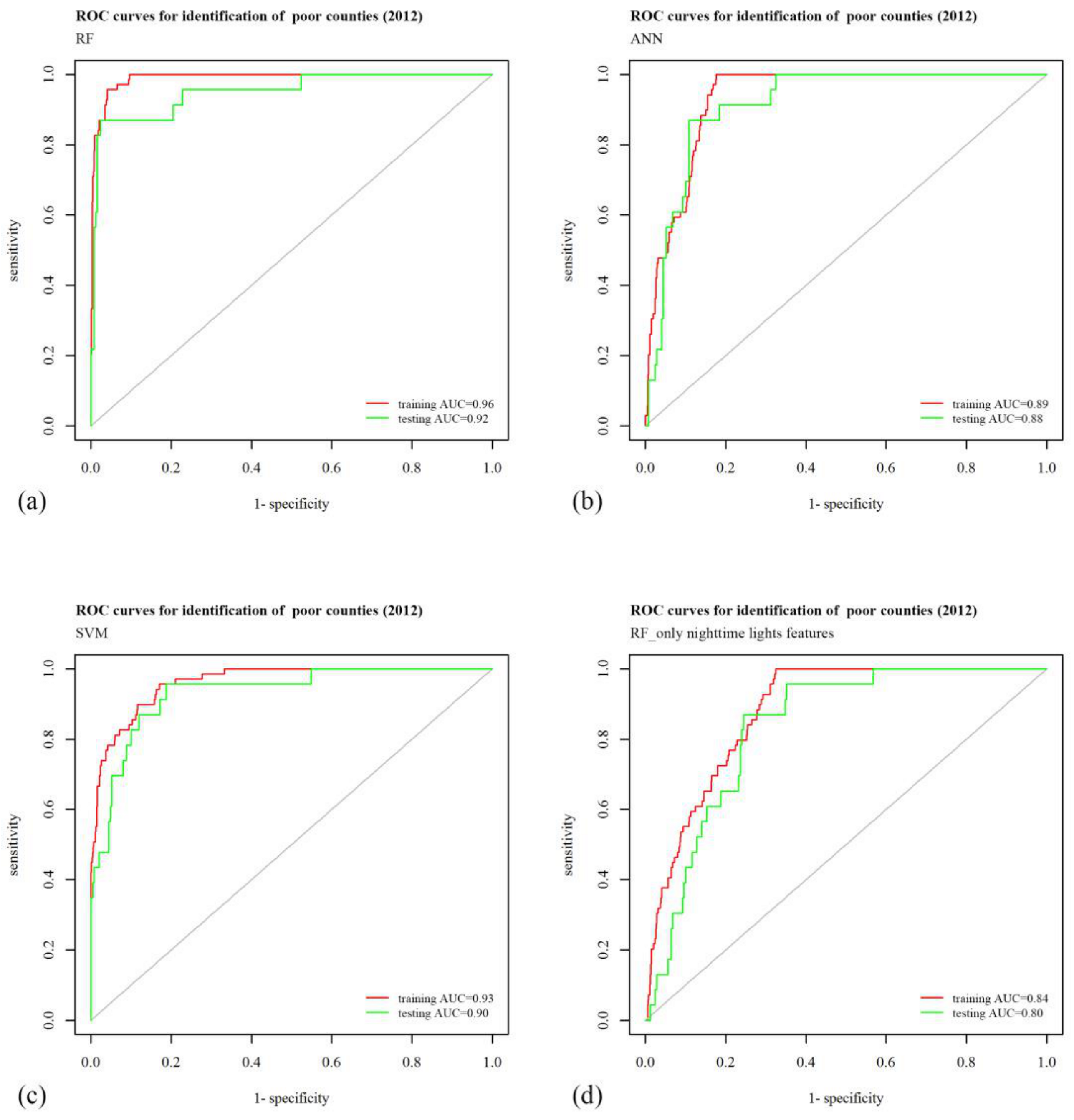
3.1. Performance of the Poverty Identification
3.2. Spatiotemporal Dynamics of Poverty Probability
4. Discussion and Conclusions
4.1. Poverty Measurement
4.2. Spatiotemporal Dynamics of Poverty
4.3. Applications and Implications
4.4. Limitations and Prospects
Author Contributions
Funding
Informed Consent Statement
Data Availability Statement
Acknowledgments
Conflicts of Interest
References
- Zhao, X.; Yu, B.; Liu, Y.; Chen, Z.; Li, Q.; Wang, C.; Wu, J. Estimation of poverty using random forest regression with multi-source data: A case study in Bangladesh. Remote Sens. 2019, 11, 375. [Google Scholar] [CrossRef]
- Lo, K.; Wang, M. How voluntary is poverty-alleviation resettlement in China? Habitat Int. 2018, 73, 34–42. [Google Scholar] [CrossRef]
- Sun, J.; Xia, T. China’s Anti-poverty strategy and post-2020 relative poverty line. China Econ. 2020, 15, 62–75. [Google Scholar] [CrossRef]
- Guo, Y.; Zhou, Y.; Cao, Z. Geographical patterns and anti-poverty targeting post-2020 in China. J. Geogr. Sci. 2018, 28, 1810–1824. [Google Scholar] [CrossRef]
- Wu, Y.; Qi, D. A gender-based analysis of multidimensional poverty in China. Asian J. Womens Stud. 2017, 23, 66–88. [Google Scholar] [CrossRef]
- Luo, G.; Wang, B.; Luo, D.; Wei, C. Spatial agglomeration characteristics of rural settlements in poor mountainous areas of Southwest China. Sustainability 2020, 12, 1818. [Google Scholar] [CrossRef]
- Yang, L.; Jiang, C.; Ren, X.; Walker, R.; Xie, J.; Zhao, Y. Determining Dimensions of Poverty Applicable in China: A Qualitative Study in Guizhou. J. Soc. Serv. Res. 2020, 1–18. [Google Scholar] [CrossRef]
- Xu, Z.; Cai, Z.; Wu, S.; Huang, X.; Liu, J.; Sun, J.; Su, S.; Weng, M. Identifying the geographic indicators of poverty using geographically weighted rgression: A case study from Qiandongnan Miao and Dong Autonomous Prefecture, Guizhou, China. Soc. Indic. Res. 2019, 142, 947–970. [Google Scholar] [CrossRef]
- Li, G.; Chang, L.; Liu, X.; Su, S.; Cai, Z.; Huang, X.; Li, B. Monitoring the spatiotemporal dynamics of poor counties in China: Implications for global sustainable development goals. J. Clean. Prod. 2019, 227, 392–404. [Google Scholar] [CrossRef]
- Labar, K.; Bresson, F. A multidimensional analysis of poverty in China from 1991 to 2006. China Econ. Rev. 2011, 22, 646–668. [Google Scholar] [CrossRef]
- Jean, N.; Burke, M.; Xie, M.; Davis, W.M.; Lobell, D.B.; Ermon, S. Combining satellite imagery and machine learning to predict poverty. Science 2016, 353, 790–794. [Google Scholar] [CrossRef] [PubMed]
- Hick, R. Material poverty and multiple deprivation in Britain: The distinctiveness of multidimensional assessment. J. Public Policy 2016, 36, 277–308. [Google Scholar] [CrossRef]
- Yu, B.; Shi, K.; Hu, Y.; Huang, C.; Chen, Z.; Wu, J. Poverty evaluation using NPP-VIIRS nighttime light composite data at the county level in China. IEEE J. Sel. Top. Appl. Earth Obs. Remote Sens. 2017, 8, 1217–1229. [Google Scholar] [CrossRef]
- Njuguna, C.; McSharry, P. Constructing spatiotemporal poverty indices from big data. J. Bus. Res. 2017, 70, 318–327. [Google Scholar] [CrossRef]
- Elvidge, C.D.; Ziskin, D.; Baugh, K.E.; Tuttle, B.T.; Ghosh, T.; Pack, D.W.; Erwin, E.H.; Zhizhin, M. A fifteen year record of global natural gas flaring derived from satellite data. Energies 2009, 2, 595–622. [Google Scholar] [CrossRef]
- Bunte, J.B.; Desai, H.; Gbala, K.; Parks, B.; Runfola, D.M. Natural resource sector FDI, government policy, and economic growth: Quasi-experimental evidence from Liberia. World Dev. 2018, 107, 151–162. [Google Scholar] [CrossRef]
- Kuffer, M.; Pfeffer, K.; Sliuzas, R. Slums from space—15 years of slum mapping using remote sensing. Remote Sens. 2016, 8, 455. [Google Scholar] [CrossRef]
- Mahabir, R.; Croitoru, A.; Crooks, A.T.; Agouris, P.; Stefanidis, A. A critical review of high and very high-resolution remote sensing approaches for detecting and mapping slums: Trends, challenges and emerging opportunities. Urban Sci. 2018, 2, 8. [Google Scholar] [CrossRef]
- Wurm, M.; Stark, T.; Zhu, X.X.; Weigand, M.; Taubenboeck, H. Semantic segmentation of slums in satellite images using transfer learning on fully convolutional neural networks. ISPRS J. Photogramm. Remote Sens. 2019, 150, 59–69. [Google Scholar] [CrossRef]
- Wurm, M.; Taubenbck, H.; Weigand, M.; Schmitt, A. Slum mapping in polarimetric SAR data using spatial features. Remote Sens. Environ. 2017, 194, 190–204. [Google Scholar] [CrossRef]
- Mast, J.; Wei, C.; Wurm, M. Mapping urban villages using fully convolutional neural networks. Remote Sens. Lett. 2020, 11, 630–639. [Google Scholar] [CrossRef]
- Engstrom, R.; Hersh, J.; Newhouse, D. Poverty from Space: Using High-Resolution Satellite Imagery for Estimating Economic Well-Being. World Bank Policy Res. Work. Pap. 2017, 8284. [Google Scholar] [CrossRef]
- Wurm, M.; Taubenböck, H. Detecting social groups from space—Assessment of remote sensing-based mapped morphological slums using income data. Remote Sens. Lett. 2018, 9, 41–50. [Google Scholar] [CrossRef]
- Hannes, T.; Jeroen, S.; Xiao, Z.; Christian, G.; Stefan, D.; Michael, W. Are the poor digitally left behind? Indications of urban divides based on remote sensing and twitter data. ISPRS Int. J. Geo Inf. 2018, 7, 304. [Google Scholar] [CrossRef]
- Niu, T.; Chen, Y.; Yuan, Y. Measuring urban poverty using multi -source data and a random forest algorithm: A case study in Guangzhou. Sustain. Cities Soc. 2020, 54, 102014. [Google Scholar] [CrossRef]
- Liu, Y.; Liu, J.; Zhou, Y. Spatio-temporal patterns of rural poverty in China and targeted poverty-alleviation strategies. J. Rural Stud. 2017, 52, 66–75. [Google Scholar] [CrossRef]
- Zhou, L.; Xiong, L. Natural topographic controls on the spatial distribution of poverty-stricken counties in China. Appl. Geogr. 2018, 90, 282–292. [Google Scholar] [CrossRef]
- National Bureau of Statistics. Available online: http://www.stats.gov.cn/tjsj/zxfb/201908/t20190829_1694202.html (accessed on 10 December 2020).
- Ren, Q.; Huang, Q.; He, C.; Tu, M.; Liang, X. The poverty dynamics in rural china during 2000–2014: A multi-scale analysis based on the poverty gap index. J. Geogr. Sci. 2018, 28, 1427–1443. [Google Scholar] [CrossRef]
- Huang, Q.; Yang, X.; Gao, B.; Wang, L.; Hu, Y.; Wang, J.; Huang, W. Application of DMSP/OLS nighttime light images: A meta-analysis and a systematic literature review. Remote Sens. 2014, 6, 6844–6866. [Google Scholar] [CrossRef]
- Keola, S.; Andersson, M.; Hall, O. Monitoring economic development from space: Using nighttime light and land cover data to measure economic growth. World Dev. 2015, 66, 322–334. [Google Scholar] [CrossRef]
- Shao, S.; Tian, Z.; Fan, M. Do the rich have stronger willingness to pay for environmental protection? New evidence from a survey in China. World Dev. 2018, 105, 83–94. [Google Scholar] [CrossRef]
- Wang, W.; Cheng, H.; Zhang, L. Poverty assessment using DMSP/OLS night-time light satellite imagery at a provincial scale in China. Adv. Space Res. 2012, 49, 1253–1264. [Google Scholar] [CrossRef]
- Pan, W.; Fu, H.; Zheng, P. Regional poverty and inequality in the Xiamen-Zhangzhou-Quanzhou city cluster in China based on NPP/VIIRS night-time light imagery. Sustainability 2020, 12, 2547. [Google Scholar] [CrossRef]
- Shi, K.; Chang, Z.; Chen, Z.; Wu, J.; Yu, B. Identifying and evaluating poverty using multisource remote sensing and point of interest (POI) data: A case study of Chongqing, China. J. Clean Prod. 2020, 255, 120245. [Google Scholar] [CrossRef]
- Li, G.; Cai, Z.; Liu, X.; Liu, J.; Su, S. A comparison of machine learning approaches for identifying high-poor counties: Robust features of DMSP/OLS night-time light imagery. Int. J. Remote Sens. 2019, 40, 5716–5736. [Google Scholar] [CrossRef]
- Xu, J.; Song, J.; Cao, X.; Sun, F. Spatial pattern of poverty and its influencing factors Based on CART Model in Guizhou Province. Econ. Geogr. 2020, 40, 166–173. [Google Scholar] [CrossRef]
- Ward, P.S. Transient poverty, poverty dynamics, and vulnerability to Poverty: An empirical analysis using a balanced panel from rural China. World Dev. 2016, 78, 541–553. [Google Scholar] [CrossRef]
- Zhang, K.; Dearing, J.A.; Dawson, T.P.; Dong, X.; Yang, X.; Zhang, W. Poverty-alleviation strategies in eastern china lead to critical ecological dynamics. Sci. Total Environ. 2015, 506–507, 164–181. [Google Scholar] [CrossRef]
- Gong, Z.; Zhao, S.; Gu, J. Correlation analysis between vegetation coverage and climate drought conditions in North China during 2001–2013. J. Geogr. Sci. 2017, 27, 143–160. [Google Scholar] [CrossRef]
- Zhong, L.; Liu, X.; Yang, P. Method for SNPP-VIIRS nighttime lights images denoising. Bull. Surv. Mapp. 2019, 3, 21–26. [Google Scholar] [CrossRef]
- Wang, W.; Cao, C.; Bai, Y.; Blonski, S.; Schull, M.A. Assessment of the NOAA S-NPP VIIRS geolocation reprocessing improvements. Remote Sens. 2017, 9, 974. [Google Scholar] [CrossRef]
- Chen, Z.; Yu, B.; Hu, Y.; Huang, C.; Shi, K.; Wu, J. Estimating house vacancy rate in metropolitan areas using NPP-VIIRS nighttime light composite data. IEEE J. Sel. Top. Appl. Earth Obs. Remote Sens. 2015, 8, 2188–2197. [Google Scholar] [CrossRef]
- Li, X.; Ge, L.; Chen, X. Detecting Zimbabwe’s decadal economic decline using nighttime light imagery. Remote Sens. 2013, 5, 4551–4570. [Google Scholar] [CrossRef]
- Small, C.; Elvidge, C.D. Night on earth: Mapping decadal changes of anthropogenic night light in Asia. Int. J. Appl. Earth Obs. Geo Inf. 2013, 22, 40–52. [Google Scholar] [CrossRef]
- Wu, J.; Wang, Z.; Li, W.; Peng, J. Exploring factors affecting the relationship between light consumption and GDP based on DMSP/OLS nighttime satellite imagery. Remote Sens. Environ. 2013, 134, 111–119. [Google Scholar] [CrossRef]
- Ma, T.; Zhou, Y.; Zhou, C.; Haynie, S.; Pei, T.; Xu, T. Night-time light derived estimation of spatio-temporal characteristics of urbanization dynamics using DMSP/OLS satellite data. Remote Sens. Environ. 2015, 158, 453–464. [Google Scholar] [CrossRef]
- You, H.; Ma, Z.; Tang, Y.; Wang, Y.; Yan, J.; Ni, M.; Cen, K.; Huang, Q. Comparison of ANN (MLP), ANFIS, SVM, and RF models for the online classification of heating value of burning municipal solid waste in circulating fluidized bed incinerators. Waste Manag. 2017, 68, 186. [Google Scholar] [CrossRef]
- Yuan, H.; Yang, G.; Li, C.; Wang, Y.; Liu, J.; Yu, H.; Feng, H.; Xu, B.; Zhao, X.; Yang, X. Retrieving soybean leaf area index from unmanned aerial vehicle hyperspectral remote sensing: Analysis of RF, ANN, and SVM regression models. Remote Sens. 2017, 9, 309. [Google Scholar] [CrossRef]
- Sun, T.; Chen, F.; Zhong, L.; Liu, W.; Wang, Y. GIS-based mineral prospectivity mapping using machine learning methods: A case study from Tongling ore district, eastern China. Ore Geol. Rev. 2019, 109, 26–49. [Google Scholar] [CrossRef]
- Luo, L. Reserch on targeted poverty indentification model based on random forest algorithms. J. Huazhong Agric. Univ. 2019, 144, 21–29. [Google Scholar] [CrossRef]
- Mutanga, O.; Adam, E.; Cho, M.A. High density biomass estimation for wetland vegetation using WorldView-2 imagery and random forest regression algorithm. Int. J. Appl. Earth Obs. Geoinf. 2012, 18, 399–406. [Google Scholar] [CrossRef]
- Stumpf, A.; Kerle, N. Object-oriented mapping of landslides using random forests. Remote Sens. Environ. 2011, 115, 2564–2577. [Google Scholar] [CrossRef]
- Rodriguez-Galiano, V.F.; Ghimire, B.; Rogan, J.; Chica-Olmo, M.; Rigol-Sanchez, J.P. An assessment of the effectiveness of a random forest classifier for land-cover classification. ISPRS J. Photogramm. Remote Sens. 2012, 67, 93–104. [Google Scholar] [CrossRef]
- Breiman, L. Random forests. Mach. Learn. 2001, 45, 5–32. [Google Scholar] [CrossRef]
- Halstead, J.B. Recruiter selection model and implementation within the United States Army. IEEE Trans. Syst. Man Cybern. Part C 2009, 39, 93–100. [Google Scholar] [CrossRef]
- Moran, P.A.P. The interpretation of statistical maps. J. R. Stat. Soc. Ser. B Stat. Methodol. 1948, 10, 243–251. [Google Scholar] [CrossRef]
- Su, S.; Zhou, H.; Xu, M.; Ru, H.; Wang, W.; Weng, M. Auditing street walkability and associated social inequalities for planning implications. J. Transp. Geogr. 2019, 74, 62–76. [Google Scholar] [CrossRef]
- Su, S.; Pi, J.; Xie, H.; Cai, Z.; Weng, M. Community deprivation, walkability, and public health: Highlighting the social inequalities in land use planning for health promotion. Land Use Policy 2017, 67, 315–326. [Google Scholar] [CrossRef]
- Songchitruksa, P.; Zeng, X. Getis–Ord spatial statistics to identify hot spots by using incident management data. Transp. Res. Rec. 2010, 2165, 42–51. [Google Scholar] [CrossRef]















| Feature Types | Aspects | Descriptions and Statistical Methods | Data Sources | 
|---|---|---|---|
| Nighttime lights | Central tendency | Average of all pixels of the nighttime lights within the county’s boundary | SNPP-VIIRS | 
| Median value of all pixels within the county’s boundary | |||
| Average light index of all pixels within the county’s boundary | |||
| Dispersion degree | Variance of all pixels within the county’s boundary | ||
| Standard deviation of all pixels within the county’s boundary | |||
| Sum of squares of deviation of all pixels within the county’s boundary | |||
| Distribution characteristics | Total value of all pixels within the county’s boundary | ||
| Number of pixels within the county’s boundary | |||
| Number of pixels greater than zero within the county’s boundary | |||
| Largest value of all pixels within the county’s boundary | |||
| Smallest value of all pixels within the county’s boundary | |||
| Range between the largest and smallest value of all pixels within the county’s boundary | |||
| Topography | Elevation | Standard deviation of all pixels of the elevation within the county’s boundary | SRTM DEM | 
| Average of all pixels of the elevation within the county’s boundary | |||
| Slope | Average of all pixels of the slope data within the county’s boundary | ||
| Percentage of pixels with slope greater than 20 degree within the county’s boundary | |||
| Surface coverage | Vegetation coverage | Average of all pixels of vegetation fraction within the county’s boundary | MODIS/Landsat | 
| water coverage | Percentage of water coverage within the county’s boundary | ||
| Building coverage | Percentage of building coverage within the county’s boundary | ||
| Reachability | Total length of road | Total length of OSM primary and secondary roads within the county’s boundary | OSM | 
| Road network density | The ratio of the total length of all roads to the total area within the county’s boundary | ||
| Distance to county capital | Average distance of all pixels to the nearest county capital within the county’s boundary | 
| Algorithm | Evaluation Indicator | |||
|---|---|---|---|---|
| Accuracy | Precision | Recall | F-Value | |
| RF | 0.9432 | 0.9592 | 0.9400 | 0.9495 | 
| ANN | 0.8636 | 0.8958 | 0.8600 | 0.8776 | 
| SVM | 0.8750 | 0.8980 | 0.9167 | 0.9072 | 
| RF only nighttime lights features | 0.7614 | 0.8085 | 0.7917 | 0.8000 | 
| Publisher’s Note: MDPI stays neutral with regard to jurisdictional claims in published maps and institutional affiliations. | 
© 2020 by the authors. Licensee MDPI, Basel, Switzerland. This article is an open access article distributed under the terms and conditions of the Creative Commons Attribution (CC BY) license (http://creativecommons.org/licenses/by/4.0/).
Share and Cite
Yin, J.; Qiu, Y.; Zhang, B. Identification of Poverty Areas by Remote Sensing and Machine Learning: A Case Study in Guizhou, Southwest China. ISPRS Int. J. Geo-Inf. 2021, 10, 11. https://doi.org/10.3390/ijgi10010011
Yin J, Qiu Y, Zhang B. Identification of Poverty Areas by Remote Sensing and Machine Learning: A Case Study in Guizhou, Southwest China. ISPRS International Journal of Geo-Information. 2021; 10(1):11. https://doi.org/10.3390/ijgi10010011
Chicago/Turabian StyleYin, Jian, Yuanhong Qiu, and Bin Zhang. 2021. "Identification of Poverty Areas by Remote Sensing and Machine Learning: A Case Study in Guizhou, Southwest China" ISPRS International Journal of Geo-Information 10, no. 1: 11. https://doi.org/10.3390/ijgi10010011
APA StyleYin, J., Qiu, Y., & Zhang, B. (2021). Identification of Poverty Areas by Remote Sensing and Machine Learning: A Case Study in Guizhou, Southwest China. ISPRS International Journal of Geo-Information, 10(1), 11. https://doi.org/10.3390/ijgi10010011
 
        

 
       