Olfactory Dysfunction Is Associated with Cerebral Amyloid Deposition and Cognitive Function in the Trajectory of Alzheimer’s Disease
Abstract
:1. Introduction
2. Materials and Methods
2.1. Subjects
2.2. Assessment of Odor Identification
2.3. [18F]-Flutemetamol PET Image Acquisition and Processing
2.4. Statistical Analysis
3. Results
3.1. Baseline Demographic and Clinical Data
3.2. Group Difference in Olfactory Function
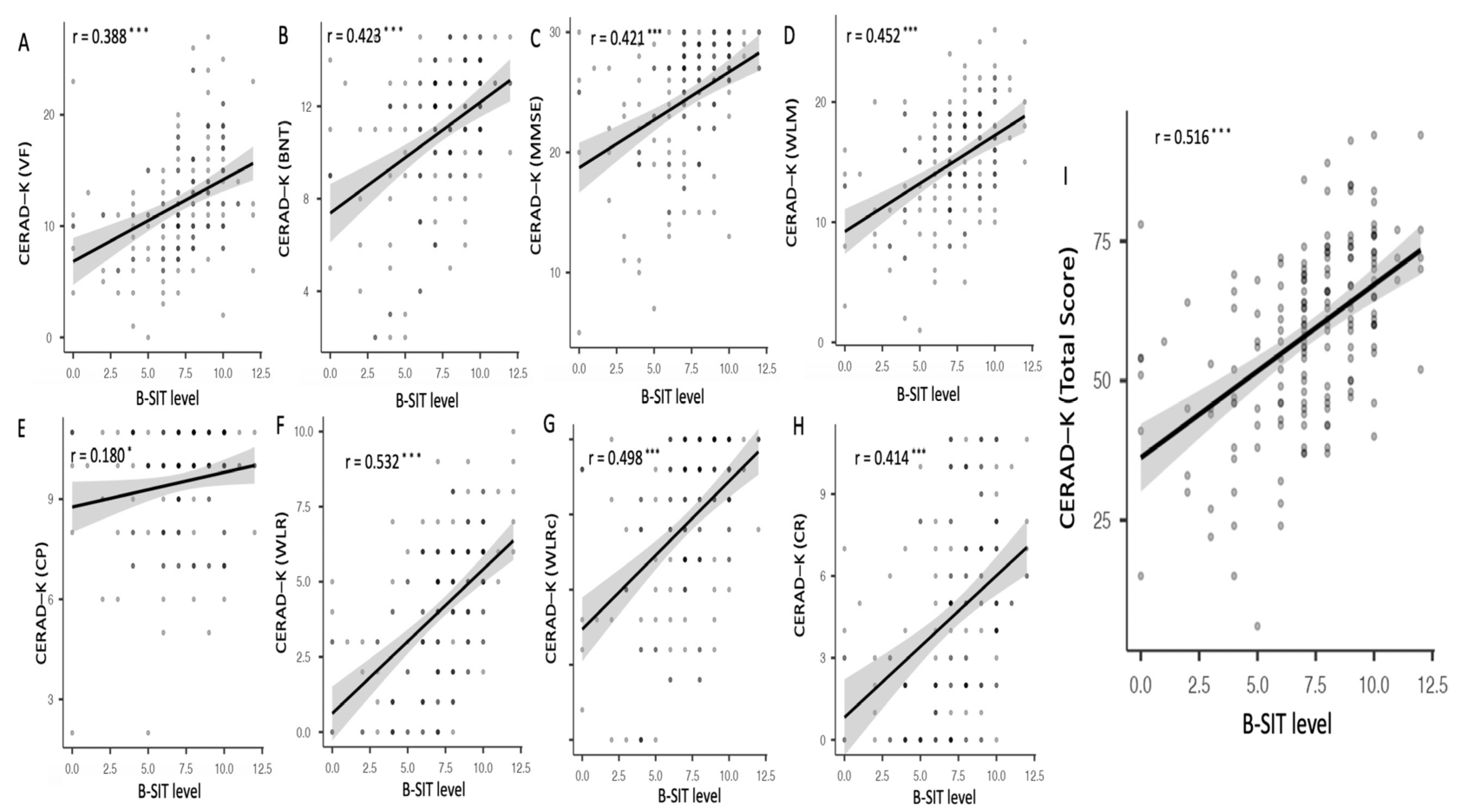
3.3. Association between Olfactory Function with Cerebral Aβ Deposition and Neuropsychological Profiles
4. Discussion
5. Conclusions
Author Contributions
Funding
Institutional Review Board Statement
Informed Consent Statement
Data Availability Statement
Conflicts of Interest
References
- Dubois, B.; Villain, N.; Frisoni, G.B.; Rabinovici, G.D.; Sabbagh, M.; Cappa, S.; Bejanin, A.; Bombois, S.; Epelbaum, S.; Teichmann, M.; et al. Clinical diagnosis of Alzheimer’s disease: Recommendations of the International Working Group. Lancet Neurol. 2021, 20, 484–496. [Google Scholar] [CrossRef]
- Kurkinen, M.; Fulek, M.; Fulek, K.; Beszlej, J.A.; Kurpas, D.; Leszek, J. The Amyloid Cascade Hypothesis in Alzheimer’s Disease: Should We Change Our Thinking? Biomolecules 2023, 13, 453. [Google Scholar] [CrossRef] [PubMed]
- Lloret, A.; Esteve, D.; Lloret, M.A.; Cervera-Ferri, A.; Lopez, B.; Nepomuceno, M.; Monllor, P. When Does Alzheimer’s Disease Really Start? The Role of Biomarkers. Int. J. Mol. Sci. 2019, 20, 5536. [Google Scholar] [CrossRef] [PubMed]
- Garg, D.; Gupta, A.; Agarwal, A.; Mishra, B.; Srivastava, M.V.P.; Basheer, A.; Vishnu, V.Y. Latest Trends in Outcome Measures in Dementia and Mild Cognitive Impairment Trials. Brain Sci. 2022, 12, 922. [Google Scholar] [CrossRef]
- Cummings, J.; Apostolova, L.; Rabinovici, G.D.; Atri, A.; Aisen, P.; Greenberg, S.; Hendrix, S.; Selkoe, D.; Weiner, M.; Petersen, R.C.; et al. Lecanemab: Appropriate Use Recommendations. J. Prev. Alzheimers Dis. 2023, 10, 362–377. [Google Scholar] [CrossRef]
- Volloch, V.; Rits-Volloch, S. Effect of Lecanemab in Early Alzheimer’s Disease: Mechanistic Interpretation in the Amyloid Cascade Hypothesis 2.0 Perspective. J. Alzheimers Dis. 2023, 93, 1277–1284. [Google Scholar] [CrossRef]
- Teunissen, C.E.; Verberk, I.M.W.; Thijssen, E.H.; Vermunt, L.; Hansson, O.; Zetterberg, H.; van der Flier, W.M.; Mielke, M.M.; Del Campo, M. Blood-based biomarkers for Alzheimer’s disease: Towards clinical implementation. Lancet Neurol. 2022, 21, 66–77. [Google Scholar] [CrossRef]
- Chiang, T.I.; Yu, Y.H.; Lin, C.H.; Lane, H.Y. Novel Biomarkers of Alzheimer’s Disease: Based Upon N-methyl-D-aspartate Receptor Hypoactivation and Oxidative Stress. Clin. Psychopharmacol. Neurosci. 2021, 19, 423–433. [Google Scholar] [CrossRef] [PubMed]
- Chang, C.H.; Lin, C.H.; Lane, H.Y. Machine Learning and Novel Biomarkers for the Diagnosis of Alzheimer’s Disease. Int. J. Mol. Sci. 2021, 22, 2761. [Google Scholar] [CrossRef]
- Murphy, C. Olfactory and other sensory impairments in Alzheimer disease. Nat. Rev. Neurol. 2019, 15, 11–24. [Google Scholar] [CrossRef]
- Devanand, D.P.; Tabert, M.H.; Cuasay, K.; Manly, J.J.; Schupf, N.; Brickman, A.M.; Andrews, H.; Brown, T.R.; DeCarli, C.; Mayeux, R. Olfactory identification deficits and MCI in a multi-ethnic elderly community sample. Neurobiol. Aging 2010, 31, 1593–1600. [Google Scholar] [CrossRef] [PubMed]
- Westervelt, H.J.; Bruce, J.M.; Coon, W.G.; Tremont, G. Odor identification in mild cognitive impairment subtypes. J. Clin. Exp. Neuropsychol. 2008, 30, 151–156. [Google Scholar] [CrossRef] [PubMed]
- Roalf, D.R.; Moberg, M.J.; Turetsky, B.I.; Brennan, L.; Kabadi, S.; Wolk, D.A.; Moberg, P.J. A quantitative meta-analysis of olfactory dysfunction in mild cognitive impairment. J. Neurol. Neurosurg. Psychiatry 2017, 88, 226–232. [Google Scholar] [CrossRef] [PubMed]
- Rahayel, S.; Frasnelli, J.; Joubert, S. The effect of Alzheimer’s disease and Parkinson’s disease on olfaction: A meta-analysis. Behav. Brain Res. 2012, 231, 60–74. [Google Scholar] [CrossRef]
- Wilson, R.S.; Schneider, J.A.; Arnold, S.E.; Tang, Y.; Boyle, P.A.; Bennett, D.A. Olfactory identification and incidence of mild cognitive impairment in older age. Arch. Gen. Psychiatry 2007, 64, 802–808. [Google Scholar] [CrossRef]
- Djordjevic, J.; Jones-Gotman, M.; De Sousa, K.; Chertkow, H. Olfaction in patients with mild cognitive impairment and Alzheimer’s disease. Neurobiol. Aging 2008, 29, 693–706. [Google Scholar] [CrossRef]
- Albers, M.W.; Gilmore, G.C.; Kaye, J.; Murphy, C.; Wingfield, A.; Bennett, D.A.; Boxer, A.L.; Buchman, A.S.; Cruickshanks, K.J.; Devanand, D.P.; et al. At the interface of sensory and motor dysfunctions and Alzheimer’s disease. Alzheimers Dement. 2015, 11, 70–98. [Google Scholar] [CrossRef]
- Attems, J.; Walker, L.; Jellinger, K.A. Olfactory bulb involvement in neurodegenerative diseases. Acta Neuropathol. 2014, 127, 459–475. [Google Scholar] [CrossRef]
- Braak, H.; Braak, E. Morphological criteria for the recognition of Alzheimer’s disease and the distribution pattern of cortical changes related to this disorder. Neurobiol. Aging 1994, 15, 355–356; discussion 379–380. [Google Scholar] [CrossRef]
- Vassilaki, M.; Christianson, T.J.; Mielke, M.M.; Geda, Y.E.; Kremers, W.K.; Machulda, M.M.; Knopman, D.S.; Petersen, R.C.; Lowe, V.J.; Jack, C.R., Jr.; et al. Neuroimaging biomarkers and impaired olfaction in cognitively normal individuals. Ann. Neurol. 2017, 81, 871–882. [Google Scholar] [CrossRef]
- Growdon, M.E.; Schultz, A.P.; Dagley, A.S.; Amariglio, R.E.; Hedden, T.; Rentz, D.M.; Johnson, K.A.; Sperling, R.A.; Albers, M.W.; Marshall, G.A. Odor identification and Alzheimer disease biomarkers in clinically normal elderly. Neurology 2015, 84, 2153–2160. [Google Scholar] [CrossRef] [PubMed]
- Lafaille-Magnan, M.E.; Poirier, J.; Etienne, P.; Tremblay-Mercier, J.; Frenette, J.; Rosa-Neto, P.; Breitner, J.C.S.; Group, P.-A.R. Odor identification as a biomarker of preclinical AD in older adults at risk. Neurology 2017, 89, 327–335. [Google Scholar] [CrossRef] [PubMed]
- Dan, X.; Wechter, N.; Gray, S.; Mohanty, J.G.; Croteau, D.L.; Bohr, V.A. Olfactory dysfunction in aging and neurodegenerative diseases. Ageing Res. Rev. 2021, 70, 101416. [Google Scholar] [CrossRef]
- Jack, C.R., Jr.; Bennett, D.A.; Blennow, K.; Carrillo, M.C.; Dunn, B.; Haeberlein, S.B.; Holtzman, D.M.; Jagust, W.; Jessen, F.; Karlawish, J.; et al. Contributors, NIA-AA Research Framework: Toward a biological definition of Alzheimer’s disease. Alzheimers Dement. 2018, 14, 535–562. [Google Scholar] [CrossRef]
- Bahar-Fuchs, A.; Chetelat, G.; Villemagne, V.L.; Moss, S.; Pike, K.; Masters, C.L.; Rowe, C.; Savage, G. Olfactory deficits and amyloid-beta burden in Alzheimer’s disease, mild cognitive impairment, and healthy aging: A PiB PET study. J. Alzheimers Dis. 2010, 22, 1081–1087. [Google Scholar] [CrossRef]
- Baek, M.S.; Cho, H.; Lee, H.S.; Lee, J.H.; Ryu, Y.H.; Lyoo, C.H. Effect of A/T/N imaging biomarkers on impaired odor identification in Alzheimer’s disease. Sci. Rep. 2020, 10, 11556. [Google Scholar] [CrossRef]
- Tu, L.; Lv, X.; Fan, Z.; Zhang, M.; Wang, H.; Yu, X. Association of Odor Identification Ability with Amyloid-beta and Tau Burden: A Systematic Review and Meta-Analysis. Front. Neurosci. 2020, 14, 586330. [Google Scholar] [CrossRef] [PubMed]
- Kondo, K.; Kikuta, S.; Ueha, R.; Suzukawa, K.; Yamasoba, T. Age-Related Olfactory Dysfunction: Epidemiology, Pathophysiology, and Clinical Management. Front. Aging Neurosci. 2020, 12, 208. [Google Scholar] [CrossRef]
- Lee, J.H.; Lee, K.U.; Lee, D.Y.; Kim, K.W.; Jhoo, J.H.; Kim, J.H.; Lee, K.H.; Kim, S.Y.; Han, S.H.; Woo, J.I. Development of the Korean version of the Consortium to Establish a Registry for Alzheimer’s Disease Assessment Packet (CERAD-K): Clinical and neuropsychological assessment batteries. J. Gerontol. B Psychol. Sci. Soc. Sci. 2002, 57, P47–P53. [Google Scholar] [CrossRef]
- Dubois, B.; Feldman, H.H.; Jacova, C.; Dekosky, S.T.; Barberger-Gateau, P.; Cummings, J.; Delacourte, A.; Galasko, D.; Gauthier, S.; Jicha, G.; et al. Research criteria for the diagnosis of Alzheimer’s disease: Revising the NINCDS-ADRDA criteria. Lancet Neurol. 2007, 6, 734–746. [Google Scholar] [CrossRef]
- Tay, L.; Lim, W.S.; Chan, M.; Ali, N.; Mahanum, S.; Chew, P.; Lim, J.; Chong, M.S. New DSM-V neurocognitive disorders criteria and their impact on diagnostic classifications of mild cognitive impairment and dementia in a memory clinic setting. Am. J. Geriatr. Psychiatry 2015, 23, 768–779. [Google Scholar] [CrossRef]
- Doty, R.L.; Marcus, A.; Lee, W.W. Development of the 12-item Cross-Cultural Smell Identification Test (CC-SIT). Laryngoscope 1996, 106 Pt 1, 353–356. [Google Scholar] [CrossRef] [PubMed]
- Dintica, C.S.; Marseglia, A.; Rizzuto, D.; Wang, R.; Seubert, J.; Arfanakis, K.; Bennett, D.A.; Xu, W. Impaired olfaction is associated with cognitive decline and neurodegeneration in the brain. Neurology 2019, 92, e700–e709. [Google Scholar] [CrossRef]
- Thurfjell, L.; Lilja, J.; Lundqvist, R.; Buckley, C.; Smith, A.; Vandenberghe, R.; Sherwin, P. Automated quantification of 18F-flutemetamol PET activity for categorizing scans as negative or positive for brain amyloid: Concordance with visual image reads. J. Nucl. Med. 2014, 55, 1623–1628. [Google Scholar] [CrossRef]
- The jamovi project (2023). Jamovi (Version 2.3.210) [Computer Software]. Available online: https://www.jamovi.org (accessed on 1 April 2023).
- Yahiaoui-Doktor, M.; Luck, T.; Riedel-Heller, S.G.; Loeffler, M.; Wirkner, K.; Engel, C. Olfactory function is associated with cognitive performance: Results from the population-based LIFE-Adult-Study. Alzheimers Res. Ther. 2019, 11, 43. [Google Scholar] [CrossRef]
- Dhilla Albers, A.; Asafu-Adjei, J.; Delaney, M.K.; Kelly, K.E.; Gomez-Isla, T.; Blacker, D.; Johnson, K.A.; Sperling, R.A.; Hyman, B.T.; Betensky, R.A.; et al. Episodic memory of odors stratifies Alzheimer biomarkers in normal elderly. Ann. Neurol. 2016, 80, 846–857. [Google Scholar] [CrossRef] [PubMed]
- Howell, J.; Costanzo, R.M.; Reiter, E.R. Head trauma and olfactory function. World J. Otorhinolaryngol. Head Neck Surg. 2018, 4, 39–45. [Google Scholar] [CrossRef]
- Morley, J.F.; Cohen, A.; Silveira-Moriyama, L.; Lees, A.J.; Williams, D.R.; Katzenschlager, R.; Hawkes, C.; Shtraks, J.P.; Weintraub, D.; Doty, R.L.; et al. Optimizing olfactory testing for the diagnosis of Parkinson’s disease: Item analysis of the university of Pennsylvania smell identification test. NPJ Parkinsons Dis. 2018, 4, 2. [Google Scholar] [CrossRef] [PubMed]
- Mahlknecht, P.; Iranzo, A.; Hogl, B.; Frauscher, B.; Muller, C.; Santamaria, J.; Tolosa, E.; Serradell, M.; Mitterling, T.; Gschliesser, V.; et al. Sleep Innsbruck Barcelona, G., Olfactory dysfunction predicts early transition to a Lewy body disease in idiopathic RBD. Neurology 2015, 84, 654–658. [Google Scholar] [CrossRef]
- Silva, M.M.E.; Viveiros, C.P.; Kotsifas, N.J.E.; Duarte, A.; Dib, E.; Mercer, P.B.S.; Pessoa, R.R.; Witt, M.C.Z. Olfactory impairment in frontotemporal dementia: A systematic review and meta-analysis. Dement. Neuropsychol. 2019, 13, 154–161. [Google Scholar] [CrossRef]
- Wilson, R.S.; Arnold, S.E.; Schneider, J.A.; Tang, Y.; Bennett, D.A. The relationship between cerebral Alzheimer’s disease pathology and odour identification in old age. J. Neurol. Neurosurg. Psychiatry 2007, 78, 30–35. [Google Scholar] [CrossRef] [PubMed]
- Rolls, E.T. The cingulate cortex and limbic systems for emotion, action, and memory. Brain Struct. Funct. 2019, 224, 3001–3018. [Google Scholar] [CrossRef] [PubMed]




| Total (n = 164) | A-PET (−) NCI (n = 44) | A-PET (+) NCI (n = 30) | A-PET (−) MCI (n = 34) | A-PET (+) MCI (n = 31) | AD Dementia (n = 25) | p-Value | |
|---|---|---|---|---|---|---|---|
| Age (years ± SD) | 75.03 (6.39) | 74.41 (5.11) | 74.20 (6.90) | 75.32 (6.17) | 75.85 (6.95) | 75.40 (7.95) | NS |
| Education (years ± SD) | 11.49 (4.30) | 11.80 (4.34) | 12.08 (3.67) | 10.67 (4.13) | 11.35 (5.21) | 11.00 (4.00) | NS |
| Sex (M:F) | 50:114 | 12:32 | 10:20 | 10:24 | 10:21 | 8:17 | NS |
| SUVR | 0.63 (0.154) | 0.50 (0.074) | 0.71 (0.08) | 0.51 (0.068) | 0.74 (0.087) | 0.78 (0.11) | <0.001 |
| APOE4 N(%) | 52 (31.7%) | 10 (22.7%) | 18 (60%) | 8 (23.5%) | 16 (51.6) | 10 (40%) | <0.001 |
| CDR | 0 | 0 | 0.5 | 0.5 | 1 | ||
| CERAD-K Battery (SD) | |||||||
| VF | 12.06 (5.1) | 14.73 (4.09) | 14.96 (4.88) | 10.79 (4.13) | 11.68 (3.45) | 6.40 (3.25) | <0.001 |
| BNT | 10.75 (3.21) | 12.59 (1.77) | 12.26 (1.60) | 9.59 (2.99) | 10.13 (3.06) | 8.08 (3.85) | <0.001 |
| MMSE | 24.41 (5.12) | 28.17 (1.69) | 27.84 (1.60) | 24.12 (3.51) | 23.25 (3.47) | 16.35 (5.16) | <0.001 |
| WLM | 14.95 (4.65) | 18.39 (3.18) | 17.26 (3.24) | 14.03 (3.45) | 13.84 (3.25) | 8.84 (4.17) | <0.001 |
| CP | 9.44 (1.78) | 10.07 (1.19) | 10.20 (0.89) | 8.85 (1.72) | 9.55 (1.67) | 8.10 (2.60) | <0.001 |
| WLR | 4.10 (2.42) | 6.21 (1.45) | 5.53 (1.52) | 3.48 (1.84) | 2.894 (1.79) | 1.00 (1.45) | <0.001 |
| WLRc | 7.29 (2.73) | 9.15 (1.03) | 8.68 (1.31) | 7.44 (2.21) | 6.42 (2.51) | 3.32 (2.41) | <0.001 |
| CR | 4.54 (3.44) | 6.52 (2.78) | 6.53 (3.11) | 4.06 (2.81) | 3.10 (3.30) | 1.16 (2.06) | <0.001 |
| Totalscore | 58.61 (16.24) | 71.09 (9.60) | 70.1 (10.22) | 54.27 (11.2) | 54.76 (10.27) | 34.95 (13.9) | <0.001 |
| B-SIT (SD) | 7.16 (2.67) | 8.89 (1.86) | 6.97 (3.11) | 7.32 (2.04) | 6.26 (2.71) | 5.32 (2.41) | <0.001 |
| Independent Variable | Estimate | SE | t-Statistic | p-Value |
|---|---|---|---|---|
| Intercept | 9.6970 | 3.0932 | 3.135 | 0.002 |
| Age | −0.0776 | 0.0301 | −2.578 | 0.011 |
| Female sex | 0.8301 | 0.4176 | 1.988 | 0.049 |
| Education | −0.0626 | 0.0509 | −1.231 | 0.220 |
| CERAD-K total score | 0.0849 | 0.0195 | 4.359 | <0.001 |
| Clinical diagnosis | ||||
| MCI | 0.2979 | 0.4968 | 0.600 | 0.550 |
| AD dementia | 1.2587 | 0.9290 | 1.355 | 0.177 |
| Global SUVR | −2.9035 | 1.3823 | −2.100 | 0.037 |
Disclaimer/Publisher’s Note: The statements, opinions and data contained in all publications are solely those of the individual author(s) and contributor(s) and not of MDPI and/or the editor(s). MDPI and/or the editor(s) disclaim responsibility for any injury to people or property resulting from any ideas, methods, instructions or products referred to in the content. |
© 2023 by the authors. Licensee MDPI, Basel, Switzerland. This article is an open access article distributed under the terms and conditions of the Creative Commons Attribution (CC BY) license (https://creativecommons.org/licenses/by/4.0/).
Share and Cite
Wang, S.-M.; Kang, D.W.; Um, Y.H.; Kim, S.; Lee, C.U.; Lim, H.K. Olfactory Dysfunction Is Associated with Cerebral Amyloid Deposition and Cognitive Function in the Trajectory of Alzheimer’s Disease. Biomolecules 2023, 13, 1336. https://doi.org/10.3390/biom13091336
Wang S-M, Kang DW, Um YH, Kim S, Lee CU, Lim HK. Olfactory Dysfunction Is Associated with Cerebral Amyloid Deposition and Cognitive Function in the Trajectory of Alzheimer’s Disease. Biomolecules. 2023; 13(9):1336. https://doi.org/10.3390/biom13091336
Chicago/Turabian StyleWang, Sheng-Min, Dong Woo Kang, Yoo Hyun Um, Sunghwan Kim, Chang Uk Lee, and Hyun Kook Lim. 2023. "Olfactory Dysfunction Is Associated with Cerebral Amyloid Deposition and Cognitive Function in the Trajectory of Alzheimer’s Disease" Biomolecules 13, no. 9: 1336. https://doi.org/10.3390/biom13091336
APA StyleWang, S.-M., Kang, D. W., Um, Y. H., Kim, S., Lee, C. U., & Lim, H. K. (2023). Olfactory Dysfunction Is Associated with Cerebral Amyloid Deposition and Cognitive Function in the Trajectory of Alzheimer’s Disease. Biomolecules, 13(9), 1336. https://doi.org/10.3390/biom13091336

