An Experimental Study of the Empirical Identification Method to Infer an Unknown System Transfer Function
Abstract
:1. Introduction
2. Identification System and Evaluation Criteria
2.1. System Identification
2.2. Performance Evaluation
3. Experimentation
3.1. Experimental Analysis Scheme
3.2. Proving Ground
3.3. Identification
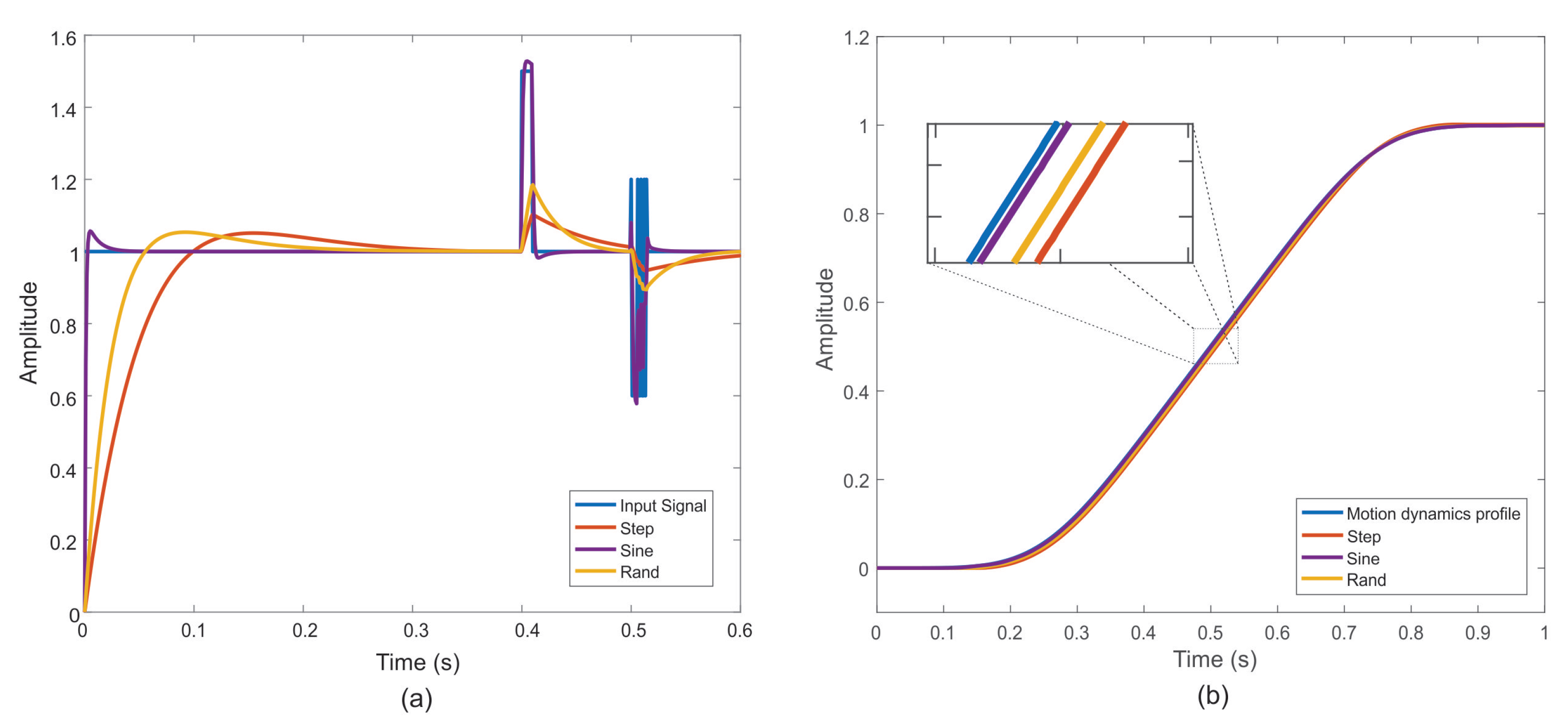
3.4. Performance Assessment of PID Controller Tuning
3.5. Performance Evaluation on a Real System
4. Discussion
5. Conclusions
Author Contributions
Funding
Institutional Review Board Statement
Informed Consent Statement
Data Availability Statement
Acknowledgments
Conflicts of Interest
Abbreviations
| PID | Proportional–integral–derivative |
| TF | Transfer function |
| ISE | Integral squared error |
| ITSE | Integral time squared error |
| IAE | Integral absolute error |
| ITAE | Integral of time-weighted absolute value of error |
| DAS | Data acquisition system |
| FPGA | Field programmable gate array |
| RLS | Recursive least squares |
| LMS | Least-mean squares |
| KF | Kalman filter |
| GA | Genetic algorithm |
| PSO | Particle swarm optimization |
References
- Ljung, L.; Chen, T.; Mu, B. A shift in paradigm for system identification. Int. J. Control 2020, 93, 173–180. [Google Scholar] [CrossRef]
- Ljung, L.; Hjalmarsson, H.; Ohlsson, H. Four encounters with system identification. Eur. J. Control 2011, 17, 449–471. [Google Scholar] [CrossRef]
- Huang, Y.; Gao, L.; Yi, Z.; Tai, K.; Kalita, P.; Prapainainar, P.; Garg, A. An application of evolutionary system identification algorithm in modeling of energy production system. Measurement 2018, 114, 122–131. [Google Scholar] [CrossRef]
- Gever, M. Identification for control: From the early achievements to the revival of experiment design. Eur. J. Control 2005, 11, 335–352. [Google Scholar] [CrossRef]
- Formentin, S.; Chiuso, A. Control-oriented regularization for linear system identification. Automatica 2021, 127, 109539. [Google Scholar] [CrossRef]
- Fu, L.; Li, P. The research survey of system identification method. In Proceedings of the 2013 5th International Conference on Intelligent Human-Machine Systems and Cybernetics, Hangzhou, China, 26–27 August 2013; pp. 397–401. [Google Scholar] [CrossRef]
- Hjalmarsson, H. System identification of complex and structured systems. Eur. J. Control 2009, 15, 275–310. [Google Scholar] [CrossRef]
- Tangirala, A.K. Principles of System Identification: Theory and Practice; Crc Press: Boca Raton, FL, USA, 2018. [Google Scholar]
- Li, J.W.; Zhang, W.J.; Yang, G.S.; Tu, S.D.; Chen, X.B. Thermal-error modeling for complex physical systems: The-state-of-arts review. Int. J. Adv. Manuf. Technol. 2009, 42, 168–179. [Google Scholar] [CrossRef]
- Elhaq, S.L.; Giri, F.; Unbehauen, H. Modelling, identification and control of sugar evaporation–theoretical design and experimental evaluation. Control Eng. Pract. 1999, 7, 931–942. [Google Scholar] [CrossRef]
- Mohamed, Y.S.; Hasaneen, B.M.; Elbaset, A.A.; Hussein, A.E. Recursive least square algorithm for estimating parameters of an induction motor. J. Eng. Sci. 2011, 39, 87–98. [Google Scholar] [CrossRef]
- Annergren, M.; Larsson, C.A.; Hjalmarsson, H.; Bombois, X.; Wahlberg, B. Application-oriented input design in system identification: Optimal input design for control [applications of control]. IEEE Control Syst. Mag. 2017, 37, 31–56. [Google Scholar] [CrossRef]
- Souza, D.A.D.; Batista, J.G.; Vasconcelos, F.J.S.; Reis, L.L.N.D.; Costa, J.R.; Junior, J.N.N.; Silva, J.L.N.; Rios, C.S.N.; Junior, A.B.S. Identification by Recursive Least Squares With Kalman Filter (RLS-KF) Applied to a Robotic Manipulator. IEEE Access 2021, 9, 63779–63789. [Google Scholar] [CrossRef]
- Akgün, G.; Khan, H.H.; Hebaish, M.; Gohringer, D. System identification using LMS, RLS, EKF and neural network. In Proceedings of the 2019 IEEE International Conference on Vehicular Electronics and Safety (ICVES), Cairo, Egypt, 4–6 September 2019; pp. 1–6. [Google Scholar] [CrossRef]
- Benesty, C.P.J.; Ciochina, S. Adaptive filtering for the identification of bilinear forms. Digit. Signal Process. 2018, 75, 153–167. [Google Scholar] [CrossRef]
- Mukhopadhyay, S.; Mukherjee, A. ImdLMS: An imputation based LMS algorithm for linear system identification with missing input data. IEEE Trans. Signal Process. 2020, 68, 2370–2385. [Google Scholar] [CrossRef]
- Khalili, A. A modified non-negative LMS algorithm for online system identification. AEU-Int. J. Electron. Commun. 2018, 95, 42–46. [Google Scholar] [CrossRef]
- Kkhrjanc, I.; Iglesias, J.A.; Sanchis, A.; Leite, D.; Lughofer, E.; Gomide, F. Evolving fuzzy and neuro-fuzzy approaches in clustering, regression, identification, and classification: A survey. Inf. Sci. 2019, 490, 344–368. [Google Scholar] [CrossRef]
- Lin, C.M.; Le, T.L.; Huynh, T.T. Self-evolving function-link interval type-2 fuzzy neural network for nonlinear system identification and control. Neurocomputing 2018, 275, 2239–2250. [Google Scholar] [CrossRef]
- Haznedar, B.; Kalinli, A. Training ANFIS structure using simulated annealing algorithm for dynamic systems identification. Neurocomputing 2018, 302, 66–74. [Google Scholar] [CrossRef]
- Wu, X.; Han, H.; Liu, Z.; Qiao, J. Data-knowledge-based fuzzy neural network for nonlinear system identification. IEEE Trans. Fuzzy Syst. 2019, 28, 2209–2221. [Google Scholar] [CrossRef]
- Han, R.; Wang, R.; Zeng, G. Identification of dynamical systems using a broad neural network and particle swarm optimization. IEEE Access 2020, 8, 132592–132602. [Google Scholar] [CrossRef]
- Sarif, B.M.; Kumar, D.A.; Rao, M.V.G. Comparison study of PID controller tuning using classical analytical methods. Int. J. Appl. Eng. Res. 2018, 13, 5618–5625. Available online: https://www.ripublication.com/ijaer18/ijaerv13n8_07.pdf (accessed on 7 October 2023).
- Alfaro, V.M.; Vilanova, R. Control of high-order processes: Near-optimal robust tuning of PID regulators for repeated-pole plus dead-time models. Int. J. Control. 2021, 1–14, in press. [Google Scholar] [CrossRef]
- Veinovic, S.; Stojic, D.; Joksimovic, D. Optimized four-parameter PID controller for AVR systems with respect to robustness. Int. J. Electr. Power Energy Syst. 2022, 135, 107529. [Google Scholar] [CrossRef]
- Gonzalez-Villagomez, E.; Gonzalez-Villagomez, J.; Mata-Chavez, I.R.; Rodriguez-Donate, C. Reconfigurable monitoring system for control applications. In Proceedings of the 2021 IEEE International Autumn Meeting on Power, Electronics and Computing (ROPEC), Ixtapa, Mexico, 10–12 November 2021; IEEE: Ixtapa, Mexico, 2021; Volume 5, pp. 1–5. [Google Scholar] [CrossRef]
- Gonzalez, E.; Rodriguez, C.; Mata, R.I.; Cabal, E.; Lopez, J.M.; Palilleros, O. Novel Gaussian Acceleration Profile for Smooth Jerk-Bounded Trajectories. IEEE Access 2022, 10, 120714–120723. [Google Scholar] [CrossRef]
- Gonzalez, J.; Rodriguez, C.; Lopez, M.; Mata, R.I.; Palilleros, O. Novel Iterative Feedback Tuning Method Based on Overshoot and Settling Time with Fuzzy Logic. Processes 2023, 11, 694. [Google Scholar] [CrossRef]






| STEPPED | SINE | RANDOM | |
| IAE | ISE | ITAE | ITSE | |
| 0.0558 | 0.0235 | 0.0096 | 0.0022 | |
| 0.0058 | 0.0016 | 0.0000138 | 0.000489 | |
| 0.0386 | 0.0139 | 0.0081 | 0.0018 |
| IAE | ISE | ITAE | ITSE | |
| 0.0196 | 0.000297 | 0.01846 | 0.000272 | |
| 0.0031 | 0.0000079 | 0.002818 | 0.000007 | |
| 0.0128 | 0.000134 | 0.01183 | 0.0001213 |
Disclaimer/Publisher’s Note: The statements, opinions and data contained in all publications are solely those of the individual author(s) and contributor(s) and not of MDPI and/or the editor(s). MDPI and/or the editor(s) disclaim responsibility for any injury to people or property resulting from any ideas, methods, instructions or products referred to in the content. |
© 2023 by the authors. Licensee MDPI, Basel, Switzerland. This article is an open access article distributed under the terms and conditions of the Creative Commons Attribution (CC BY) license (https://creativecommons.org/licenses/by/4.0/).
Share and Cite
Gonzalez-Villagomez, J.; Gonzalez-Villagomez, E.; Rodriguez-Donate, C.; Cabal-Yepez, E.; Ledesma-Carrillo, L.M.; Hernández-Gómez, G. An Experimental Study of the Empirical Identification Method to Infer an Unknown System Transfer Function. Robotics 2023, 12, 140. https://doi.org/10.3390/robotics12050140
Gonzalez-Villagomez J, Gonzalez-Villagomez E, Rodriguez-Donate C, Cabal-Yepez E, Ledesma-Carrillo LM, Hernández-Gómez G. An Experimental Study of the Empirical Identification Method to Infer an Unknown System Transfer Function. Robotics. 2023; 12(5):140. https://doi.org/10.3390/robotics12050140
Chicago/Turabian StyleGonzalez-Villagomez, Jacob, Esau Gonzalez-Villagomez, Carlos Rodriguez-Donate, Eduardo Cabal-Yepez, Luis Manuel Ledesma-Carrillo, and Geovanni Hernández-Gómez. 2023. "An Experimental Study of the Empirical Identification Method to Infer an Unknown System Transfer Function" Robotics 12, no. 5: 140. https://doi.org/10.3390/robotics12050140
APA StyleGonzalez-Villagomez, J., Gonzalez-Villagomez, E., Rodriguez-Donate, C., Cabal-Yepez, E., Ledesma-Carrillo, L. M., & Hernández-Gómez, G. (2023). An Experimental Study of the Empirical Identification Method to Infer an Unknown System Transfer Function. Robotics, 12(5), 140. https://doi.org/10.3390/robotics12050140

