Neuronal Count, Brain Injury, and Sustained Cognitive Function in 5×FAD Alzheimer’s Disease Mice Fed DHA-Enriched Diets
Abstract
1. Introduction
2. Materials and Methods
2.1. Ethics Statement
2.2. Mice, Study Design, and Experimental Diets
| Control | LSO | FO | Schizo | DHASCO | |
|---|---|---|---|---|---|
| Gross energy (kcal/kg) | 4001 ± 1.32 | 4067 ± 24.6 | 4041 ± 9.47 | 4076 ± 2.65 | 4066 ± 4.00 |
| Proximate composition (g/100 g) | |||||
| Dry matter | 91.6 ± 0.040 | 90.8 ± 0.085 | 90.8 ± 0.012 | 91.2 ± 0.081 | 91.0 ± 0.012 |
| Crude protein | 13.1 ± 0.112 | 12.9 ± 0.418 | 12.2 ± 0.127 | 12.6 ± 0.135 | 12.4 ± 0.112 |
| Crude fat | 4.23 ± 0.031 | 5.60 ± 0.060 | 5.55 ± 0.054 | 5.48 ± 0.119 | 5.74 ± 0.057 |
| Carbohydrates * | 71.7 ± 0.124 | 69.9 ± 0.432 | 70.6 ± 0.139 | 70.7 ± 0.199 | 70.5 ± 0.128 |
| Crude fibre | 3.43 ± 0.053 | 3.23 ± 0.038 | 3.09 ± 0.143 | 3.23 ± 0.161 | 3.13 ± 0.037 |
| Ash | 2.53 ± 0.011 | 2.42 ± 0.022 | 2.43 ± 0.011 | 2.45 ± 0.024 | 2.42 ± 0.021 |
| Total lipids (%) | 3.99 ± 0.439 | 5.96 ± 0.232 | 6.38 ± 0.062 | 4.26 ± 0.799 | 5.36 ± 0.062 |
| Lipid classes (%) | |||||
| PL | 2.74 ± 0.71 | 1.17 ± 0.09 | 1.67 ± 0.13 | 2.07 ± 0.31 | 0.00 ± 0.00 |
| MAG | 0 | 0 | 0 | 0 | 0 |
| 1,2 DAG | 4.42 ± 0.28 | 4.90 ± 0.25 | 5.05 ± 0.41 | 4.10 ± 0.02 | 5.14 ± 0.18 |
| 1,3 DAG + CHR | 12.9 ± 0.22 | 14.3 ± 0.51 | 10.2 ± 0.09 | 12.1 ± 0.12 | 13.2 ± 0.43 |
| FFA | 11.4 ± 0.41 | 9.58 ± 0.85 | 9.23 ± 0.97 | 9.84 ± 0.44 | 9.11 ± 0.16 |
| TAG | 68.5 ± 1.20 | 70.0 ± 0.76 | 73.8 ± 1.02 | 71.9 ± 0.63 | 72.6 ± 0.42 |
| Fatty acid composition (% total fatty acids) | |||||
| 12:0 | 0.02 ± 0.04 | 0.01 ± 0.02 | 0.05 ± 0.00 | 0.16 ± 0.01 | 0.03 ± 0.03 |
| 13:0 | 0.18 ± 0.15 | 0.16 ± 0.02 | 0.20 ± 0.02 | 0.18 ± 0.03 | 0.18 ± 0.00 |
| 14:0 | 0.25 ± 0.02 | 0.18 ± 0.01 | 1.17 ± 0.03 | 2.04 ± 0.15 | 0.25 ± 0.02 |
| 16:0 | 12.39 ± 1.39 | 9.71 ± 0.01 | 11.39 ± 0.05 | 12.87 ± 0.18 | 9.62 ± 0.10 |
| 16:1n-7 | 0.09 ± 0.08 | 0.10 ± 0.01 | 2.07 ± 0.08 | 1.88 ± 0.13 | 0.08 ± 0.07 |
| 17:0 | 0.07 ± 0.06 | 0.09 ± 0.00 | 0.10 ± 0.00 | 0.11 ± 0.00 | 0.05 ± 0.05 |
| 18:0 | 4.74 ± 0.22 | 4.70 ± 0.13 | 3.94 ± 0.04 | 3.84 ± 0.15 | 3.81 ± 0.02 |
| 18:1n-9 | 22.72 ± 0.38 | 21.92 ± 0.41 | 21.20 ± 0.10 | 18.74 ± 0.43 | 18.47 ± 0.11 |
| 18:1n-7 | 1.36 ± 0.04 | 1.15 ± 0.01 | 2.12 ± 0.03 | 2.63 ± 0.06 | 1.11 ± 0.01 |
| 18:2 n-6 | 50.67 ± 0.44 | 40.28 ± 0.10 | 38.12 ± 0.37 | 38.93 ± 0.59 | 40.51 ± 0.41 |
| 18:3 n-3 | 5.76 ± 0.18 | 20.07 ± 0.52 | 4.60 ± 0.05 | 4.46 ± 0.08 | 4.65 ± 0.06 |
| 18:4 n-3 | nd | 0.03 ± 0.05 | 0.54 ± 0.02 | 0.10 ± 0.03 | nd |
| 20:0 | nd | 0.30 ± 0.02 | 0.26 ± 0.01 | 0.30 ± 0.02 | 0.33 ± 0.00 |
| 20:1 n-9 | 0.17 ± 0.01 | 0.15 ± 0.01 | 2.92 ± 0.08 | 0.19 ± 0.02 | 0.15 ± 0.02 |
| 20:4 n-6 | nd | nd | 0.12 ± 0.01 | 0.04 ± 0.04 | 0.18 ± 0.00 |
| 20:5 n-3 | nd | nd | 2.59 ± 0.09 | 0.42 ± 0.02 | 0.12 ± 0.10 |
| 22:0 | 0.35 ± 0.02 | 0.29 ± 0.01 | 0.28 ± 0.00 | 0.30 ± 0.04 | 0.31 ± 0.01 |
| 22:5 n-6 | nd | nd | nd | 1.67 ± 0.05 | 3.37 ± 0.07 |
| 22:6 n-3 | nd | nd | 2.90 ± 0.09 | 10.01 ± 0.40 | 15.86 ± 0.37 |
| SFA | 18.38 ± 1.44 | 15.44 ± 0.16 | 17.64 ± 0.03 | 19.98 ± 0.23 | 14.60 ± 0.14 |
| MUFA | 24.37 ± 0.43 | 23.35 ± 0.39 | 31.63 ± 0.16 | 23.52 ± 0.33 | 19.84 ± 0.11 |
| PUFA | 56.50 ± 0.51 | 60.43 ± 0.52 | 49.84 ± 0.20 | 55.75 ± 0.27 | 64.80 ± 0.15 |
| n-3 PUFA | 5.76 ± 0.18 | 20.09 ± 0.54 | 11.24 ± 0.17 | 15.05 ± 0.43 | 20.71 ± 0.49 |
| n-6 PUFA | 50.67 ± 0.44 | 40.30 ± 0.08 | 38.33 ± 0.36 | 40.65 ± 0.52 | 44.06 ± 0.35 |
| n-3/n-6 | 0.11 ± 0.00 | 0.50 ± 0.01 | 0.29 ± 0.01 | 0.37 ± 0.01 | 0.47 ± 0.01 |
2.3. Behavioural Testing
2.3.1. T-Maze Test
2.3.2. Open-Field Test
2.3.3. Novel Object Recognition Test
2.4. Plasma Biochemistry Profile
2.5. Histology and Immunohistochemistry in the Brain
2.6. Total Lipids and Lipid Classes in the Experimental Diets
2.7. Fatty Acid Composition in the Liver, Brain, and Experimental Diets
2.8. Statistical Analysis
3. Results
3.1. Mice Body Weight and Feed Intake
3.2. Behavioural Assessment
3.2.1. Open-Field Test
3.2.2. Novel Object Recognition Test
3.2.3. T-Maze Test

3.3. Plasma Biochemistry Profile
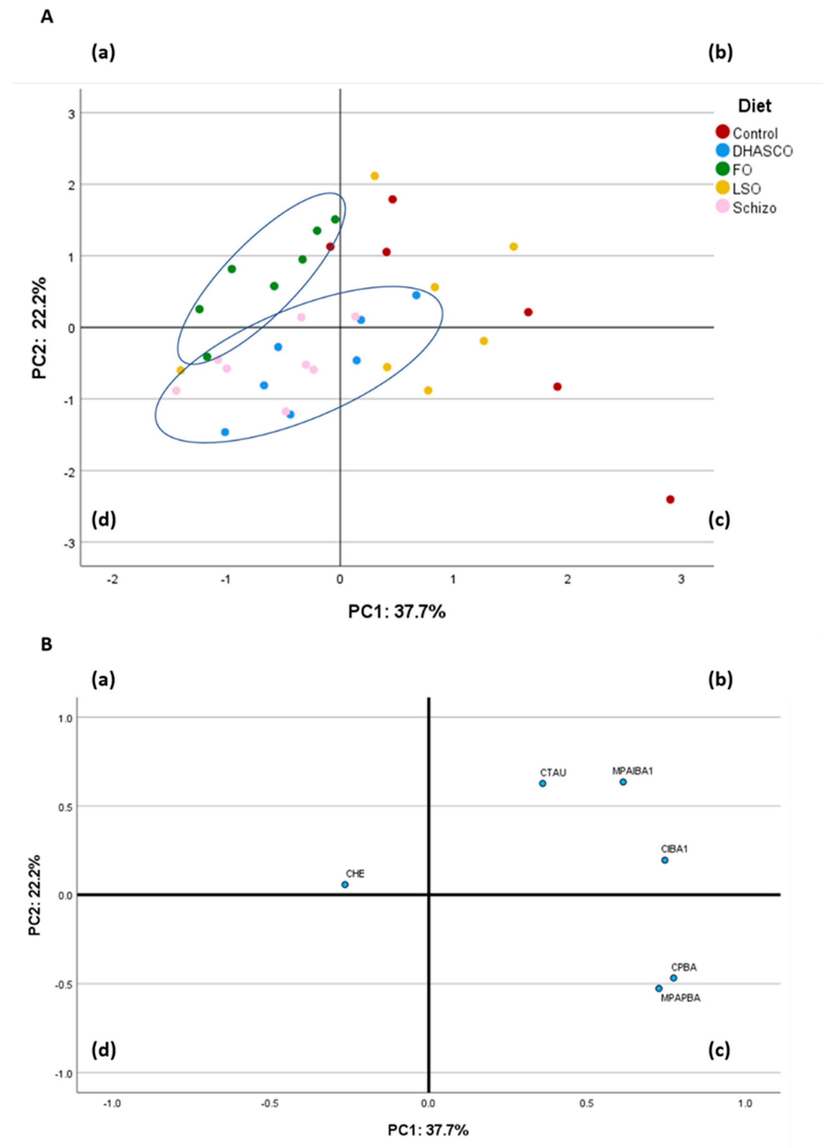
3.3.1. Pearson Correlation Coefficients Amongst Plasma Metabolites
3.3.2. Principal Component Analysis Using Plasma Metabolites
3.4. Neuronal Count and Immunohistochemistry Staining in Mouse Brains
Principal Component Analysis Using Histological and Immunohistochemistry in the Brain
3.5. Fatty Acid Profile in Mice Liver
Principal Component Analysis Using Fatty Acid Sums and n-3/n-6 Ratio in the Liver
3.6. Fatty Acid Profile in Mouse Brains
Principal Component Analysis Using Fatty Acid Sums and n-3/n-6 Ratio in the Brain
4. Discussion
5. Conclusions
Author Contributions
Funding
Institutional Review Board Statement
Informed Consent Statement
Data Availability Statement
Acknowledgments
Conflicts of Interest
References
- Cardoso, C.; Afonso, C.; Bandarra, N.M. Dietary DHA and health: Cognitive function ageing. Nutr. Res. Rev. 2016, 29, 281–294. [Google Scholar] [CrossRef]
- Calder, P.C. Mechanisms of action of (n-3) fatty acids. J. Nutr. 2012, 142, 592S–599S. [Google Scholar] [CrossRef] [PubMed]
- Fares, H.; Lavie, C.J.; DiNicolantonio, J.J.; O’Keefe, J.H.; Milani, R.V. Omega-3 fatty acids: A growing ocean of choices. Curr. Atheroscler. Rep. 2014, 16, 389. [Google Scholar] [CrossRef] [PubMed]
- Van, A.L.; Sakayori, N.; Hachem, M.; Belkouch, M.; Picq, M.; Fourmaux, B.; Lagarde, M.; Osumi, N.; Bernoud-Hubac, N. Targeting the brain with a neuroprotective omega-3 fatty acid to enhance neurogenesis in hypoxic condition in culture. Mol. Neurobiol. 2019, 56, 986–999. [Google Scholar] [CrossRef]
- Cao, D.; Kevala, K.; Kim, J.; Moon, H.-S.; Jun, S.B.; Lovinger, D.; Kim, H.-Y. Docosahexaenoic acid promotes hippocampal neuronal development and synaptic function. J. Neurochem. 2009, 111, 510–521. [Google Scholar] [CrossRef]
- Horrocks, L.A.; Yeo, Y.K. Health benefits of docosahexaenoic acid (DHA). Pharmacol. Res. 1999, 40, 211–225. [Google Scholar] [CrossRef] [PubMed]
- Rathod, R.; Kale, A.; Joshi, S. Novel insights into the effect of vitamin B12 and omega-3 fatty acids on brain function. J. Biomed. Sci. 2016, 23, 17. [Google Scholar] [CrossRef]
- Ranjan, V.D.; Qiu, L.; Tan, E.K.; Zeng, L.; Zhang, Y. Modelling Alzheimer’s disease: Insights from in vivo to in vitro threedimensional culture platforms. J. Tissue Eng. Regen. Med. 2018, 12, 1944–1958. [Google Scholar] [CrossRef]
- Scheltens, P.; De Strooper, B.; Kivipelto, M.; Holstege, H.; Chételat, G.; Teunissen, C.E.; Cummings, J.; van der Flier, W.M. Alzheimer’s disease. Lancet 2021, 397, 1577–1590. [Google Scholar] [CrossRef]
- Pádua, M.S.; Guil-Guerrero, J.L.; Lopes, P.A. Behaviour hallmarks in Alzheimer’s disease 5xFAD mouse model. Int. J. Mol. Sci. 2024, 25, 6766. [Google Scholar] [CrossRef]
- Nussbaum, R.L.; Ellis, C.E. Alzheimer’s disease and Parkinson’s disease. N. Engl. J. Med. 2003, 348, 1356–1364. [Google Scholar] [CrossRef]
- Caito, S.W.; Newell-Caito, J.L. Simple in vivo models of Alzheimer’s disease. In Drug Discovery Approaches for the Treatment of Neurodegenerative Disorders; Adejare, A., Ed.; Academic Press: Cambridge, MA, USA; Elsevier: Amsterdam, The Netherlands, 2017; pp. 211–233. [Google Scholar] [CrossRef]
- Armstrong, R.A. The molecular biology of senile plaques and neurofibrillary tangles in Alzheimer’s disease. Folia Neuropathol. 2009, 47, 289–299. [Google Scholar] [PubMed]
- Ittner, L.M.; Gotz, J. Amyloid-β and tau—A toxic pas de deux in Alzheimer’s disease. Nat. Rev. Neurosci. 2011, 12, 67–72. [Google Scholar] [CrossRef] [PubMed]
- Bruinsma, I.B.; Wilhelmus, M.M.; Kox, M.; Veerhuis, R.; de Waal, R.M.; Verbeek, M.M. Apolipoprotein E protects cultured pericytes and astrocytes from D-Aβ1–40-mediated cell death. Brain Res. 2010, 1315, 169–180. [Google Scholar] [CrossRef]
- Mawuenyega, K.G.; Sigurdson, W.; Ovod, V.; Munsell, L.; Kasten, T.; Morris, J.C.; Yarasheski, K.E.; Bateman, R.J. Decreased clearance of CNS β-amyloid in Alzheimer’s disease. Science 2010, 330, 1774. [Google Scholar] [CrossRef]
- Paroni, G.; Bisceglia, P.; Seripa, D. Understanding the amyloid hypothesis in Alzheimer’s disease. J. Alzheimer’s Dis. 2019, 68, 493–510. [Google Scholar] [CrossRef]
- Ballard, C.; Gauthier, S.; Corbett, A.; Brayne, C.; Aarsland, D.; Jones, E. Alzheimer’s disease. Lancet 2011, 377, 1019–1031. [Google Scholar] [CrossRef]
- Guo, T.; Noble, W.; Hanger, D.P. Roles of tau protein in health and disease. Acta Neuropathol. 2017, 133, 665–704. [Google Scholar] [CrossRef]
- Yiannopoulou, K.G.; Papageorgiou, S.G. Current and future treatments in Alzheimer disease: An update. J. Cent. Nerv. Syst. Dis. 2020, 12, 1179573520907397. [Google Scholar] [CrossRef] [PubMed]
- Long, S.; Benoist, C.; Weidner, W. World Alzheimer Report 2023: Reducing Dementia Risk: Never Too Early, Never Too Late; Alzheimer’s Disease International: London, UK, 2023; p. 96. [Google Scholar]
- Pádua, M.S.; Guil-Guerrero, J.L.; Prates, J.A.M.; Lopes, P.A. Insights on the use of transgenic mice models in Alzheimer’s disease research. Int. J. Mol. Sci. 2024, 25, 2805. [Google Scholar] [CrossRef]
- Deckelbaum, R.J.; Torrejon, C. The omega-3 fatty acid nutritional landscape: Health benefits and sources. J. Nutr. 2012, 142, 587S–591S. [Google Scholar] [CrossRef] [PubMed]
- Ghelichi, S.; Hajfathalian, M.; García-Moreno, P.J.; Yesiltas, B.; Moltke-Sørensen, A.-D.; Jacobsen, C. Food enrichment with omega-3 polyunsaturated fatty acid. In Omega-3 Delivery Systems; García-Moreno, P.J., Jacobsen, C., Sørensen, A.-D.M., Yesiltas, B., Eds.; Academic Press: Cambridge, MA, USA, 2021; ISBN 9780128213919. [Google Scholar]
- Rahmani-Manglano, N.E.; Guadix, E.M.; Jacobsen, C.; García-Moreno, P.J. Comparative study on the oxidative stability of encapsulated fish oil by monoaxial or coaxial electrospraying and spray-drying. Antioxidants 2023, 12, 266. [Google Scholar] [CrossRef]
- Marangoni, F.; Poli, A. n-3 fatty acids: Functional differences between food intake, oral supplementation and drug treatments. Int. J. Cardiol. 2013, 170, S12–S15. [Google Scholar] [CrossRef]
- Winwood, R.J. Recent developments in the commercial production of DHA and EPA rich oils from micro-algae. OCL 2013, 20, D604. [Google Scholar] [CrossRef]
- Sala-Vila, A.; Arenaza-Urquijo, E.M.; Sánchez-Benavides, G.; Suárez-Calvet, M.; Milà-Alomà, M.; Grau-Rivera, O.; González-de-Echávarri, J.M.; Crous-Bou, M.; Minguillón, C.; Fauria, K.; et al. DHA intake relates to better cerebrovascular and neurodegeneration neuroimaging phenotypes in middle-aged adults at increased genetic risk of Alzheimer disease. Am. J. Clin. Nutr. 2021, 113, 1627–1635. [Google Scholar] [CrossRef]
- Jayatunga, D.P.W.; Hone, E.; Fernando, W.M.A.D.B.; Garg, M.L.; Verdile, G.; Martins, R.N. A synergistic combination of DHA, luteolin, and urolithin A against Alzheimer’s disease. Front. Aging Neurosci. 2022, 14, 780602. [Google Scholar] [CrossRef] [PubMed]
- Lopes, P.A.; Bandarra, N.M.; Martins, S.V.; Martinho, J.; Alfaia, C.M.; Madeira, M.S.; Cardoso, C.; Afonso, C.; Paulo, M.C.; Pinto, R.M.A.; et al. Markers of neuroprotection of combined EPA and DHA provided by fish oil are higher than those of EPA (Nannochloropsis) and DHA (Schizochytrium) from microalgae oils in Wistar rats. Nutr. Metab. 2017, 14, 62. [Google Scholar] [CrossRef] [PubMed]
- Cardoso, C.; Martinho, J.P.; Lopes, P.A.; Martins, S.; Correia, J.; Afonso, C.; Alarcón, F.J.; González-Fernández, M.J.; Pinto, R.M.A.; Prates, J.A.M.; et al. Stearidonic acid combined with alpha-linolenic acid improves lipemic and neurological markers in a rat model subject to a hypercaloric diet. Prostaglandins Leukot. Essent. Fatty Acids 2018, 135, 137–146. [Google Scholar] [CrossRef]
- Murru, E.; Lopes, P.A.; Carta, G.; Manca, C.; Abolghasemi, A.; Guil-Guerrero, J.L.; Prates, J.A.M.; Banni, S. Different dietary N-3 polyunsaturated fatty acid formulations distinctively modify tissue fatty acid and N-acylethanolamine profiles. Nutrients 2021, 13, 625. [Google Scholar] [CrossRef]
- Van Zutphen, L.F.M.; Baumans, V.; Beynen, A.C. Principles of Laboratory Animal Science: A Contribution to the Humane Use and Care of Animals and to the Quality of Experimental Results, 2nd ed.; Elsevier Ltd.: Amsterdam, The Netherlands, 2001; p. 416. [Google Scholar]
- AOAC (Association of Official Analytical Chemists). Official Methods of Analysis, 17th ed.; AOAC: Arlington, TX, USA, 2000. [Google Scholar]
- Bandarra, N.M.; Batista, I.; Nunes, M.L.; Empis, J.M.; Christie, W.W. Seasonal changes in lipid composition of sardine (Sardina pilchardus). J. Food Sci. 1997, 62, 40–42. [Google Scholar] [CrossRef]
- Martins, C.F.; Pestana, J.M.; Ribeiro, D.M.; Madeira, M.S.; Alfaia, C.M.; Lopes, P.A.; Coelho, D.; Lemos, J.P.; Almeida, A.M.; Prates, J.A.; et al. Effect of dietary inclusion of Spirulina on production performance, nutrient digestibility and meat quality traits in post-weaning piglets. J. Anim. Physiol. Anim. Nutr. 2021, 105, 247–259. [Google Scholar] [CrossRef] [PubMed]
- FAO (Food and Agriculture Organization of the United Nations). Food Energy: Methods of Analysis and Conversion Factors (FAO Food and Nutrition Paper No. 77); FAO: Rome, Italy, 2003; Available online: https://www.fao.org/3/y5022e/y5022e00.htm (accessed on 2 May 2025).
- Girard, S.D.; Baranger, K.; Gauthier, C.; Jacquet, M.; Bernard, A.; Escoffier, G.; Marchetti, E.; Khrestchatisky, M.; Rivera, S.; Roman, F.S. Evidence for early cognitive impairment related to frontal cortex in the 5XFAD mouse model of Alzheimer’s disease. J. Alzheimer’s Dis. 2013, 33, 781–796. [Google Scholar] [CrossRef]
- d’Isa, R.; Comi, G.; Leocani, L. Apparatus design and behavioural testing protocol for the evaluation of spatial working memory in mice through the spontaneous alternation T-maze. Sci. Rep. 2021, 11, 21177. [Google Scholar] [CrossRef]
- Bevins, R.A.; Besheer, J. Object recognition in rats and mice: A one-trial non-matching-to-sample learning task to study ‘recognition memory’. Nat. Protoc. 2006, 1, 1306–1311. [Google Scholar] [CrossRef]
- Friedewald, W.; Levy, R.; Fredrickson, D. Estimation of the concentration of low-density lipoprotein cholesterol in plasma, without use of the preparative ultracentrifuge. Clin. Chem. 1972, 18, 499–502. [Google Scholar] [CrossRef]
- Covaci, A.; Voorspoels, S.; Thomsen, C.; van Bavel, B.; Neels, H. Evaluation of total lipids using enzymatic methods for the normalization of persistent organic pollutant levels in serum. Sci. Total Environ. 2006, 366, 361–366. [Google Scholar] [CrossRef]
- Christensen, A.; Pike, C. Staining and quantification of β-amyloid pathology in transgenic mouse models of Alzheimer’s disease. In Aging: Methods and Protocols; Curran, S., Ed.; Humana Press: Totowa, NJ, USA, 2020; Chapter 19; pp. 211–221. [Google Scholar]
- Bligh, E.G.; Dyer, W.J. A rapid method of total lipid extraction and purification. Can. J. Biochem. Physiol. 1959, 37, 911–917. [Google Scholar] [CrossRef]
- Gomes, R.; Mendes, I.; Duarte, M.P.; Bandarra, N.M.; Gomes-Bispo, A. New forms of neuroactive phospholipids for DHA enrichment in brain. Mar. Drugs 2024, 22, 116. [Google Scholar] [CrossRef] [PubMed]
- Folch, J.; Lees, M.; Stanley, G.H. A simple method for the isolation and purification of total lipids from animal tissues. J. Biol. Chem. 1957, 226, 497–509. [Google Scholar] [CrossRef] [PubMed]
- SAS/STAT. User’s Guide; Version 9.1; SAS Institute: Cary, NC, USA, 2004. [Google Scholar]
- O’Sullivan, A.; Gibney, M.J.; Lorraine, B. Dietary intake patterns are reflected in metabolomic profiles: Potential role in dietary assessment studies. Am. J. Clin. Nutr. 2011, 93, 314–321. [Google Scholar] [CrossRef] [PubMed]
- Noerman, S.; Landberg, R. Blood metabolite profiles linking dietary patterns with health-Toward precision nutrition. J. Intern. Med. 2023, 293, 408–432. [Google Scholar] [CrossRef]
- Bhattacharya, S.; Munshi, C. Biological significance of C-reactive protein, the ancient acute phase functionary. Front. Immunol. 2023, 14, 1238411. [Google Scholar] [CrossRef]
- Canbay, A.; Bechmann, L.; Gerken, G. Lipid metabolism in the liver. Z. Gastroenterol. 2007, 45, 35–41. [Google Scholar] [CrossRef]
- Nguyen, P.; Leray, V.; Diez, M.; Serisier, S.; Le Bloc’h, J.; Siliart, B.; Dumon, H. Liver lipid metabolism. J. Anim. Physiol. Anim. Nutr. 2008, 92, 272–283. [Google Scholar] [CrossRef] [PubMed]
- Calder, P.C. Polyunsaturated fatty acids and inflammatory processes: New twists in an old tale. Biochimie 2009, 91, 791–795. [Google Scholar] [CrossRef]
- Cranmer-Byng, M.M.; Liddle, D.M.; De Boer, A.A.; Monk, J.M.; Robinson, L.E. Proinflammatory effects of arachidonic acid in a lipopolysaccharide-induced inflammatory microenvironment in 3T3-L1 adipocytes in vitro. Appl. Physiol. Nutr. Metab. 2015, 40, 142–154. [Google Scholar] [CrossRef]
- Bourre, J.M. Diet, brain lipids, and brain functions: Polyunsaturated fatty acids, mainly omega-3 fatty acids. In Handbook of Neurochemistry and Molecular Neurobiology; Lajtha, A., Tettamanti, G., Goracci, G., Eds.; Springer: Boston, MA, USA, 2009. [Google Scholar] [CrossRef]
- Rodrigues, P.O.; Martins, S.V.; Lopes, P.A.; Ramos, C.; Miguéis, S.; Alfaia, C.M.; Pinto, R.M.A.; Rolo, E.A.; Bispo, P.; Batista, I.; et al. Influence of feeding graded levels of canned sardines on the inflammatory markers and tissue fatty acid composition of Wistar rats. Br. J. Nutr. 2014, 112, 309–319. [Google Scholar] [CrossRef] [PubMed]
- Bandarra, N.M.; Lopes, P.A.; Martins, S.V.; Ferreira, J.; Alfaia, C.M.; Rolo, E.A.; Correia, J.J.; Pinto, R.M.A.; Ramos-Bueno, R.P.; Batista, I.; et al. Docosahexaenoic acid at the sn-2 position of structured triacylglycerols improved n-3 polyunsaturated fatty acid assimilation in tissues of hamsters. Nutr. Res. 2016, 36, 452–463. [Google Scholar] [CrossRef]
- Lopes, P.A.; Bandarra, N.M.; Martins, S.V.; Madeira, M.S.; Ferreira, J.; Guil-Guerrero, J.L.; Prates, J.A.M. Docosahexaenoic acid (DHA) at the sn-2 position of triacylglycerols increases DHA incorporation in brown, but not in white adipose tissue, of hamsters. Int. J. Food Sci. Nutr. 2018, 69, 458–471. [Google Scholar] [CrossRef] [PubMed]
- Bourre, J.M. Roles of unsaturated fatty acids (especially omega-3 fatty acids) in the brain at various ages and during ageing. J. Nutr. Health Aging 2004, 8, 163–174. [Google Scholar]
- De Mello-Sampayo, C.; Paterna, A.; Polizzi, A.; Duarte, D.; Batista, I.; Pinto, R.; Gonçalves, P.; Raymundo, A.; Batista, A.P.; Gouveia, L.; et al. Evaluation of marine microalga Diacronema vlkianum biomass fatty acid assimilation in Wistar rats. Molecules 2017, 22, 1097. [Google Scholar] [CrossRef] [PubMed]
- Metherel, A.H.; Rezaei, K.; Lacombe, R.J.S.; Bazinet, R.P. Plasma unesterified eicosapentaenoic acid is converted to docosahexaenoic acid (DHA) in the liver and supplies the brain with DHA in the presence or absence of dietary DHA. Biochim. Biophys. Acta (BBA)-Mol. Cell Biol. Lipids 2021, 1866, 158942. [Google Scholar] [CrossRef]
- Weiser, M.J.; Butt, C.M.; Mohajeri, M.H. Docosahexaenoic acid and cognition throughout the lifespan. Nutrients 2016, 8, 99. [Google Scholar] [CrossRef] [PubMed]
- Hung, H.-C.; Tsai, S.-F.; Chou, H.-W.; Tsai, M.-J.; Hsu, P.-L.; Kuo, Y.-M. Dietary fatty acids differentially affect secretion of pro-inflammatory cytokines in human THP-1 monocytes. Sci. Rep. 2023, 13, 5511. [Google Scholar] [CrossRef]
- DeKosky, S.T.; Scheff, S.W. Synapse loss in frontal cortex biopsies in Alzheimer’s disease: Correlation with cognitive severity. Ann. Neurol. 1990, 27, 457–464. [Google Scholar] [CrossRef]
- Cummings, J.; Aisen, P.S.; DuBois, B.; Frölich, L.; Jack, C.R., Jr.; Jones, R.W.; Scheltens, P. Drug development in Alzheimer’s disease: The path to 2025. Alzheimer’s Res. Ther. 2018, 10, 1–13. [Google Scholar] [CrossRef]
- Onos, K.D.; Sukoff Rizzo, S.J.; Howell, G.R.; Sasner, M. Toward more predictive genetic mouse models of Alzheimer’s disease. Brain Res. Bull. 2019, 145, 3–9. [Google Scholar] [CrossRef]
- Selkoe, D.J.; Hardy, J. The amyloid hypothesis of Alzheimer’s disease at 25 years. EMBO Mol. Med. 2019, 11, e10627. [Google Scholar] [CrossRef] [PubMed]
- Tang, X.; Wu, D.; Gu, L.-H.; Nie, B.-B.; Qi, X.-Y.; Wang, Y.-J.; Wu, F.-F.; Li, X.-L.; Bai, F.; Chen, X.-C.; et al. Spatial learning and memory impairments are associated with increased neuronal activity in 5XFAD mouse as measured by manganese-enhanced magnetic resonance imaging. Oncotarget 2016, 7, 57556–57570. [Google Scholar] [CrossRef]
- Gu, L.; Wu, D.; Tang, X.; Qi, X.; Li, X.; Bai, F.; Chen, X.; Ren, Q.; Zhang, Z. Myelin changes at the early stage of 5XFAD mice. Brain Res. Bull. 2018, 137, 285–293. [Google Scholar] [CrossRef]
- Oakley, H.; Cole, S.L.; Logan, S.; Maus, E.; Shao, P.; Craft, J.; Guillozet-Bongaarts, A.; Ohno, M.; Disterhoft, J.; Eldik, L.V.; et al. Intraneuronal beta-amyloid aggregates, neurodegeneration, and neuron loss in transgenic mice with five familial Alzheimer’s disease mutations: Potential factors in amyloid plaque formation. J. Neurosci. 2006, 26, 10129–10140. [Google Scholar] [CrossRef] [PubMed]
- Ohno, M.; Chang, L.; Tseng, W.; Oakley, H.; Citron, M.; Klein, W.L.; Vassar, R.; Disterhoft, J.F. Temporal memory deficits in Alzheimer’s mouse models: Rescue by genetic deletion of BACE1. Eur. J. Neurosci. 2006, 23, 251–260. [Google Scholar] [CrossRef]
- Wassall, S.R.; Stillwell, W. Docosahexaenoic acid domains: The ultimate nonraft membrane domain. Chem. Phys. Lipids 2008, 153, 57–63. [Google Scholar] [CrossRef] [PubMed]
- Soveral, G.; Martins, A.P.; Martins, S.V.; Lopes, P.A.; Alfaia, C.M.; Prates, J.A.M.; Moura, T.F. Effect of dietary conjugated linoleic acid isomers on water and glycerol permeability of kidney membranes. Biochem. Biophys. Res. Comm. 2009, 383, 108–112. [Google Scholar] [CrossRef]
- Zhao, W.-N.; Hylton, N.K.; Wang, J.; Chindavong, P.S.; Alural, B.; Kurtser, I.; Subramanian, A.; Mazitschek, R.; Perlis, R.H.; Haggarty, S.J. Activation of WNT and CREB signaling pathways in human neuronal cells in response to the omega-3 fatty acid docosahexaenoic acid (DHA). Mol. Cell. Neurosci. 2019, 99, 102286. [Google Scholar] [CrossRef]
- Kar, A.; Ghosh, P.; Patra, P.; Chini, D.S.; Nath, A.K.; Saha, J.K.; Patra, B.C. Omega-3 fatty acids mediated cellular signaling and its regulation in human health. Clin. Nutr. Open Sci. 2023, 52, 72–86. [Google Scholar] [CrossRef]
- Luo, H.-Q.; Huang, Y.-M.; Li, J.; Tang, X.-D.; Chen, R.; Wang, Y.; Ren, J.; Dai, Q.-Q.; Lan, L.-B.; Chen, J.-Y.; et al. DHA inhibits invasion and metastasis in NSCLC cells by interfering with CCL18/STAT3 signaling pathway. Clin. Exp. Med. 2023, 23, 2311–2320. [Google Scholar] [CrossRef]
- De Boer, A.A.; Monk, J.M.; Robinson, L.E. Docosahexaenoic acid decreases pro-inflammatory mediators in an in vitro murine adipocyte macrophage co-culture model. PLoS ONE 2014, 9, e85037. [Google Scholar] [CrossRef] [PubMed]
- Zgórzyńska, E.; Stulczewski, D.; Dziedzic, B.; Su, K.-P.; Walczewska, A. Docosahexaenoic fatty acid reduces the pro-inflammatory response induced by IL-1β in astrocytes through inhibition of NF-κB and AP-1 transcription factor activation. BMC Neurosci. 2021, 22, 4. [Google Scholar] [CrossRef]
- Wieczorek-Szukala, K.; Markiewicz, M.; Walczewska, A.; Zgorzynska, E. Docosahexaenoic acid (DHA) reduces LPS-induced inflammatory response via ATF3 transcription factor and stimulates Src/Syk signaling-dependent phagocytosis in microglia. Cell. Physiol. Biochem. 2023, 57, 411–425. [Google Scholar] [CrossRef]
- Eimer, W.A.; Vassar, R. Neuron loss in the 5XFAD mouse model of Alzheimer’s disease correlates with intraneuronal Aβ42 accumulation and caspase-3 activation. Mol. Neurodegener. 2013, 8, 2. [Google Scholar] [CrossRef] [PubMed]
- Boza-Serrano, A.; Yang, Y.; Paulus, A.; Deierborg, T. Innate immune alterations are elicited in microglial cells before plaque deposition in the Alzheimer’s disease mouse model 5xFAD. Sci. Rep. 2018, 8, 1550. [Google Scholar] [CrossRef]
- Forner, S.; Kawauchi, S.; Balderrama-Gutierrez, G.; Kramár, E.A.; Matheos, D.P.; Phan, J.; Javonillo, D.I.; Tran, K.M.; Hingco, E.; da Cunha, C.; et al. Systematic phenotyping and characterization of the 5xFAD mouse model of Alzheimer’s disease. Sci. Data 2021, 8, 270. [Google Scholar] [CrossRef]
- Jawhar, S.; Trawicka, A.; Jenneckens, C.; Bayer, T.A.; Wirths, O. Motor deficits, neuron loss, and reduced anxiety coinciding with axonal degeneration and intraneuronal Aβ aggregation in the 5XFAD mouse model of Alzheimer’s disease. Neurobiol. Aging 2012, 33, 196.e29–196.e40. [Google Scholar] [CrossRef]
- Robel, S.; Berninger, B.; Gotz, M. The stem cell potential of glia: Lessons from reactive gliosis. Nat. Rev. Neurosci. 2011, 12, 88–104. [Google Scholar] [CrossRef]
- Serrano-Pozo, A.; Muzikansky, A.; Gómez-Isla, T.; Growdon, J.H.; Betensky, R.A.; Frosch, M.P.; Hyman, B.T. Differential relationships of reactive astrocytes and microglia to fibrillar amyloid deposits in Alzheimer disease. J. Neuropathol. Exp. Neurol. 2013, 72, 462–471. [Google Scholar] [CrossRef]
- Bennett, M.L.; Viaene, A.N. What are activated and reactive glia and what is their role in neurodegeneration? Neurobiol. Dis. 2021, 148, 105172. [Google Scholar] [CrossRef]
- Hopperton, K.; Mohammad, D.; Trépanier, M.; Giuliano, V.; Bazinet, R.P. Markers of microglia in post-mortem brain samples from patients with Alzheimer’s disease: A systematic review. Mol. Psychiatry 2018, 23, 177–198. [Google Scholar] [CrossRef] [PubMed]
- Jurga, A.M.; Paleczna, M.; Kuter, K.Z. Overview of general and discriminating markers of differential microglia phenotypes. Front. Cell Neurosci. 2020, 14, 198. [Google Scholar] [CrossRef] [PubMed]
- Blaszczyk, L.; Maître, M.; Lesté-Lasserre, T.; Clark, S.; Cota, D.; Oliet, S.H.R.; Fénelon, V.S. Sequential alteration of microglia and astrocytes in the rat thalamus following spinal nerve ligation. J. Neuroinflamm. 2018, 15, 349. [Google Scholar] [CrossRef]
- Heneka, M.T.; Golenbock, D.T.; Latz, E. Innate immunity in Alzheimer’s disease. Nat. Immunol. 2015, 16, 229–236. [Google Scholar] [CrossRef] [PubMed]
- Heppner, F.L.; Ransohoff, R.M.; Becher, B. Immune attack: The role of inflammation in Alzheimer disease. Nat. Rev. Neurosci. 2015, 16, 358–372. [Google Scholar] [CrossRef]
- Grimm, M.O.W.; Kuchenbecker, J.; Grösgen, S.; Burg, V.K.; Hundsdörfer, B.; Rothhaar, T.L.; Friess, P.; Wilde, M.C.; Broersen, L.M.; Penke, B.; et al. Docosahexaenoic acid reduces amyloid β production via multiple pleiotropic mechanisms. J. Biol. Chem. 2011, 286, 14028–14039. [Google Scholar] [CrossRef]
- Xiao, M.; Xiang, W.; Chen, Y.; Peng, N.; Du, X.; Lu, S.; Zuo, Y.; Li, B.; Hu, Y.; Li, X. DHA ameliorates cognitive ability, reduces amyloid deposition, and nerve fiber production in Alzheimer’s Disease. Front. Nutr. 2022, 9, 852433. [Google Scholar] [CrossRef]
- Jucker, M. The benefits and limitations of animal models for translational research in neurodegenerative diseases. Nat. Rev. Neurosci. 2010, 11, 351–357. [Google Scholar] [CrossRef]
- Tayeb, H.O.; Yang, H.D.; Price, B.H.; Tarazi, F.I. Pharmacotherapies for Alzheimer’s disease: Beyond cholinesterase inhibitors. Alzheimer’s Res. Ther. 2013, 5, 13. [Google Scholar] [CrossRef] [PubMed]
- Mietelska-Porowska, A.; Wasik, U.; Goras, M.; Filipek, A.; Niewiadomska, G. Tau protein modifications and interactions: Their role in function and dysfunction. Int. J. Mol. Sci. 2014, 15, 4671–4713. [Google Scholar] [CrossRef] [PubMed]
- Barbier, P.; Zejneli, O.; Martinho, M.; Lasorsa, A.; Belle, V.; Smet-Nocca, C.; Tsvetkov, P.O.; Devred, F.; Landrieu, I. Role of Tau as a microtubule-associated protein: Structural and functional aspects. Front. Aging Neurosci. 2019, 11, 204. [Google Scholar] [CrossRef]
- Schneider, A.; Mandelkow, E. Tau-based treatment strategies in neurodegenerative diseases. Neurotherapeutics 2008, 5, 443–457. [Google Scholar] [CrossRef]
- Gao, Y.-L.; Wang, N.; Sun, F.-R.; Cao, X.-P.; Zhang, W.; Yu, J.-T. Tau in neurodegenerative disease. Ann. Transl. Med. 2018, 6, 175. [Google Scholar] [CrossRef]
- Uras, I.; Karayel-Basar, M.; Sahin, B.; Baykal, A.T. Detection of early proteomic alterations in 5xFAD Alzheimer’s disease neonatal mouse model via MALDI-MSI. Alzheimer’s Dement. 2023, 19, 4572–4589. [Google Scholar] [CrossRef] [PubMed]
- Oblak, A.L.; Lin, P.B.; Kotredes, K.P.; Pandey, R.S.; Garceau, D.; Williams, H.M.; Uyar, A.; O’Rourke, R.; O’Rourke, S.; Ingraham, C.; et al. Comprehensive evaluation of the 5XFAD mouse model for preclinical testing applications: A MODEL-AD study. Front. Aging Neurosci. 2021, 13, 713726. [Google Scholar] [CrossRef]
- Shin, J.; Park, S.; Lee, H.; Kim, Y. Thioflavin-positive tau aggregates complicating quantification of amyloid plaques in the brain of 5XFAD transgenic mouse model. Sci. Rep. 2021, 11, 1617. [Google Scholar] [CrossRef]
- Sugasini, D.; Thomas, R.; Yalagala, P.C.R.; Tai, L.M.; Subbaiah, P.V. Dietary docosahexaenoic acid (DHA) as lysophosphatidylcholine, but not as free acid, enriches brain DHA and improves memory in adult mice. Sci. Rep. 2017, 7, 11263. [Google Scholar] [CrossRef]
- Yalagala, P.C.R.; Sugasini, D.; Zaldua, S.B.; Tai, L.M.; Subbaiah, P.V. Lipase treatment of dietary krill oil, but not fish oil, enables enrichment of brain eicosapentaenoic acid and docosahexaenoic acid. Mol. Nutr. Food Res. 2020, 64, e2000059. [Google Scholar] [CrossRef]
- Díaz, M.; Mesa-Herrera, F.; Marín, R. DHA and its elaborated modulation of antioxidant defenses of the brain: Implications in aging and AD neurodegeneration. Antioxidants 2021, 10, 907. [Google Scholar] [CrossRef]
- Li, G.; Li, Y.; Xiao, B.; Cui, D.; Lin, Y.; Zeng, J.; Li, J.; Cao, M.-J.; Liu, J. Antioxidant activity of docosahexaenoic acid (DHA) and its regulatory roles in mitochondria. J. Agric. Food Chem. 2021, 69, 1647–1655. [Google Scholar] [CrossRef] [PubMed]
- 109. Gardener, H.; Caunca, M.R. Mediterranean diet in preventing neurodegenerative diseases. Curr. Nutr. Rep. 2018, 7, 10–20. [Google Scholar] [CrossRef]
- Vinciguerra, F.; Graziano, M.; Hagnas, M.; Frittitta, L.; Tumminia, A. Influence of the mediterranean and ketogenic diets on cognitive status and decline: A narrative review. Nutrients 2020, 12, 1019. [Google Scholar] [CrossRef] [PubMed]
- Armeli, F.; Bonucci, A.; Maggi, E.; Pinto, A.; Businaro, R. Mediterranean diet and neurodegenerative diseases: The neglected role of nutrition in the modulation of the endocannabinoid system. Biomolecules 2021, 11, 790. [Google Scholar] [CrossRef]
- Kim, J.; Basak, J.M.; Holtzman, D.M. The role of Apolipoprotein E in Alzheimer’s disease. Neuron 2009, 63, 287–303. [Google Scholar] [CrossRef]
- Hunsberger, H.C.; Pinky, P.D.; Smith, W.; Suppiramaniam, V.; Reed, M.N. The role of APOE4 in Alzheimer’s disease: Strategies for future therapeutic interventions. Neuronal Signal. 2019, 3, NS20180203. [Google Scholar] [CrossRef] [PubMed]
- Raulin, A.C.; Doss, S.V.; Trottier, Z.A.; Ikezu, T.C.; Bu, G.; Liu, C.-C. ApoE in Alzheimer’s disease: Pathophysiology and therapeutic strategies. Mol. Neurodegener. 2022, 17, 72. [Google Scholar] [CrossRef] [PubMed]
- Reiman, E.M.; Quiroz, Y.T.; Fleisher, A.S.; Chen, K.; Velez-Pardo, C.; Jimenez-Del-Rio, M.; Fagan, A.M.; Shah, A.R.; Alvarez, S.; Arbelaez, A.; et al. Brain imaging and fluid biomarker analysis in young adults at genetic risk for late-onset Alzheimer disease in the Colombian cohort. N. Engl. J. Med. 2009, 361, 2320–2328. [Google Scholar]
- Saito, T.; Matsuba, Y.; Mihira, N.; Takano, J.; Takashima, A. How does the toxicity of amyloid-beta peptide in Alzheimer’s disease model mice depend on the dose? J. Neurochem. 2014, 131, 1–9. [Google Scholar] [CrossRef]






| Control | LSO | FO | Schizo | DHASCO | SEM | p-Value | |
|---|---|---|---|---|---|---|---|
| Glucose (mg/dL) | 107 b | 113 b | 113 b | 110 b | 131 a | 2.02 | <0.001 |
| Insulin (mU/L) | <0.4 | <0.4 | <0.4 | <0.4 | <0.4 | - | - |
| Urea (mg/dL) | 51.0 ab | 49.9 ab | 53.9 a | 46.9 b | 52.5 ab | 1.56 | 0.035 |
| Creatinine (mg/dL) | 0.080 a | 0.076 ab | 0.078 ab | 0.076 ab | 0.065 b | 0.004 | 0.044 |
| Cholesterol (mg/dL) | 84.9 a | 70.3 c | 61.1 d | 75.4 bc | 81.5 ab | 2.16 | <0.001 |
| LDL-CHR (mg/dL) | 8.50 bc | 9.75 ab | 11.1 a | 7.50 c | 7.50 c | 0.487 | <0.001 |
| HDL-CHR (mg/dL) | 73.0 a | 53.8 bc | 44.9 c | 66.0 a | 63.4 ab | 2.53 | <0.001 |
| VLDL-CHR (mg/dL) | 13.6 ab | 14.1 a | 12.5 b | 12.9 ab | 13.6 ab | 0.325 | 0.013 |
| Total lipids (mg/dL) | 388 a | 361 c | 335 d | 366 bc | 381 ab | 4.09 | <0.001 |
| TAG (mg/dL) | 68.1 ab | 70.5 a | 62.5 b | 64.8 ab | 67.8 ab | 1.63 | 0.013 |
| ALT (U/L) | 30.9 a | 22.4 b | 26.1 ab | 26.0 ab | 25.3 b | 1.36 | 0.003 |
| AST (U/L) | 156 c | 137 c | 283 a | 163 c | 226 b | 10.9 | <0.001 |
| GGT (U/L) | 2.00 | 1.75 | 1.63 | 1.88 | 2.38 | 0.317 | 0.519 |
| Total protein (g/dL) | 8.37 | 8.54 | 8.49 | 8.55 | 8.45 | 0.077 | 0.474 |
| C-reactive protein (mg/dL) | 0.008 b | 0.018 a | 0.004 b | 0.007 b | 0.003 b | 0.002 | <0.001 |
| IGF-1 (µg/L) | <7.00 | <7.00 | <7.00 | <7.00 | <7.00 | - | - |
| IL-6 (ng/L) | <1.5 | <1.5 | <1.5 | <1.5 | <1.5 | - | - |
| Control | LSO | FO | Schizo | DHASCO | SEM | p-Value | |
|---|---|---|---|---|---|---|---|
| 14:0 | 0.472 ab | 0.425 b | 0.526 ab | 0.670 a | 0.375 b | 0.060 | 0.014 |
| 16:0 | 21.2 c | 21.1 c | 23.6 b | 25.0 a | 25.5 a | 0.331 | <0.001 |
| 16:1n-9 | 0.734 a | 0.735 a | 0.831 a | 0.586 ab | 0.446 b | 0.067 | 0.003 |
| 16:1n-7 | 3.98 a | 2.90 ab | 3.85 a | 3.55 a | 2.00 b | 0.305 | <0.001 |
| 18:0 | 7.89 | 8.04 | 6.48 | 6.35 | 8.39 | 0.646 | 0.098 |
| 18:1n-9 | 22.9 a | 20.8 a | 22.7 a | 19.8 ab | 15.1 b | 1.31 | 0.001 |
| 18:1n-7 | 2.44 a | 1.78 b | 2.17 ab | 1.69 b | 0.996 c | 0.151 | <0.001 |
| 18:2n-6 | 19.4 | 20.7 | 20.4 | 20.8 | 20.2 | 1.02 | 0.874 |
| 19:0 | 0.518 a | 0.350 abc | 0.402 ab | 0.322 bc | 0.215 c | 0.044 | <0.001 |
| 18:3n-3 | 0.674 b | 3.12 a | 0.849 b | 0.935 b | 0.739 b | 0.211 | <0.001 |
| 21:0 | 0.855 ab | 0.928 a | 0.835 ab | 0.510 b | 0.509 b | 0.087 | 0.002 |
| 20:4n-6 | 9.40 a | 6.70 b | 4.72 bc | 4.21 c | 5.67 bc | 0.602 | <0.001 |
| 20:5n-3 | 0.215 b | 1.18 a | 1.32 a | 1.38 a | 1.23 a | 0.097 | <0.001 |
| 22:5n-6 | 0.183 c | 0.005 d | 0.000 d | 0.486 b | 1.02 a | 0.043 | <0.001 |
| 22:5n-3 | 0.340 c | 0.901 a | 0.745 ab | 0.630 b | 0.672 b | 0.048 | <0.001 |
| 22:6n-3 | 6.01 c | 7.35 c | 7.37 c | 10.9 b | 14.8 a | 0.604 | <0.001 |
| SFA | 31.5 b | 31.4 b | 32.4 b | 33.4 ab | 35.5 a | 0.675 | <0.001 |
| MUFA | 30.6 a | 26.7 a | 30.4 a | 26.0 a | 18.8 b | 1.75 | <0.001 |
| PUFA | 36.8 b | 40.7 ab | 35.9 b | 39.7 ab | 44.7 a | 1.44 | 0.001 |
| n-3 PUFA | 7.46 d | 13.1 b | 10.6 c | 14.0 b | 17.7 a | 0.582 | <0.001 |
| n-6 PUFA | 29.3 | 27.5 | 25.2 | 25.6 | 27.0 | 1.04 | 0.066 |
| n-3/n-6 | 0.255 d | 0.477 bc | 0.421 c | 0.553 b | 0.658 a | 0.021 | <0.001 |
| Control | LSO | FO | Schizo | DHASCO | SEM | p-Value | |
|---|---|---|---|---|---|---|---|
| 16:0 | 19.3 | 19.0 | 19.2 | 19.0 | 19.4 | 0.266 | 0.732 |
| 16:1n-9 | 0.177 ab | 0.179 a | 0.179 a | 0.156 bc | 0.153 c | 0.006 | 0.001 |
| 16:1n-7 | 0.615 | 0.653 | 0.668 | 0.653 | 0.630 | 0.018 | 0.271 |
| 16:3n-4 | 0.357 | 0.379 | 0.316 | 0.358 | 0.336 | 0.021 | 0.266 |
| 16:3n-3 | 3.22 | 3.17 | 3.23 | 3.27 | 3.04 | 0.112 | 0.628 |
| 16:4n-3 | 1.21 | 1.25 | 1.22 | 1.24 | 1.17 | 0.048 | 0.785 |
| 18:0 | 20.0 | 19.9 | 19.7 | 19.7 | 19.9 | 0.148 | 0.477 |
| 18:1n-9 | 14.9 b | 15.6 ab | 15.8 ab | 16.0 a | 15.7 ab | 0.240 | 0.029 |
| 18:1n-7 | 3.42 a | 3.32 abc | 3.37 ab | 3.23 bc | 3.19 c | 0.037 | <0.001 |
| 18:2n-6 | 0.524 b | 0.655 a | 0.633 a | 0.643 a | 0.628 ab | 0.026 | 0.008 |
| 20:1n-9 | 1.37 | 1.43 | 1.57 | 1.46 | 1.50 | 0.092 | 0.639 |
| 20:4n-6 | 9.35 a | 8.71 b | 8.18 b | 7.42 c | 7.31 c | 0.141 | <0.001 |
| 20:5n-3 | 0.000 c | 0.075 b | 0.104 b | 0.159 a | 0.174 a | 0.008 | <0.001 |
| 22:4n-6 | 2.47 a | 2.23 b | 1.91 c | 1.57 d | 1.49 d | 0.041 | <0.001 |
| 22:5n-6 | 0.221 c | 0.000 d | 0.001 d | 0.728 b | 0.997 a | 0.033 | <0.001 |
| 22:5n-3 | 0.102 b | 0.294 a | 0.298 a | 0.295 a | 0.313 a | 0.015 | <0.001 |
| 22:6n-3 | 15.9 b | 15.9 b | 16.2 ab | 16.8 a | 16.9 a | 0.201 | <0.001 |
| SFA | 40.9 | 40.7 | 40.8 | 40.4 | 41.2 | 0.341 | 0.637 |
| MUFA | 21.1 | 21.8 | 22.3 | 22.2 | 21.9 | 0.359 | 0.182 |
| PUFA | 33.4 a | 32.8 ab | 32.3 b | 32.6 ab | 32.5 ab | 0.238 | 0.014 |
| n-3 PUFA | 20.4 b | 20.7 b | 21.1 ab | 21.7 a | 21.6 a | 0.178 | <0.001 |
| n-6 PUFA | 12.7 a | 11.7 b | 10.8 c | 10.5 c | 10.5 c | 0.154 | <0.001 |
| n-3/n-6 | 1.61 d | 1.77 c | 1.95 b | 2.08 a | 2.06 a | 0.029 | <0.001 |
Disclaimer/Publisher’s Note: The statements, opinions and data contained in all publications are solely those of the individual author(s) and contributor(s) and not of MDPI and/or the editor(s). MDPI and/or the editor(s) disclaim responsibility for any injury to people or property resulting from any ideas, methods, instructions or products referred to in the content. |
© 2025 by the authors. Licensee MDPI, Basel, Switzerland. This article is an open access article distributed under the terms and conditions of the Creative Commons Attribution (CC BY) license (https://creativecommons.org/licenses/by/4.0/).
Share and Cite
Mello-Sampayo, C.d.; Pádua, M.S.; Silva, M.R.; Lourenço, M.; Pinto, R.M.A.; Carvalho, S.; Correia, J.; Martins, C.F.; Gomes, R.; Gomes-Bispo, A.; et al. Neuronal Count, Brain Injury, and Sustained Cognitive Function in 5×FAD Alzheimer’s Disease Mice Fed DHA-Enriched Diets. Biomolecules 2025, 15, 1164. https://doi.org/10.3390/biom15081164
Mello-Sampayo Cd, Pádua MS, Silva MR, Lourenço M, Pinto RMA, Carvalho S, Correia J, Martins CF, Gomes R, Gomes-Bispo A, et al. Neuronal Count, Brain Injury, and Sustained Cognitive Function in 5×FAD Alzheimer’s Disease Mice Fed DHA-Enriched Diets. Biomolecules. 2025; 15(8):1164. https://doi.org/10.3390/biom15081164
Chicago/Turabian StyleMello-Sampayo, Cristina de, Mafalda Soares Pádua, Maria Rosário Silva, Maria Lourenço, Rui M. A. Pinto, Sandra Carvalho, Jorge Correia, Cátia F. Martins, Romina Gomes, Ana Gomes-Bispo, and et al. 2025. "Neuronal Count, Brain Injury, and Sustained Cognitive Function in 5×FAD Alzheimer’s Disease Mice Fed DHA-Enriched Diets" Biomolecules 15, no. 8: 1164. https://doi.org/10.3390/biom15081164
APA StyleMello-Sampayo, C. d., Pádua, M. S., Silva, M. R., Lourenço, M., Pinto, R. M. A., Carvalho, S., Correia, J., Martins, C. F., Gomes, R., Gomes-Bispo, A., Afonso, C., Cardoso, C., Bandarra, N., & Lopes, P. A. (2025). Neuronal Count, Brain Injury, and Sustained Cognitive Function in 5×FAD Alzheimer’s Disease Mice Fed DHA-Enriched Diets. Biomolecules, 15(8), 1164. https://doi.org/10.3390/biom15081164

