Abstract
In this review, we provide an overview of the current understanding of the main mechanisms of pharmacological action of essential oils and their components in various biological systems. A brief introduction on essential oil chemistry is presented to better understand the relationship of chemical aspects with the bioactivity of these products. Next, the antioxidant, anti-inflammatory, antitumor, and antimicrobial activities are discussed. The mechanisms of action against various types of viruses are also addressed. The data show that the multiplicity of pharmacological properties of essential oils occurs due to the chemical diversity in their composition and their ability to interfere with biological processes at cellular and multicellular levels via interaction with various biological targets. Therefore, these natural products can be a promising source for the development of new drugs.
1. Introduction
The term essential oil was created in the 16th century and refers to the theory of “Quinta essentia” proposed by the famous German-Swiss alchemist and physician Paracelsus (1493–1541), born by Theophrastus Philippus Aureolus Bombastus von Hohenheim. Paracelsus defined the role of alchemy by developing plant extracts and herbal medicines. He believed that the distillation process extracted the most significant part of the plant, namely, the “quintessence for healing” or “plant’s soul”, separating the “essential” constituents from the “nonessential” [1,2].
Many authors have tried to supply a definition of essential oils. According to the “Association Française de NORmalisation” [3] and to the European Pharmacopoeia (Ph. Eur.), an “essential oil” can be defined as a “product obtained from a natural raw material of plant origin, either by distillation with water or steam, or from the epicarp of Citrus sp. fruits by a mechanical process, or by “dry distillation”. Essential oil is then separated from the aqueous phase by physical means” [3,4].
Plants can synthesize two kinds of oils: fixed and essential oils. Fixed oils are esters of a glycerol molecule attached to three fatty acids, also called triacylglycerols or triglycerides. Essential oils (EOs), also known as essences, volatile oils, etheric oils, or aetheroleum, are complex natural mixtures of volatile, lipophilic, and odoriferous substances commonly found in aromatic plants. The majority of essential oils are colorless or pale yellow, liquid at room temperature, and less dense than water, with very few exceptions (cinnamon, sassafras, and vetiver). Moreover, essential oil chemical constituents have a low molecular weight (below 300), and some of them are optically active, soluble in most organic solvents (ether, alcohol, acetone), and insoluble in water [2,5,6].
EOs have been widely investigated for their therapeutic potential in various pathologies [7,8,9]. Biological and pharmacological tests using EOs and their chemical constituents performed via experimental models at the molecular, cellular, and animal levels have generated promising results in several areas of science [10,11]. Their pharmacological profile includes antimicrobial, anti-inflammatory, antitumor, antioxidant activities, among others [10,12,13,14]. In view of this, in this review, relevant knowledge of the chemistry of essential oils is presented and their main mechanisms of action related to organic and infectious disorders are discussed.
2. Materials and Methods
The search was performed on PubMed/MEDLINE, and studies were selected according to their relevance and the objectives of this review. The following terms were used in combination within search strings: “anti-inflammatory”; “antioxidant”; “cancer”; “chemistry of essential oils”; “tumo(u)r”; “antibacterial”; “essential oils”; “antifungal”; “antimicrobial”; “antiviral”. The search was restricted to English and experimental studies.
3. Chemistry of Essential Oils
In general, essential oils are composed of approximately 20–60 components at different concentrations, but some of them may contain more than 300 different substances. However, two or three components are usually present in large proportions (20–70%) compared to other constituents present in small concentrations [15]. For example, rotundifolone is the major component (50–65%) of Mentha x villosa Hudson leaf essential oil [16], 1,8-cineole or eucalyptol (70–90%) of Eucalyptus globulus Labill. essential oil [17], and cinnamaldehyde (60–90%) of Cinnamomum zeylanicum Blume bark and leaf essential oil [18]. Typically, the major components of essential oils are the main components responsible for their biological properties. However, minor compounds may also play an important role in bioactivity, either by potentiating the action of major components or through antagonistic or additive effects [19].
Essential oil components possess distinct primary metabolic precursors and are generated through different biosynthetic pathways. They can be divided into two main groups: terpenoids (major group) and non-terpenoids (mainly phenylpropanoids). All of them are hydrocarbons and their oxygenated derivatives, and may exist in the form of several chemical classes, including aldehydes, ketones, alcohols, oxides, esters, amines, amides, phenols, nitrogen and sulfur compounds, and heterocycles [5,20,21,22].
3.1. Terpenes
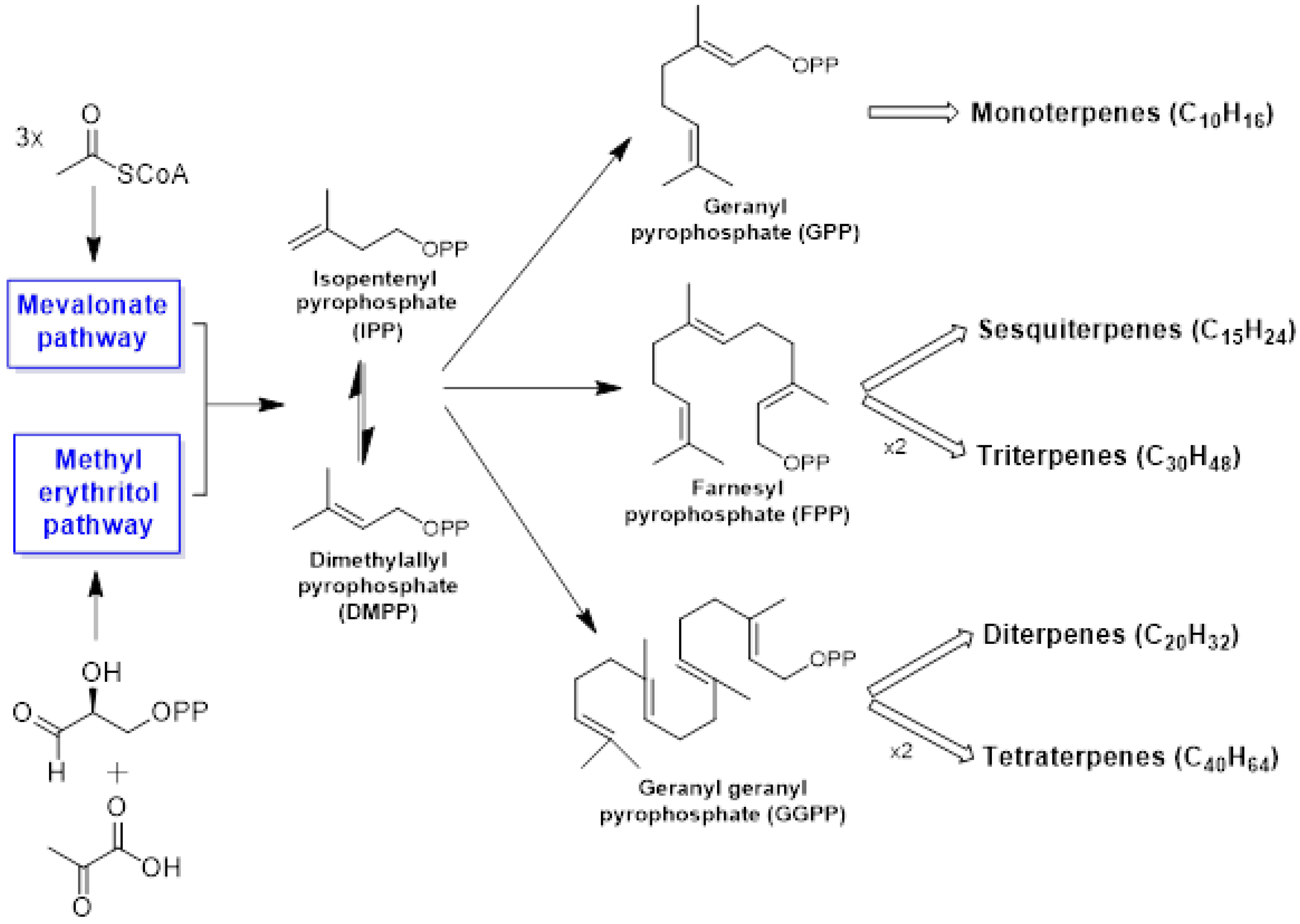
Terpenes may be considered to be made up of isoprene units and constitute one of the largest and most structurally diverse families (>50,000 molecules) of natural products. Still more numerous than terpenes is a class of compounds named “terpenoids” (or isoprenoids). Terpenes are hydrocarbons, while terpenoids are a modified class of terpenes that present oxygen-containing functional groups, such as ketone, hydroxy, aldehyde, ether, or carboxylic moieties. Chemical structures of terpenes may range from linear to mono- or polycyclic compounds, and their skeleton is formed through the condensation of two to many thousands of 5-carbon-base (C5) units (isoprene units) [23,24,25].
Isopentenyl diphosphate (IPP) and its allylic isomer dimethylallyl diphosphate (DMAPP) are the universal precursors of isoprene molecules [26]. In higher plants, two distinct and independent biochemical routes are involved in isoprenoid biosynthesis: the mevalonate (MVA) pathway, the first and classically acknowledged route for biosynthesis of DMAPP and IPP, and the methylerythritol 4-phosphate (MEP) pathway (non-mevalonate pathway). Moreover, they may also proceed via a combination of both the MVA and the MEP routes. The MVA pathway is localized to the cytosol, whereas the MEP pathway is bound to the plastidic compartment [27,28].
We can classify the terpenes into several categories according to the number of C5 building blocks in their core structure: hemiterpenes (C5H8), monoterpenes (C10H16), sesquiterpenes (C15H24), diterpenes (C20H32), triterpenes (C30H48), tetraterpenes or carotenoids (C40H64), and polyterpenes [(C5H8)n] [29]. Among the terpenic constituents, the mono- and sesquiterpenes are the most volatile and abundant in essential oils [30,31]. Figure 1 contains a general scheme for terpenoid biosynthesis.
Figure 1.
General scheme for the biosynthesis of terpenoids.
Monoterpenes (from the Latin mono, or one) are the most representative and simple terpenes. They are produced from the assembly of two isoprene units (C10), constituting about 90% of plant essential oils and permitting a very large variety of chemical structures (around 1000 metabolites). According to their structural variation, monoterpenes can be divided into different subgroups: acyclics, bornanes, camphanes and isocamphanes, fenchanes, thujanes, p-menthanes, and caranes and pinanes (Figure 2). The variety of possibilities in which these basic skeletons can be rearranged results in amazing structural diversity observed in nature, in which p-menthane-type monoterpenes are the largest group of naturally occurring monoterpenes [21,32].
Figure 2.
Chemical structures of monoterpenes found in essential oils.
Sesquiterpenes (from the Latin sesqui, or one and a half) are built from the coupling of three isoprene molecules (C15), occurring naturally in insects and higher plants. They are the most diverse group of terpenoids and may have acyclic (linear), monocyclic, bicyclic, or tricyclic frameworks, showing many unique arrangements. Similar to monoterpenes, sesquiterpenes can also occur as hydrocarbons or contain oxygen functionality, including carboxylic acids, lactones, alcohols, aldehydes, ketones, and epoxides. Chain extension with augmentation in a number of cyclizations as well as biochemical modifications (rearrangement or oxidation) allows a good variety of structures from the sesquiterpenes (Figure 3) [21,33].
Figure 3.
Chemical structures of sesquiterpenes found in essential oils.
3.2. Phenylpropanoids
Phenylpropanoids constitute a group of organic compounds synthesized by plants via the shikimate pathway; the aromatic amino acid L-phenylalanine is their biogenetic precursor. The core of phenylpropanoids consists of a phenyl ring connected to a C3 propane moiety. They are found in the plant kingdom, but are less common than terpenes. The wonderful diversity of phenylpropanoids derives from the efficient modification of a very limited set of core structures. Aromatic compounds originated from the shikimate route (Figure 4) comprise aldehyde, phenol, alcohol, methoxy, and methylenedioxy compounds [34,35]. Chemical structures of different essential oil constituents (mono- and sesquiterpenes, and phenylpropanoids) are depicted in Figure 2, Figure 3 and Figure 4.
Figure 4.
Chemical structures of phenylpropanoids found in essential oils.
Generally, essential oils represent a small fraction of plant composition (less than 5% of vegetal dry matter), occurring in specialized secretory structures, such as secretory ducts or cavities, glandular trichomes, and oil cells [36,37]. Volatile oils can be extracted from seeds (Foeniculum vulgare Mill.), flowers (Rosa abietina Gren. ex H. Christ), leaves (Mentha × piperita L.), barks (Cinnamomum cassia (L.) J. Presl), fruits (Citrus sinensis (L.) Osbeck; Spondias mombin L.), grasses (Cymbopogon citratus (DC.) Stapf.), tree blossoms (Cananga odorata (Lam.) Hook. f. & Thomson), rhizomes (Zingiber officinale Roscoe), roots (Vetiveria zizanoides (L.) Nash), woods (Juniperus virginiana L.), gums (Boswellia ameero Balf. f.), and bulbs (Allium sativum L.) [38,39]. Typically, essential oils obtained from different plant organs of the same plant possess specific chemical compositions.
Volatile oils are reasonably widespread in the plant kingdom, being rarely found in both gymnosperms and monocotyledonous angiosperms, and widely distributed in dicotyledonous angiosperms [38]. They are synthesized by more than 17,500 vegetal species, belonging to several genera distributed in approximately 60 families. Some plant families are well-known for their ability to produce aromatic plants rich in essential oils, including Apiaceae (Umbelliferae), Hypericaceae, Myrtaceae, Poaceae, Asteraceae (Compositae), Lamiaceae (Labiatae), Zingiberaceae, Cupressaceae, Lauraceae, Pinaceae, Piperaceae, and Rutaceae [40]. All of the essential oils-producing plant families are rich in terpenoids, while phenylpropanoids are more commonly found in specific plant families, including Apiaceae, Lamiaceae, Myrtaceae, Piperaceae, and Rutaceae [41].
The chemical composition and quality of essential oils may vary due to various factors, such as the number and type of molecules, stereochemistry of constituents, and employed extraction process (hydrodistillation, effleurages, Soxhlet extraction, cold pressing, supercritical fluid extraction). Furthermore, environmental conditions (climate, cultivation, plant organ, harvesting time, light intensity, soil composition, age, and vegetative cycle stage extraction) may also lead to changes in the quality, quantity, and composition of extraction products [42].
Currently, about 3000 aromatic plants are known to produce essential oils as an important part of their secondary metabolism, 300 of which are commercially significant due to their medicinal and industrial values. They are employed in different applications, such as pharmaceuticals, agronomy, sanitary applications, cosmetics, perfumes, dentistry, agriculture, and food [24,43].
4. Antioxidants
4.1. Mechanism of Antioxidant Activity of Main Essential Oils and Their Constituents
An essential oil is a complex mixture of components, each of which can potentially contribute to its antioxidant activity. As the composition can be influenced by many factors, knowing the efficacy and the mechanism of action of each component allows us to predict the activity of the oil [44]. From a chemical point of view, antioxidant activity is defined as the ability of a given compound, present in small amounts, to protect an easily oxidizable material, such as polyunsaturated lipids, from oxidation [45]. Peroxidation is a radical-chain reaction responsible for the incorporation of O2 into organic molecules, leading to the formation of hydroperoxides, epoxides, and other oxygenated derivatives (Scheme 1). The main chain-carrying radicals of peroxidation are alkylperoxyls (ROO•), although other short-lived radicals can play a role in initiation (such as HO•, formed by the Fenton reaction) or in propagation (R• and RO•) [45]. The antioxidant activity is, therefore, deeply related to the ability of a given molecule to trap ROO• radicals and is described by two independent parameters: the number of radicals trapped by the antioxidant (also known as “capacity” or stoichiometric coefficient) and the rate constant of the reaction with ROO• radicals, kinh. With respect to the chemical mechanism of peroxidation inhibition, essential oil components can be divided into three main groups: phenols, which act as radical trapping agents; highly oxidizable compounds, which enhance the termination; and 1,4-cyclohexadienes, which are able to generate the reducing HOO• radical.
Scheme 1.
Chemical mechanism explaining the ability of essential oil components to retard the peroxidation of organic compounds (RH). The two-faced reducing and oxidizing hydroperoxyl radical is evidenced in blue.
4.1.1. Radical Trapping
Phenolic components comprise mainly carvacrol, thymol, and eugenol. Their antioxidant activity is due to the well-known ability of phenols to donate the phenolic H-atom to ROO• radicals to form resonance-stabilized phenoxyl radicals unable to propagate the oxidative chain (Scheme 1). A recent study has shown that the kinh and the stoichiometry of ROO• trapping of phenolic containing essential oils is equal to the sum of the contributions of their phenolic components [46].
4.1.2. Termination Enhancers
In specific cases, small quantities of a highly oxidizable essential oil component can slow down the autoxidation of another oxidizable substrate. The overall effect is strictly related to the nature of the substrate to be protected, as it must have a small propagation constant (kp) associated with a low termination constant (kt). Typical values of kp and kt of the oxidizable substrate are available in the literature [47]. Highly oxidizable essential oil components are oxidized with the substrate and, if they form peroxyl radicals able to decay with a high kt, they cause an overall decrease in the ROO• concentration (Scheme 1). An example of this mechanism has been reported by using cumene as an oxidizable substrate, that has low values of kp and kt. The diagram of cumene autoxidation rate vs. essential oil component concentration displays a typical “v” shape because, above a critical concentration, the autoxidation of the essential oil component becomes prevalent (see Figure 5) [48]. In principle, this mechanism could apply to oxidizable substrates in micellar or emulsion systems, where kp and kt are low because they are reduced by diffusion processes. Highly oxidizable essential oil components, as they are small molecules, can diffuse more easily, contributing to the decay of ROO• radicals. This mechanism may account for the antioxidant activity of essential oils having no obvious radical trapping components.
Figure 5.
Rate of O2 uptake during the autoxidation of cumene (3.5 M) in chlorobenzene initiated by AIBN (0.05 M) at 30 °C as a function of the concentration of limonene. The concentration of limonene (in M and %, v/v) affording the strongest inhibition is indicated by the grey dots. Reprinted from Reference [48] with permission from Elsevier.
4.1.3. Hydroperoxyl Radical (HOO•) Generation
Among the highly oxidizable components, γ-terpinene (γ-T) has a unique behavior, leading to an unusual antioxidant activity. After H-atom abstraction, γ-T forms an unstable peroxyl radical which breaks down, yielding para-cymene and a hydroperoxyl (HOO•) radical (see Scheme 1). This radical has both oxidizing and reducing activity; therefore, it can donate a H-atom with very high rate constant to ROO•, to the radicals of an antioxidant [49], or to mild oxidizers such as ortho- and para-quinones [50]. γ-Terpinene was shown to reduce the rate of autoxidation of methyl linoleate [51,52] and to prolong the duration of the antioxidant activity of α-tocopherol and polyphenols at low (30 °C) [53] and high (130 °C) [54] temperatures. In addition, γ-T enables the antioxidant activity of melanins, which are natural polymers rich in ortho-quinone residues [50].
4.2. Methods Suggested to Explore the Radical Trapping Activity
The antioxidant activity of essential oil components is deeply connected to the nature and the physical state of the oxidizable substrate and to their interaction with ROO• radicals. These pieces of information can hardly be obtained by using simplified assays based on the decay of stable radicals, or without the presence of an oxidizable substrate. The use of assays such as DPPH, ABTS, FRAP, and ORAC is, therefore, discouraged, despite the appeal of their simplicity and low cost [45]. More significant insights can instead be achieved by using methods relying on the autoxidation of biologically relevant substrates, such as polyunsaturated lipids (i.e., methyl linoleate, unsaturated phospholipids) in different aggregation states (solution, micelles, vesicles). The oxidation can be accelerated by using azo initiators, iron salts with peroxides, or simply by heating. Recommended methods to measure the progress of the reaction are determination of hydroperoxides or conjugated dienes, formation of malondialdehyde (thiobarbituric reactive substances, TBARS assay), O2 consumption, β-carotene bleaching test, or consumption of fluorescent probes of lipid peroxidation such as STY-BODIPY [45]. Examples of determination of the antioxidant activity of selected essential oils are reported in Table 1.
Table 1.
Antioxidant activity of selected essential oils.
6. Antimicrobial Activity
Essential oils are recognized for their role in protecting plant structures against microorganisms. This supports the scientific hypothesis that such oils and their constituents may also present antimicrobial effects against pathogens of human interest. Most scientific investigations to evaluate the antimicrobial effects of essential oils and their constituents are conducted to determine the presence or absence of pharmacological effects and the lowest concentrations capable of inhibiting microbial growth. Research techniques, in general, seek to standardize methodological procedures and define breakpoints, and are thus recommended by research institutions, such as the Clinical and Laboratory Standards Institute (CLSI) and the European Committee on Antimicrobial Susceptibility Testing (EUCAST), which, in many countries, are in turn recognized by regulatory agencies for drug registration. Generally, the techniques include the adoption of agar diffusion and dilution methods [95].
Pharmacological knowledge of antimicrobial activity must involve elucidating the mechanism of action of the evaluated oil and providing information concerning possible toxicological effects and drug interactions. In addition, knowledge of the molecular aspects involved in the observed effects helps to advance proposals involving possible structural changes (to discover new molecules). In this review, we highlight the main mechanisms of action of essential oils and their constituents, which involve their antibacterial, antifungal, antiviral, and antiparasitic activities.
6.1. Antibacterial Activity
Although different microbial species represent different molecular targets, the modes of action of substances with antimicrobial activity generally involve functional components of the plasma membrane, the cell wall, cell duplication, or protein synthesis [96].
Observing the effect of essential oils on bacterial morphology helps to understand possible mechanisms of action. Microscopic visualization of changes in the cell wall, the membrane, or cell shape, revealed that the essential oil of Citrus medica L. promoted action against Escherichia coli and Staphylococcus aureus, with cell wrinkling, formation of holes in the bacterial surface, or even plasma membrane ruptures [97]. Essential oils from Origanum species showed antibacterial activity against Haemophilus influenzae and Haemophilus parainfluenzae. Scanning electron microscopy analyses of the H. influenzae and H. parainfluenzae biofilms showed a decrease in the appearance of bacterial clusters due to the action of O. majorana L. essential oil [98].
Due to hydrophobicity, EOs likely act on lipids of the bacterial plasma membrane or mitochondria, functionally impairing these structures, by promoting increased proton permeability, which is measured through membrane electrical conductivity tests [99]. The essential oil of mustard showed damage to bacterial cell membranes of E. coli and Salmonella typhi with loss of cellular structures essential for the survival of the microorganism, through the occurrence of ATP depletion and decreased intracellular pH [100]. The essential oil of Origanum compactum Benth. is capable of inducing the dissipation of gradients of potassium ions, causing loss of action potential in the membrane of Pseudomonas aeruginosa [101]. Observations from scanning electron microscopy indicated that the essential oil of O. compactum Benth. promoted cell wall damage in E. coli and Bacillus subtilis [102]. The rupture of the membrane and cell wall is directly related to the decrease in ATP production at the cell membrane. Carvacrol and thymol promote a decrease in the amount of intracellular ATP and increase extracellular ATP in E. coli. This effect indicates a disrupter on the cytoplasmic membrane [103].
Additionally, the chemical diversity in the composition of essential oils increases the possibility of existing constituents that can impair the synthesis of proteins. Analysis by sodium dodecyl sulfate–polyacrylamide gel electrophoresis confirmed by Western blotting indicated that carvacrol and p-cymene can promote a decrease in protein synthesis in E. coli [104]. Essential oils may also show mutagenic activity [105]. This effect can be analyzed in gene modulation studies [106,107]. The essential oil of Syzygium aromaticum (L.) Merrill & Perry showed action on the formation of bacterial biofilms, affecting the quorum sensing activity [108].
6.2. Antifungal Activity
Essential oils and their constituents act on fungal cell structures in a manner similar to that described for their antibacterial activity: the oils cause changes in functions that are essential for microbial survival. The main targets for these substances are involved in the maintenance of the fungal membrane and cell wall.
Changes in the permeability of the plasma membrane are largely related to the effects of essential oils involving ergosterol. The most studied mechanisms of action include both ergosterol biosynthesis modulation and direct ergosterol binding; these effects were visualized for essential oils of Anethum graveolens L. and Coriandrum sativum L., respectively [109,110]. It has not yet been fully elucidated, but the enzymes involved in the formation of ergosterol can also function as pharmacological targets.
The effect of essential oils of Anethum graveolens L. on the fungal cell membrane promotes an increase in proton pumping activity, with consequent acidification induced by the presence of glucose in the external environment. The action on the mitochondrial membrane may contribute to decreasing intracellular ATPase activity, possibly by action on mitochondrial dehydrogenases. This cellular damage can be measured by the increased production of reactive oxygen species (ROS), an important biochemical marker for the apoptosis process [111,112].
Inhibiting the formation of the fungal cell wall is another potential mechanism of action of essential oils and their constituents. In vitro experimental models, supplemented with sorbitol (an osmotic protector) in the culture medium, and in silico computational studies indicate that certain oils can act on enzymes such as delta-14-sterol reductase and 1,3-β-glucan synthase, which are involved in cell wall synthesis [113,114].
Evaluation of the effect of essential oils and their constituents on fungal micromorphology has helped augment our knowledge of their mechanisms of action. The essential oil of C. sativum caused a significant reduction in the development of hyphae, pseudohyphae, chlamydoconidia, and blastoconidia in Candida albicans [109]. The essential oil of C. sativum L. commonly has a significant amount of linalool and a smaller amount of gamma-terpinene in its chemical composition [112]. These monoterpenes have antifungal action against various strains of fungi [115,116]. Therefore, they may contribute to the antifungal activity of essential oils that contain them. Table 3 presents the principal targets involved in the activity of essential oils and their constituents against fungi and bacteria.
Table 3.
Main mechanisms of action of essential oils and their constituents against different microorganisms.
7. Antitumor Activity
The in vitro cytotoxic and in vivo antitumor effects of EOs have been widely reported. In particular, many mechanisms of action have been proposed. These include induction of apoptotic cell death that was related to the increase in the level of reactive oxygen species (ROS), suppression of the AKT/mTOR and NF-κB pathways, and activation of the MAPK pathway. For example, EO from the bulb of Allium sativum L. caused cytotoxicity in leukemia cells through the increase in ROS and induction of apoptosis and differentiation [118], while Zataria multiflora Boiss. EO increased ROS and induced apoptosis in colon cancer cells [119]. The EO from seeds of Litsea cubeba (Lour.) Pers. induced apoptotic cell death by suppressing the AKT/mTOR pathway [120]. On the other hand, the cytotoxicity of Cedrus deodara (Roxb. ex D. Don) G. Don bark EO [121] and Euphorbia intisy Drake stem EO [122] was related to the inhibition of the NF-κB pathway. Moreover, Artemisia capillaris Thunb. EO induced apoptotic cell death by activating MAPK [123]. These mechanisms of cytotoxic action are related to the chemical composition of each EO. For example, the in vivo studies carried out on perillyl alcohol showed that this monoterpene can inhibit the prenylation of specific proteins by type I and type II geranylgeranyl-protein transferases. However, it has been shown that it does not alter the farnesyl-protein transferase enzyme in NIH3T3 cells [124]. In addition, the cytotoxic action of perillyl alcohol was investigated against pancreatic cancer cells. It is suggested to inhibit the prenylation of growth-regulatory proteins, such as K-Ras and H-Ras [125]. Furthermore, studies on thymoquinone, an essential oil component found in the Nigella sativa L. plant, showed that it induces p53-independent apoptosis, as reported in tests using human osteosarcoma cells [126]. Psidium guajava L. leaf essential oil showed significant cytotoxic activity against human oral epidermal carcinoma. The main chemical constituents of this oil are limonene (38.01%) and β-caryophyllene (27.98%) [127]. Limonene has antitumor action via several mechanisms of action [13,128,129]. For example, it induces apoptosis of lung cancer cells by promoting autophagy in lung cancer cells [130]. The antitumor action of β-caryophyllene has also been reported. This compound enhances the antitumor activity of cisplatin in lung cancer cell lines via regulation of the cell cycle and apoptosis signaling molecules [131], in addition to other mechanisms of action in several tumor cell lines [128,129]. Therefore, limonene and β-caryophyllene may contribute to the antitumor activity of Psidium guajava L. leaf essential oil and other antitumor oils in which these constituents are present in significant amounts. Table 4 summarizes some cytotoxic/antitumor mechanisms related to EOs.
Table 4.
Some antitumor mechanisms of action have been reported for essential oils.
8. Anti-Inflammatory Activity
8.1. Inflammatory Response
Inflammation is a complex protective response against harmful exogenous stimuli or endogenous signaling, where the immune system plays a key role in eliminating the initial cause and preserving the cellular and tissue structure, which culminates in maintaining homeostasis [147]. The persistence of this response in the absence of aggressive stimuli has no biological relevance and can cause severe tissue damage. For example, chronic inflammation is associated with carcinogenesis and obesity. Therefore, there is a need for clinical intervention [148,149,150].
The triggers of the inflammatory response involve cellular stimulation with the release of mediators, such as pro-inflammatory cytokines (i.e., TNF-α, IL-1β, IL-6, and IL-8), which promote the activation of macrophages and mast cells, that potentiate this effect by activating endothelial cells, increasing vascular permeability, leakage of fluids, proteins, and influx of immune cells (polymorphonuclear) from the circulation to the inflamed site [151]. However, this response, when uncontrolled, can lead to tissue injury.
In this context, several studies have revealed biological applications of essential oils in controlling the inflammatory response, based on their use in traditional medicine [152,153]. Here, we focus on the anti-inflammatory effects and mechanisms of action of essential oils and their main constituents; details can be seen in Figure 6.
Figure 6.
Essential oils and their main constituents modulate inflammation by reduction of inflammatory signaling pathways, activation of sensory receptors, maintenance of the epithelial barrier, and regulation of the microbiota. Note: EO = Essential oil.
8.2. Anti-Inflammatory Mechanisms
8.2.1. Inhibition of the Release of Mediators by Inflammatory Cells
Geranium essential oil is obtained from leaves of Pelargonium graveolens L., a plant species of the Geraniaceae family, widely known as geranium, which is native to South Africa [154]. Geranium essential oil has been used in traditional medicine for treating inflammatory skin conditions, due to its anti-inflammatory, antiseptic, antifungal, and antibacterial potential [155,156]. Using cultured mast cells (CMC) stimulated with IgE, Kobayashi and colleagues (2016) showed that geranium essential oil reduced significantly, and dose-dependently, the β-hexosaminidase secretion, but did not inhibit its activity. This enzyme is released when mast cells, resident cells involved in the tissue allergic and inflammatory response, are activated and consequently degranulated [157]. Thus, this result suggests that geranium essential oil suppresses IgE-induced allergic response by inhibition of mast cell degranulation. The authors also characterized the chemical constituents of this essential oil and demonstrated the inhibitory effect of citronellol (54.6% inhibition), citronellyl formate (33.8% inhibition), and geraniol (32.2% inhibition) against mast cell degranulation. Additionally, citronellol inhibited IgE-induced TNF-α production in CMCs, a critical pro-inflammatory cytokine of inflammation, mediating edema, neutrophils recruitment, and activation of T cells to the inflamed site [158,159]. These results support the application of geranium essential oil and especially its major constituent, citronellol, in the treatment of allergic conditions.
α-Phellandrene is a monoterpene found in essential oils of a variety of plants, such as Schinus molle L. [160], Monodora myristica (Gaertn.) Dunal [161], and Anethum graveolens L. [162]. Studies have demonstrated the protective effect of α-phellandrene against ifosfamide-induced hemorrhagic cystitis [163], as well as wound healing [164], antihyperalgesic, and antidepressive properties [165]. Regarding the modulatory role on the inflammatory response, a study showed that α-phellandrene inhibited leukocyte influx and a number of rolling neutrophils or adhered to vascular endothelium, associated with carrageenan-induced acute inflammation [166]. These events of inflammation begin with the release of signaling molecules, such as cytokines and chemokines, released by resistant cells and have a fundamental role in the activation of the vascular endothelium, increasing the expression of adhesion molecules [167]. In this sense, the anti-inflammatory effect of the α-phellandrene can be explained, at least in part, by the reduction of the pro-inflammatory cytokines TNF-α and IL-6. Consistent with these results, recently, Gonçalves and collaborators (2020) reported the modulatory effect of α-phellandrene on TNF-α and IL-1β secretion using an experimental model of hemorrhagic cystitis in mice [163]. In addition, the treatment with α-phellandrene reduced the number of degranulated mast cells when mesenteric tissues were incubated with compound 48/80 (a stimulator of mast cell degranulation) [166]. Thus, these results suggest that α-phellandrene promotes mast cell stabilization, reducing the release of pro-inflammatory mediators and modulating inflammatory response.
Bergapten is a furocoumarin that consists of the main component of bergamot essential oil (Citrus bergamia Risso & Poit.) [168] and Cnidium monnieri (L.) Cuss. [169], a member of the Umbelliferae family of plants. Due to its pharmacological activity, bergapten has been used for the management of skin disorders, such as psoriasis, dermatitis, mycosis, and vitiligo. Experimentally, recent studies have reported its anti-inflammatory [170] and anti-allergic [171] effects, and its prevention of osteoporosis [172]. A possible mechanism by which bergapten controls inflammation was recently reported by Adakudugu and collaborators (2020) using an animal model of colitis. Rats treated with bergapten had a reduction in macro- and microscopic colonic lesions and colon weight-to-length ratio, an indicator of colonic edema, promoted by the damaging agent acetic acid. Associated with this, bergapten decreased the number of degranulated mast cells, compared to the acetic acid group [173]. Mast cells are strongly associated with irritable bowel disease (IBD). Barbara and collaborators (2004) demonstrated the effects of these resident cells and their degranulated state: increase in histamine and tryptase significantly increased the colonic mucosa of IBS patients [174]. Thus, it is possible that bergapten promotes mast cell granule stabilization, reducing the release of pro-inflammatory mediators, which culminates in reduced colonic damage.
8.2.2. Interaction with Sensory Receptors
Carvacrol is a monoterpene phenol found in aromatic plants’ essential oils, including those of Origanum dictamnus L., O. majorana L., Satureja montana L., and Thymus vulgaris L. [175]. The biological activities of this monoterpene include antinociceptive [176], anxiolytic [177], and anti-inflammatory [178] effects. The possible interaction of carvacrol and its semisynthetic derivative, carvacryl acetate, with membrane receptors has been studied [179,180]. The administration of carvacrol or carvacryl acetate reduced 5-fluorouracil-induced intestinal mucositis, as observed by inhibition of inflammatory (i.e., TNF-α, IL-1β, KC, MPO, NF-Κb, and COX-2) and oxidative stress (i.e., GSH and MDA) markers. Additionally, the pharmacological blocker of the TRPA1 receptor with HC-030031 reversed the protective effect of carvacrol or carvacryl acetate. The TRPA1 receptor acts as a chemosensor for cell damage signals in the lumen gastrointestinal and modulates digestive functions [181], in addition to involvement in the regulation of vascular tone by the release of vasodilator neuropeptides [182]. Additionally, results of molecular docking revealed that carvacrol binds, with a strong affinity to amino acid residues, to the active site of the TRPA1 receptor [179,180]. Together, these results strongly suggest that the anti-inflammatory effects of carvacrol and carvacryl acetate are mediated, at least in part, by its interaction with the TRPA1 receptor.
Eucalyptol is a monoterpene oxide that is the major constituent of essential oils of medicinal plants such as Eucalyptus tereticornis Sm., Eucalyptus globulus Labill. [183], and Croton rhamnifolioides Pax & K.Hoffm. [184]. This monoterpene is used as a therapeutic alternative for respiratory diseases (i.e., asthma, bronchitis, and sinusitis) and pain management [183,185]. The anti-inflammatory effect of eucalyptol and possible action mechanism was evaluated using two animal models of inflammation: (1) Complete Freund’s Adjuvant (CFA)-induced paw inflammation and (2) Lipopolysaccharide (LPS)-induced pulmonary inflammation [186]. Using the first experimental model, the authors showed that eucalyptol strongly reduced paw edema, mechanical allodynia, and pro-inflammatory cytokines (IL-1β, TNF-α, IL-6) levels. In addition, the eucalyptol administration reduced the polymorphonuclear (PMN) infiltration, primarily neutrophils, as well as pro-inflammatory cytokines in the bronchoalveolar lavage fluid (BALF) of mice submitted to pulmonary inflammation. After elucidating the anti-inflammatory effect of eucalyptol, the authors used TRPM8−/− mice to investigate the possible key role of the TRPM8 receptor in this effect. Eucalyptus is known to interact with TRP receptors, including TRPM8, where it has a reducing effect on visceral hypersensitivity [187]. In addition, studies have shown that the activation of the TRPM8 receptor can suppress the inflammatory response in colitis models [188] and during cold stress [189]. In this sense, Caceres and colleagues demonstrated that genetic deletion of the TRPM8 receptor completely abolished the anti-inflammatory effects of eucalyptol in both models and suggested that TRPM8 agonists can be a potential target for inflammatory conditions [186].
8.2.3. Suppression of the NLRP3 Inflammasome
Cinnamomum osmophloeum Kanehira is a native plant species in Taiwan, popularly known as pseudo-cinnamomum or indigenous cinnamon, used in traditional medicine as a therapeutic alternative to treat arthritis and relieve pain and fever. Several research groups have added to the study of the biological activities of essential oils from C. osmophloeum and their main compounds.
In this context, Lee and collaborators (2015) studied the key mechanism involved in the control of inflammatory response promoted by essential oil from C. osmophloeum, linalool chemotype, which also includes cinnamaldehyde as a constituent. Using an experimental model of systemic inflammatory response syndrome (SIRS)-induced endotoxin from Salmonella typhimurium, the authors reported that the essential oil reduced pro-inflammatory cytokine levels, suppressed the TLR4, MD2, and MyD88 expression in mesenteric lymph nodes (MLNs) and ileum mucosa, and reversed the activation of NF-κB in both tissues. In addition, essential oil from C. osmophloeum suppressed NLRP3, ASC, and caspase-1 expression in MLNs and ileum [190]. During the SIRS, the endotoxin interacts with TLR4, which recruits and ligates to Myd88, a signaling cascade for activation of NF-κB and, consequently, gene overexpression of pro-inflammatory mediators. In addition, TLR4 is involved in the activation of NRPL3 inflammasome, a complex of NRLP3, ASC, and pro-caspase-1, culminating in cleavage of precursors pro-IL-1β and pro-IL-18 into mature IL-1β and IL-18 [191]. Studies reported that linalool, the main constituent of essential oil from C. osmophloeum, reduces the LPS-induced lung and liver inflammation [192,193]. These results strongly suggest that the protective response promoted by essential oil from C. osmophloeum is dependent on linalool content.
Pulegone is a monoterpenic compound, serving as the major component of essential oils from plants of Mentha and Schizonepeta genera [194]. Studies reported the potential biological activity of this monoterpene, such as antispasmodic [195], analgesic [196], and reduction of atopic dermatitis [197]. The anti-inflammatory activity of pulegone was recently reported by Yang and colleagues (2019) in an animal model of LPS-induced sepsis. Pulegone ameliorated histological changes in lung tissues and reduced the levels of IL-1β, IL-5, MIP-1β, M-CSF, and GM-CSF in the serum of septic mice. Additionally, pulegone also reduced the mRNA and protein expression of ASC, NLRP3, caspase-1, and P2X7R [198]. In another study, the modulatory effects of pulegone on the NLRP3 inflammasome signaling pathway were investigated in an in vitro model of inflammation in THP-1 cells, established using LPS + ATP or the cellular toxin nigericin. Compared to LPS + ATP/nigericin group, pulegone was able to reduce the secretion of IL-1β and IL-18, as well as ROS levels. Using molecular tools (PCR analysis and immunofluorescence), the authors demonstrated that pulegone reduced the expression of NLRP3, ASC, caspase-1, and IL-1β, as well as co-localization of the NLRP3 and ASC proteins [199]. Thus, these studies reported the ability of pulegone to regulate inflammation by mechanisms that depend, at least in part, on the suppression of the NALP inflammasome.
8.2.4. Effects on NF-κB Signaling Pathway
Citrus aurantium L. var. amara Engl is a member of the family Rutaceae, widely distributed in Southeast Asia, especially in China, and used in the popular medicine and food industry. This species is known in the literature as a rich source of bioactive compounds, such as flavonoids [200], polysaccharides, [201], and essential oils [202]. Shen and colleagues (2017), using an in vitro model of LPS-stimulated RAW264.7 macrophages, showed that essential oil from C. aurantium suppressed the secretion of pro-inflammatory cytokines (IL-6, TNF-α, and IL-1β), NO production, and COX-2 expression. According to the authors, this potent anti-inflammatory effect promoted by essential oils is related to the inhibition of the NF-κB signaling pathway, determined by the inhibitory effect on NF-κB nuclear translocation, IκBα phosphorylation and degradation, and phosphorylation-dependent IκB kinase activation. Associated with this, the essential oil from C. aurantium also inhibited the phosphorylation of JNK and p38, which suggests an inhibitory effect on MAPK. The NF-κB signaling pathways play a pivotal role in regulating the expression of several genes involved in the initiation and development of the inflammatory response, such as proinflammatory cytokines, chemokines, and adhesion molecules [203]. The results also revealed that linalool (64.6 ± 0.04%), α-terpineol (7.61 ± 0.03%), (R)-limonene (6.15 ± 0.04%), and linalyl acetate (5.02 ± 0.03%) are major constituents of this essential oil [201]. In summary, these results suggest that essential oil from C. aurantium reduces the LPS-induced inflammatory response in RAW264.7 macrophages by suppression of MAPK/NF-κB signaling pathways, and its components can act in association or individually to induce this biological effect [201].
Eucalyptus, a genus of the family Myrtaceae, represents several species widely distributed in the world which are of importance economically and for human health. Among them, the species Eucalyptus citriodora Hook. (known as lemon-scented eucalyptus) has been reported in the literature for the extraction of essential oils and their biological potential, such as pesticidal [204], antifungal [205], analgesic, and anti-inflammatory [206]. Recently, Ho and collaborators (2020) reported the anti-inflammatory mechanism of Eucalyptus essential oil against LPS-stimulated RAW264.7 macrophages. The authors initially demonstrated that Eucalyptus essential oil inhibits LPS-induced NO production. Posteriorly, the essential oils were fractionated in eight subfractions (A-H), where fraction F presented high NO inhibitory activity, without affecting cell viability. Furthermore, it reduced the TNF-α and IL-6 levels, and the COX and NOS expression. Using NF-κB reporter cells (RAW Blue macrophages), the authors showed that NF-κB transcriptional activity was inhibited by fraction F in LPS-stimulated macrophages. This effect was confirmed by the suppressive effect of fraction F on phosphorylation levels of IKK-α and IκB-α. In addition, the mechanism of this anti-inflammatory effect was best elucidated by the demonstration of inhibited phosphorylation levels of JNK1/2, p38, and PKC by fraction F, which, when phosphorylated, promote downregulation of the NFkB signaling pathway, reducing the gene transcription essential to inflammatory response maintenance. In this study, the authors also elucidated the chemical composition of fraction F: methylsyringol (41.3%), 4-hydroxyl-benzenemethanol (24.4%), citronellic acid (12.7%), trans, cis-iridolactone (7.6%), menthol (4.6%), 2-phenyl ethyl anthranilate (2.2%), manool (1.8%), citronellyl anthranilate (1.1%), and citronellyltiglate (1.1%) [207]. To our knowledge, there are no reports of biological activities of the first three major compounds. Among the others, menthol is the most studied, and several studies have demonstrated its potential for regulating inflammation by inhibiting the synthesis/release of inflammatory mediators, such as IL-1β, COX-2, PGE2, and TNF-α in animal models of colitis [208], cutaneous carcinoma [209], and cystitis [210]. It was reported that essential oil extracted from Artemisia annua L. inhibits osteoclast differentiation. It was suggested that this action occurs via reduced TRAF6 activation and interaction on the MAPK pathway and NF-κB pathway. In addition, it probably also inhibits the expression of osteoclast-related genes. The essential oil of this plant has several volatile components, such as borneol, terpinen-4-ol, and eucalyptol. These compounds have anti-inflammatory action via different mechanisms of action [211,212]. Therefore, they can contribute to the pharmacological activity.
8.2.5. Regulation of the Intestinal Microbiota and Barrier Function
Using an experimental model of colitis, Zhang and colleagues reported that essential oil of Zanthoxylum bungeanum Maxim. pericarp (ZBEO) ameliorated clinical features of DSS-induced colitis, such as weight loss, disease activity index (DAI), colonic edema, and histopathological alterations. Furthermore, the MPO activity (an enzyme present in granules of PMN) and pro-inflammatory cytokines (TNF-α, IL-1β, and IL-12) levels were reduced in animals treated with ZBEO. This anti-inflammatory effect promoted by ZBEO is fundamental for the regulation of colonic inflammation, since it is known that pro-inflammatory cytokines play a critical role in inflammatory bowel disease (IBD), where they promote the signaling for polymorphonuclear migration to the inflamed site, producing oxidative stress and consequent tissue damage [213]. The authors also studied the barrier function associated with colon damage and demonstrated that ZBEO recovered the expression of TJ protein, ZO-1. Maintaining the integrity of the intestinal mucosa is crucial to prevent the entry of bacteria or other harmful agents. Thus, when there is a disorganization in the rearrangement of junctional proteins, the deep layers of the intestinal wall are reached by luminous contents, leading to a disease state, both intestinal and systemic [214]. It is known that the intestinal microbiota plays a key role in the protection of the epithelium against aggressive stimuli. In this context, the authors showed that animals treated with ZBEO modulated the intestinal bacterial composition, suppressing the E. coli and increasing Lactobacillus and Bifidobacteria levels [215]. These results suggest that ZBOE can be an important product for the pharmaceutical and nutritional industries, due to its potential to regulate microbiota and intestinal inflammation.
Thymol is a natural monoterpene phenolic compound, serving as the main constituent of the essential oils from plants of the genera Lippia and Thymus. Studies have shown the biological activity of thymol in models of depression [216] and sciatic nerve excitability [217], as well as a potential antileishmanial agent [218]. Recently, Omonijo and collaborators, using an LPS-induced inflammation model in IPEC-J2 cells, demonstrated that thymol reduced ROS production and pro-inflammatory cytokine levels altered by LPS. These results suggest that thymol, a phenolic compound, can reduce oxidative stress due to its antioxidant effect and possible modulation of inflammatory signaling pathways (i.e., MAPK/NFkB), leading to a reduction in the inflammatory response and maintenance of cell homeostasis. Additionally, the authors demonstrated that, with a reduction in the oxidative inflammatory response related to LPS, thymol also attenuated the barrier function impairment, as demonstrated by a reduced drop in the TEER and permeability, as well as increased ZO-1 and actin. These data reflect the effect of thymol in the maintenance of epithelial barrier integrity, a pivot factor that reduces the inflammation response. On the other hand, the expression of nutrient (carbohydrates, amino acids, and proteins) transporters altered by LPS incubation had not been altered by thymol treatment [219]. Thus, monoterpenes consist of potential compounds to enhance the intestinal barrier function, associated with inflammatory response and oxidative stress, reinforcing its use as a nutritional supplement. In fact, thymol comprises 32.68% of the essential oil of Lippia gracilis Schauer leaves. This oil has anti-inflammatory activity [220]. In a study carried out with the essential oil of thyme (Thymus vulgaris L.) and its major component, thymol, both showed anti-inflammatory action, evidencing the contribution of this monoterpene in the pharmacological action of the oils that contain it in their chemical composition [221].
9. Conclusions
The diversity of chemical compounds found in essential oils, with components in variable amounts and proportions, explains their variability of biological and pharmacological activities. The lipophilic profile of these components contributes to their ability to penetrate cells and tissues to reach biological targets and carry out the pharmacological response. In addition, the antioxidant activity of some constituents of essential oils suggests their possible action in restoring balance in pathological disorders associated with oxidative stress, including inflammatory and tumoral processes. Conversely, the bioactivity in anti-infectious screenings shows the ease with which essential oils and their constituents cross the biological membranes of infected cells and/or microorganisms and cause their death. The evidence of these biological events makes this class of natural products a promising source in the search for new drug candidates.
Author Contributions
Writing—review and editing, supervision, funding acquisition, D.P.d.S.; Methodology, writing—original draft preparation, R.O.S.D., R.A., H.A.E., R.D.d.C., D.P.B. and T.C.L.; Writing—review and editing, V.R.V.N. and R.C.G. All authors have read and agreed to the published version of the manuscript.
Funding
This research received no external funding.
Institutional Review Board Statement
Not applicable.
Informed Consent Statement
Not applicable.
Data Availability Statement
Not applicable.
Acknowledgments
This research was supported by Conselho Nacional de Desenvolvimento Científico e Tecnológico (CNPq) and Coordenação de Aperfeiçoamento de Pessoal de Nível Superior (CAPES).
Conflicts of Interest
The authors declare no conflict of interest.
References
- Guenther, E. The Essential Oils: Individual Essential Oils of the Plant Families Gramineae, Lauraceae, Burseraceae, Myrtaceae, Umbelliferae and Geraniaceae, 4th ed.; Van Nostrand: Paris, France, 1950; pp. 1–752. [Google Scholar]
- Dhifi, W.; Bellili, S.; Jazi, S.; Bahloul, N.; Mnif, W. Essential oils’ chemical characterization and investigation of some biological activities: A critical review. Medicines 2016, 3, 25. [Google Scholar] [CrossRef] [PubMed]
- Association Française de Normalisation (AFNOR). Huiles Essentielles, Tome 2, Monographies Relatives Aux Huiles Essentielles, 6th ed.; AFNOR, Association Française de Normalisation: Paris, France, 2000. [Google Scholar]
- Do, T.K.T.; Hadji-Minaglou, F.; Antoniotti, S.; Fernandez, X. Authenticity of essential oils. TrAC Trends Anal. Chem. 2015, 66, 146–157. [Google Scholar] [CrossRef]
- Sell, C. Chemistry of essential oils. In Handbook of Essential Oils. Science, Technology, and Applications; Bașer, K.H., Buchbauer, G., Eds.; CRC Press: Boca Raton, FL, USA, 2010; pp. 121–150. [Google Scholar]
- Schmidt, E. Production of essential oils. In Handbook of Essential Oils. Science, Technology, and Applications; Bașer, K.H., Buchbauer, G., Eds.; CRC Press: Boca Raton, FL, USA, 2010; pp. 83–119. [Google Scholar]
- De Cássia da Silveira e Sá, R.; Lima, T.C.; Da Nóbrega, F.R.; De Brito, A.E.M.; De Sousa, D.P. Analgesic-like Activity of Essential Oil Constituents: An Update. Int. J. Mol. Sci. 2017, 18, 2392. [Google Scholar] [CrossRef] [PubMed]
- De Sousa, D.P.; Silva, R.H.N.; Silva, E.F.d.; Gavioli, E.C. Essential Oils and Their Constituents: An Alternative Source for Novel Antidepressants. Molecules 2017, 22, 1290. [Google Scholar] [CrossRef] [PubMed]
- De Sousa, D.P.; Hocayen, P.D.A.S.; Andrade, L.N.; Andreatini, R. A Systematic Review of the Anxiolytic-like Effects of Essential Oils in Animal Models. Molecules 2015, 20, 18620–18660. [Google Scholar] [CrossRef]
- Pandey, V.K.; Tripathi, A.; Srivastava, S.; Dar, A.H.; Singh, R.; Farooqui, A.; Pandey, S. Exploiting the bioactive properties of essential oils and their potential applications in food industry. Food Sci. Biotechnol. 2023, 32, 885–902. [Google Scholar] [CrossRef]
- Sattayakhom, A.; Wichit, S.; Koomhin, P. The Effects of Essential Oils on the Nervous System: A Scoping Review. Molecules 2023, 28, 3771. [Google Scholar] [CrossRef]
- Zhao, Q.; Zhu, L.; Wang, S.; Gao, Y.; Jin, F. Molecular mechanism of the anti-inflammatory effects of plant essential oils: A systematic review. J. Ethnopharmacol. 2023, 301, 115829. [Google Scholar] [CrossRef]
- Machado, T.Q.; da Fonseca, A.C.C.; Duarte, A.B.S.; Robbs, B.K.; de Sousa, D.P. A Narrative Review of the Antitumor Activity of Monoterpenes from Essential Oils: An Update. Biomed. Res. Int. 2022, 2022, 6317201. [Google Scholar] [CrossRef]
- Kong, A.S.-Y.; Maran, S.; Yap, P.S.-X.; Lim, S.-H.E.; Yang, S.-K.; Cheng, W.-H.; Tan, Y.-H.; Lai, K.-S. Anti- and Pro-Oxidant Properties of Essential Oils against Antimicrobial Resistance. Antioxidants 2022, 11, 1819. [Google Scholar] [CrossRef]
- Chouhan, S.; Sharma, K.; Guleria, S. Antimicrobial Activity of Some Essential Oils-Present Status and Future Perspectives. Medicines 2017, 4, 58. [Google Scholar] [CrossRef] [PubMed]
- Lima, T.C.; Silva, T.K.M.; Silva, F.L.; Barbosa Filho, J.M.; Marques, M.O.M.; La Corte, R.; Cavalcanti, S.C.H.; Sousa, D.P. Larvicidal activity of Mentha x villosa Hudson essential oil, rotundifolone and derivatives. Chemosphere 2013, 104, 37–43. [Google Scholar] [CrossRef]
- Boukhatem, M.N.; Boumaiza, A.; Nada, H.G.; Rajabi, M.; Mousa, S.A. Eucalyptus globulus essential oil as a natural food preservative: Antioxidant, antibacterial and antifungal properties in vitro and in a real food matrix (orangina fruit juice). Appl. Sci. 2020, 10, 5581. [Google Scholar] [CrossRef]
- Behbahani, B.A.; Falah, F.; Arab, F.L.; Vasiee, M.; Yazdi, F.T. Chemical Composition and antioxidant, antimicrobial, and antiproliferative activities of Cinnamomum zeylanicum bark essential oil. Evid. Based Complement. Altern. Med. 2020, 2020, 5190603. [Google Scholar]
- Bassolé, I.H.N.; Juliani, H.R. Essential oils in combination and their antimicrobial properties. Molecules 2012, 17, 3989–4006. [Google Scholar] [CrossRef] [PubMed]
- Pichersky, E.; Noel, J.P.; Dudareva, N. Biosynthesis of plant volatiles: Nature’s diversity and ingenuity. Science 2006, 311, 808–811. [Google Scholar] [CrossRef]
- Bakkali, F.; Averbeck, S.; Averbeck, D.; Idaomar, M. Biological effects of essential oils—A review. Food Chem. Toxicol. 2008, 46, 446–475. [Google Scholar] [CrossRef]
- Turek, C.; Stintzing, F.C. Stability of Essential Oils: A Review. Compr. Rev. Food Sci. Food Saf. 2013, 12, 40–53. [Google Scholar] [CrossRef]
- Dewick, P. The biosynthesis of C5-C25 terpenoid compounds. Nat. Prod. Rep. 2002, 19, 181–222. [Google Scholar] [CrossRef]
- Bilia, A.R.; Guccione, C.; Isacchi, B.; Righeschi, C.; Firenzuoli, F.; Bergonzi, M.C. Essential oils loaded in nanosystems: A developing strategy for a successful therapeutic approach. Evid. Based Complement. Altern. Med. 2014, 2014, 651593. [Google Scholar] [CrossRef]
- Tian, H.; Zada, B.; Singh, B.H.; Wang, C.; Kim, S.-W. Synthetic Biology Approaches for the Production of Isoprenoids in Escherichia coli. In Current Developments in Biotechnology and Bioengineering, 1st ed.; Singh, S.P., Pandey, A., Du, G., Kumar, S., Eds.; Elsevier: New York, NY, USA, 2020; pp. 311–329. [Google Scholar]
- Leite, A.C.; Lopes, A.A.; Massuo, J.K.; Bolzani, V.d.S.; Furlan, M. Biosynthetic origin of the isoprene units in chromenes of Piper aduncum (Piperaceae). J. Braz. Chem. Soc. 2007, 18, 1500–1503. [Google Scholar] [CrossRef]
- Lichtenthaler, H.; Rohmer, M.; Schwender, J. Two independent biochemical pathways for isopentenyl diphosphate and isoprenoid biosynthesis in higher plants. Physiol. Plantarum. 2006, 101, 643–652. [Google Scholar] [CrossRef]
- Chatzivasileiou, A.O.; Ward, V.; Edgar, S.M.; Stephanopoulos, G. Two-step pathway for isoprenoid synthesis. Proc. Natl. Acad. Sci. USA 2019, 116, 506–511. [Google Scholar] [CrossRef]
- Croteau, R.; Kutchan, T.M.; Lewis, N.G. Natural products. In Biochemistry and Molecular Biology of Plants; Buchanan, B., Gruissem, W., Jones, R., Eds.; American Society of Plant Physiology: Rockville, MD, USA, 2000; Volume 24, pp. 1250–1318. [Google Scholar]
- Simões, C.M.O.; Schenkel, E.P.; Gosmann, G.; Mello, J.C.P.; Mentz, L.A.; Petrovik, P.R. Farmacognosia: Da Planta ao Medicamento; Editora UFRGS: Porto Alegre, Brazil, 2010. [Google Scholar]
- Jaeger, R.; Cuny, E. Terpenoids with Special Pharmacological Significance: A Review. Nat. Prod. Commun. 2016, 11, 1373–1390. [Google Scholar] [CrossRef] [PubMed]
- Mahmoud, S.S.; Croteau, R.B. Strategies for transgenic manipulation of monoterpene biosynthesis in plants. Trends Plant. Sci. 2002, 7, 366–373. [Google Scholar] [CrossRef]
- Avila, C. Terpenoids in Marine Heterobranch Molluscs. Mar. Drugs 2020, 18, 162. [Google Scholar] [CrossRef]
- Vogt, T. Phenylpropanoid Biosynthesis. Mol. Plant 2010, 3, 2–20. [Google Scholar] [CrossRef] [PubMed]
- Deng, Y.; Lu, S. Biosynthesis and Regulation of Phenylpropanoids in Plants. Crit. Rev. Plant Sci. 2017, 36, 257–290. [Google Scholar] [CrossRef]
- Feijó, E.V.R.S.; Oliveira, R.A.; Costa, L.C.B. Light affects Varronia curassavica essential oil yield by increasing trichomes frequency. Rev. Bras. Farmacogn. 2014, 24, 516–523. [Google Scholar] [CrossRef]
- El Asbahani, A.; Miladi, K.; Badri, W.; Sala, M.; Addi, E.A.; Casabianca, H.; El Mousadik, A.; Hartmann, D.; Jilale, A.; Renaud, F.N.R.; et al. Essential oils: From extraction to encapsulation. Int. J. Pharm. 2015, 483, 220–243. [Google Scholar] [CrossRef]
- Butnariu, M.; Sarac, I. Essential Oils from Plants. J. Biotechnol. Biomed. Sci. 2018, 1, 35–43. [Google Scholar] [CrossRef]
- Ampadu, G.A.A.; Mensah, J.O.; Darko, G.; Borquaye, L.S. Essential Oils from the Fruits and Leaves of Spondias mombin Linn.: Chemical Composition, Biological Activity, and Molecular Docking Study. Evid. Based Complement. Altern. Med. 2022, 2022, 7211015. [Google Scholar]
- Vigan, M. Essential oils: Renewal of interest and toxicity. Eur. J. Dermatol. 2010, 20, 685–692. [Google Scholar] [PubMed]
- Chami, F.; Chami, N.; Bennis, S.; Trouillas, J.; Remmal, A. Evaluation of carvacrol and eugenol as prophylaxis and treatment of vaginal candidiasis in an immunosuppressed rat model. J. Antimicrob. Chemother. 2004, 54, 909–914. [Google Scholar] [CrossRef] [PubMed]
- Fornari, T.; Vicente, G.; Vázquez, E.; García-Risco, M.R.; Reglero, G. Isolation of essential oil from different plants and herbs by supercritical fluid extraction. J. Chromatogr. A 2012, 1250, 34–48. [Google Scholar] [CrossRef]
- Saranraj, P.; Devi, V.D. Essential oils and its antibacterial properties—A review. Life Sci. Arch. 2017, 3, 994–1011. [Google Scholar]
- Ruberto, G.; Baratta, M.T. Antioxidant activity of selected essential oil components in two lipid model systems. Food Chem. 2000, 69, 167–174. [Google Scholar] [CrossRef]
- Amorati, R.; Valgimigli, L. Methods to Measure the Antioxidant Activity of Phytochemicals and Plant Extracts. J. Agric. Food Chem. 2018, 66, 3324–3329. [Google Scholar] [CrossRef]
- Guo, Y.; Pizzol, R.; Gabbanini, S.; Baschieri, A.; Amorati, R.; Valgimigli, L. Absolute Antioxidant Activity of Five Phenol-Rich Essential Oils. Molecules 2021, 26, 5237. [Google Scholar] [CrossRef]
- Amorati, R.; Baschieri, A.; Valgimigli, L. Measuring Antioxidant Activity in Bioorganic Samples by the Differential Oxygen Uptake Apparatus: Recent Advances. J. Chem. 2017, 2017, 6369358. [Google Scholar] [CrossRef]
- Baschieri, A.; Ajvazi, M.D.; Tonfack, J.L.F.; Valgimigli, L.; Amorati, R. Explaining the antioxidant activity of some common non-phenolic components of essential oils. Food Chem. 2017, 232, 656–663. [Google Scholar] [CrossRef] [PubMed]
- Cedrowski, J.; Litwinienko, G.; Baschieri, A.; Amorati, R. Hydroperoxyl Radicals (HOOC): Vitamin E Regeneration and H-Bond Effects on the Hydrogen Atom Transfer. Chem. Eur. J. 2016, 22, 16441–16445. [Google Scholar] [CrossRef] [PubMed]
- Guo, Y.; Baschieri, A.; Mollica, F.; Valgimigli, L.; Cedrowski, J.; Litwinienko, G.; Amorati, R. Hydrogen Atom Transfer from HOOC to ortho-Quinones Explains the Antioxidant Activity of Polydopamine. Angew. Chem. Int. Ed. 2021, 60, 15220–15224. [Google Scholar] [CrossRef] [PubMed]
- Foti, M.C.; Ingold, K.U. Mechanism of Inhibition of Lipid Peroxidation by γ-Terpinene, an Unusual and Potentially Useful Hydrocarbon Antioxidant. J. Agric. Food Chem. 2003, 51, 2758–2765. [Google Scholar] [CrossRef] [PubMed]
- Li, G.-X.; Liu, Z.-Q. Unusual Antioxidant Behavior of α- and γ-Terpinene in Protecting Methyl Linoleate, DNA, and Erythrocyte. J. Agric. Food Chem. 2009, 57, 3943–3948. [Google Scholar] [CrossRef]
- Guo, Y.; Baschieri, A.; Amorati, R.; Valgimigli, L. Synergic antioxidant activity of γ-terpinene with phenols and polyphenols enabled by hydroperoxyl radicals. Food Chem. 2021, 345, 128468. [Google Scholar] [CrossRef]
- Mollica, F.; Gelabert, I.; Amorati, R. Synergic Antioxidant Effects of the Essential Oil Component γ-Terpinene on High-Temperature Oil Oxidation. ACS Food Sci. Technol. 2022, 2, 180–186. [Google Scholar] [CrossRef]
- Zhang, X.; Guo, Y.; Guo, L.; Jiang, H.; Ji, Q. In Vitro Evaluation of Antioxidant and Antimicrobial Activities of Melaleuca alternifolia Essential Oil. BioMed Res. Int. 2018, 2018, 2396109. [Google Scholar] [CrossRef]
- Kallel, I.; Hadrich, B.; Gargouri, B.; Chaabane, A.; Lassoued, S.; Gdoura, R.; Bayoudh, A.; Messaoud, E.B. Optimization of Cinnamon (Cinnamomum zeylanicum Blume) Essential Oil Extraction: Evaluation of Antioxidant and Antiproliferative Effects. Evid. Based Complement. Alternat. Med. 2019, 2019, 6498347. [Google Scholar] [CrossRef]
- Ruberto, G.; Baratta, M.T.; Deans, S.G.; Damien Dorman, H.J. Antioxidant and antimicrobial activity of Foeniculum vulgare and Crithmum maritimum essential oils. Planta Med. 2000, 66, 687–693. [Google Scholar] [CrossRef]
- Allahverdiyev, A.; Duran, N.; Ozguven, M.; Koltas, S. Antiviral activity of the volatile oils of Melissa officinalis L. against Herpes simplex virus type-2. Phytomedicine 2004, 11, 657–661. [Google Scholar] [CrossRef] [PubMed]
- Gómez, L.A.; Stashenko, E.; Ocazionez, R.E. Comparative study on in vitro activities of citral, limonene and essential oils from Lippia citriodora and L. alba on yellow fever vírus. Nat. Prod. Commun. 2013, 8, 249–252. [Google Scholar] [CrossRef] [PubMed]
- Haddad, J.G.; Picard, M.; Bénard, S.; Desvignes, C.; Desprès, P.; Diotel, N.; El Kalamouni, C. Ayapana triplinervis Essential Oil and Its Main Component Thymohydroquinone Dimethyl Ether Inhibit Zika Virus at Doses Devoid of Toxicity in Zebrafish. Molecules 2019, 24, 3447. [Google Scholar] [CrossRef] [PubMed]
- Wani, A.R.; Yadav, K.; Khursheed, A.; Rather, M.A. An updated and comprehensive review of the antiviral potential of essential oils and their chemical constituents with special focus on their mechanism of action against various influenza and coronaviruses. Microb. Pathog. 2020, 152, 104620. [Google Scholar] [CrossRef]
- Reichling, J.; Schnitzler, P.; Suschke, U.; Saller, R. Essential oils of aromatic plants with antibacterial, antifungal, antiviral, and cytotoxic properties—An overview. Forsch. Komplementmed. 2009, 16, 79–90. [Google Scholar] [CrossRef]
- Lu, M.; Han, Z.; Xu, Y.; Yao, L. In Vitro and In Vivo anti-tobacco mosaic virus activities of essential oils and individual compounds. J. Microbiol. Biotechnol. 2013, 23, 771–778. [Google Scholar] [CrossRef]
- Astani, A.; Reichling, J.; Schnitzler, P. Comparative study on the antiviral activity of selected monoterpenes derived from essential oils. Phytother. Res. 2010, 24, 673–679. [Google Scholar] [CrossRef]
- Schnitzler, P.; Schön, K.; Reichling, J. Antiviral activity of Australian tea tree oil and eucalyptus oil against herpes simplex virus in cell culture. Pharmazie 2001, 56, 343–347. [Google Scholar]
- Reichling, J.; Koch, C.; Stahl-Biskup, E.; Sojka, C.; Schnitzler, P. Virucidal activity of a beta-triketone-rich essential oil of Leptospermum scoparium (manuka oil) against HSV-1 and HSV-2 in cell culture. Planta Med. 2005, 71, 1123–1127. [Google Scholar] [CrossRef]
- Schnitzler, P.; Koch, C.; Reichling, J. Susceptibility of drug-resistant clinical herpes simplex virus type 1 strains to essential oils of ginger, thyme, hyssop, and sandalwood. Antimicrob. Agents. Chemother. 2007, 51, 1859–1862. [Google Scholar] [CrossRef]
- Garozzo, A.; Timpanaro, R.; Bisignano, B.; Furneri, P.M.; Bisignano, G.; Castro, A. In vitro antiviral activity of Melaleuca alternifolia essential oil. Lett. Appl. Microbiol. 2009, 49, 806–808. [Google Scholar] [CrossRef] [PubMed]
- Venturi, C.R.; Danielli, L.J.; Klein, F.; Apel, M.A.; Montanha, J.A.; Bordignon, S.A.L.; Roehe, P.M.; Fuentefria, A.M.; Henriques, A.T. Chemical analysis and in vitro antiviral and antifungal activities of essential oils from Glechon spathulata and Glechon marifolia. Pharm. Biol. 2015, 53, 682–688. [Google Scholar] [CrossRef] [PubMed]
- García, C.C.; Talarico, L.; Almeida, N.; Colombres, S.; Duschatzky, C.; Damonte, E.B. Virucidal activity of essential oils from aromatic plants of San Luis, Argentina. Phytother. Res. 2003, 17, 1073–1075. [Google Scholar] [CrossRef]
- Swamy, M.K.; Sinniah, U.R. A Comprehensive Review on the Phytochemical Constituents and Pharmacological Activities of Pogostemon cablin Benth.: An Aromatic Medicinal Plant of Industrial Importance. Molecules 2015, 20, 8521–8547. [Google Scholar] [CrossRef]
- Pourghanbari, G.; Nili, H.; Moattari, A.; Mohammadi, A.; Iraji, A. Antiviral activity of the oseltamivir and Melissa officinalis L. essential oil against avian influenza A virus (H9N2). Virus Dis. 2016, 27, 170–178. [Google Scholar] [CrossRef]
- Gilling, D.H.; Kitajima, M.; Torrey, J.R.; Bright, K.R. Antiviral efficacy and mechanisms of action of oregano essential oil and its primary component carvacrol against murine norovirus. J. Appl. Microbiol. 2014, 116, 1149–1163. [Google Scholar] [CrossRef] [PubMed]
- Garozzo, A.; Timpanaro, R.; Stivala, A.; Bisignano, G.; Castro, A. Activity of Melaleuca alternifolia (tea tree) oil on Influenza virus A/PR/8: Study on the mechanism of action. Antivir. Res. 2011, 89, 83–88. [Google Scholar] [CrossRef] [PubMed]
- Choi, H.J. Chemical Constituents of Essential Oils Possessing Anti-Influenza A/WS/33 Virus Activity. Osong. Public Health Res. Perspect. 2018, 9, 348–353. [Google Scholar] [CrossRef]
- Ma, L.; Yao, L. Antiviral Effects of Plant-Derived Essential Oils and Their Components: An Updated Review. Molecules 2020, 25, 2627. [Google Scholar] [CrossRef]
- Liao, Q.; Qian, Z.; Liu, R.; An, L.; Chen, X. Germacrone inhibits early stages of influenza virus infection. Antivir. Res. 2013, 100, 578–588. [Google Scholar] [CrossRef]
- Wu, H.; Liu, Y.; Zu, S.; Sun, X.; Liu, C.; Liu, D.; Zhang, X.; Tian, J.; Qu, L. In vitro antiviral effect of germacrone on feline calicivirus. Arch. Virol. 2016, 161, 1559–1567. [Google Scholar] [CrossRef] [PubMed]
- Paulpandi, M.; Kannan, S.; Thangam, R.; Kaveri, K.; Gunasekaran, P.; Rejeeth, C. In vitro anti-viral effect of β-santalol against influenza viral replication. Phytomedicine 2012, 19, 231–235. [Google Scholar] [CrossRef] [PubMed]
- Vimalanathan, S.; Hudson, J. Anti-influenza virus activity of essential oils and vapors. Am. J. Essent. Oil. Nat. Prod. 2014, 2, 47–53. [Google Scholar]
- Feriotto, G.; Marchetti, N.; Costa, V.; Beninati, S.; Tagliati, F.; Mischiati, C. Chemical Composition of Essential Oils from Thymus vulgaris, Cymbopogon citratus, and Rosmarinus officinalis, and Their Effects on the HIV-1 Tat Protein Function. Chem. Biodivers. 2018, 15, e1700436. [Google Scholar] [CrossRef]
- Kowalczyk, A.; Przychodna, M.; Sopata, S.; Bodalska, A.; Fecka, I. Thymol and Thyme Essential Oil—New Insights into Selected Therapeutic Applications. Molecules 2020, 25, 4125. [Google Scholar] [CrossRef] [PubMed]
- Ćavar Zeljković, S.; Schadich, E.; Džubák, P.; Hajdúch, M.; Tarkowski, P. Antiviral Activity of Selected Lamiaceae Essential Oils and Their Monoterpenes Against SARS-Cov-2. Front Pharmacol. 2022, 13, 893634. [Google Scholar] [CrossRef]
- Mori, K.; Obossou, E.K.; Suwa, S.; Miura, S.; Oh, S.; Jinbo, N.; Ishibashi, Y.; Shikamoto, Y.; Hosono, T.; Toda, T. Human Immunodeficiency virus type 1 (hiv-1) reverse transcriptase inhibitory effect of Cymbopogon nardus essential oil. Int. J. Adv. Res. 2016, 2, 7–13. [Google Scholar]
- Civitelli, L.; Panella, S.; Marcocci, M.E.; De Petris, A.; Garzoli, S.; Pepi, F.; Vavala, E.; Ragno, R.; Nencioni, L.; Palamara, A.T.; et al. In vitro inhibition of herpes simplex virus type 1 replication by Mentha suaveolens essential oil and its main component piperitenone oxide. Phytomedicine 2014, 21, 857–865. [Google Scholar] [CrossRef]
- Lai, W.L.; Chuang, H.S.; Lee, M.H.; Wei, C.L.; Lin, C.-F.; Tsai, Y.C. Inhibition of herpes simplex virus type 1 by thymol-related monoterpenoids. Planta Med. 2012, 78, 1636–1638. [Google Scholar] [CrossRef]
- Astani, A.; Reichling, J.; Schnitzler, P. Screening for antiviral activities of isolated compounds from essential oils. Evid. Based Complement. Altern. Med. 2011, 2011, 253643. [Google Scholar] [CrossRef]
- Astani, A.; Schnitzler, P. Antiviral activity of monoterpenes beta-pinene and limonene against herpes simplex virus in vitro. Iran. J. Microbiol. 2014, 6, 149–155. [Google Scholar] [PubMed]
- Sharifi-Rad, J.; Salehi, B.; Schnitzler, P.; Ayatollahi, S.A.; Kobarfard, F.; Fathi, M.; Eisazadeh, M.; Sharifi-Rad, M. Susceptibility of herpes simplex virus type 1 to monoterpenes thymol, carvacrol, p-cymene and essential oils of Sinapis arvensis L., Lallemantia royleana Benth. and Pulicaria vulgaris Gaertn. Cell Mol. Biol. 2017, 63, 42–47. [Google Scholar] [CrossRef] [PubMed]
- Benali, T.; Lemhadri, A.; Harboul, K.; Chtibi, H.; Khabbach, A.; Jadouali, S.M.; Quesada-Romero, L.; Louahlia, S.; Hammani, K.; Ghaleb, A.; et al. Chemical Profiling and Biological Properties of Essential Oils of Lavandula stoechas L. Collected from Three Moroccan Sites: In Vitro and In Silico Investigations. Plants 2023, 12, 1413. [Google Scholar] [CrossRef] [PubMed]
- Pilau, M.R.; Alves, S.H.; Weiblen, R.; Arenhart, S.; Cueto, A.P.; Lovato, L.T. Antiviral activity of the Lippia graveolens (Mexican oregano) essential oil and its main compound carvacrol against human and animal viroses. Braz. J. Microbiol. 2011, 42, 1616–1624. [Google Scholar] [CrossRef]
- Garber, A.; Barnard, L.; Pickrell, C. Review of Whole Plant Extracts with Activity Against Herpes Simplex Viruses In Vitro and In Vivo. J. Evid. Based Integr. Med. 2021, 26, 2515690X20978394. [Google Scholar] [CrossRef] [PubMed]
- Flechas, M.C.; Ocazionez, R.E.; Stashenko, E.E. Evaluation of in vitro antiviral activity of essential oil compounds against dengue virus. Pharmacogn. J. 2018, 10, 55–59. [Google Scholar] [CrossRef]
- Reichling, J. Antiviral and Virucidal Properties of Essential Oils and Isolated Compounds—A Scientific Approach. Planta Med. 2022, 88, 587–603. [Google Scholar] [CrossRef]
- Kalemba, D.; Kunicka, A. Antibacterial and antifungal properties of essential oils. Curr. Med. Chem. 2003, 10, 813–829. [Google Scholar] [CrossRef]
- Ambrosio, C.M.S.; Contreras-Castillo, C.J.; Da Gloria, E.M. In vitro mechanism of antibacterial action of a citrus essential oil on an enterotoxigenic Escherichia coli and Lactobacillus rhamnosus. J. Appl. Microbiol. 2020, 129, 541–553. [Google Scholar] [CrossRef]
- Li, Z.-H.; Cai, M.; Liu, Y.-S.; Sun, P.-L.; Luo, S.-L. Antibacterial activity and mechanisms of essential oil from Citrus medica L. var. sarcodactylis. Molecules 2019, 24, 1577. [Google Scholar] [CrossRef]
- Piasecki, B.; Balázs, V.L.; Kieltyka-Dadasiewicz, A.; Szabó, P.; Kocsis, B.; Horváth, G.; Ludwiczuk, A. Microbiological Studies on the Influence of Essential Oils from Several Origanum Species on Respiratory Pathogens. Molecules 2023, 28, 3044. [Google Scholar] [CrossRef]
- Sikkema, J.; de Bont, J.A.; Poolman, B. Mechanisms of membrane toxicity of hydrocarbons. Microbiol. Rev. 1995, 59, 201–222. [Google Scholar] [CrossRef]
- Turgis, M.; Han, J.; Caillet, S.; Lacroix, M. Antimicrobial activity of mustard essential oil against Escherichia coli O157: H7 and Salmonella typhi. Food Control 2009, 20, 1073–1079. [Google Scholar] [CrossRef]
- Bouhdid, S.; Abrini, J.; Zhiri, A.; Espuny, M.J.; Manresa, A. Investigation of functional and morphological changes in Pseudomonas aeruginosa and Staphylococcus aureus cells induced by Origanum compactum essential oil. J. Appl. Microbiol. 2009, 106, 1558–1568. [Google Scholar] [CrossRef] [PubMed]
- Rhayour, K.; Bouchikhi, T.; Tantaoui-Elaraki, A.; Sendide, K.; Remmal, A. The mechanism of bactericidal action of oregano and clove essential oils and of their phenolic major components on Escherichia coli and Bacillus subtilis. J. Essent. Oil Res. 2003, 15, 356–362. [Google Scholar] [CrossRef]
- Helander, I.M.; Alakomi, H.-L.; Latva-Kala, K.; Mattila-Sandholm, T.; Pol, I.; Smid, E.J.; Gorris, L.G.M.; von Wright, A. Characterization of the action of selected essential oil components on Gram-negative bacteria. J. Agric. Food Chem. 1998, 46, 3590–3595. [Google Scholar] [CrossRef]
- Burt, S.A.; van der Zee, R.; Koets, A.P.; de Graaff, A.M.; van Knapen, F.; Gaastra, W.; Haagsman, H.P.; Veldhuizen, E.J.A. Carvacrol induces heat shock protein 60 and inhibits synthesis of flagellin in Escherichia coli O157: H7. Appl. Environ. Microbiol. 2007, 73, 4484–4490. [Google Scholar] [CrossRef] [PubMed]
- De Martino, L.; De Feo, V.; Nazzaro, F. Chemical composition and in vitro antimicrobial and mutagenic activities of seven Lamiaceae essential oils. Molecules 2009, 14, 4213–4230. [Google Scholar] [CrossRef]
- Frazzon, A.P.G.; Correa, M.S.; Lauer Júnior, C.M.; Frazzon, J. Modulation of gene expression by essential oils in bacteria. Adv. Biotech. Micro. 2018, 8, 1–3. [Google Scholar]
- Zani, F.; Massimo, G.; Benvenuti, S.; Bianchi, A.; Albasini, A.; Melegari, M.; Vampa, G.; Bellotti, A.; Mazza, P. Studies on the genotoxic properties of essential oils with Bacillus subtilis rec-assay and Salmonella/microsome reversion assay. Planta Medica 1991, 57, 237–241. [Google Scholar] [CrossRef]
- Khan, M.S.A.; Zahin, M.; Hasan, S.; Husain, F.M.; Ahmad, I. Inhibition of quorum sensing regulated bacterial functions by plant essential oils with special reference to clove oil. Lett. Appl. Microbiol. 2009, 49, 354–360. [Google Scholar] [CrossRef] [PubMed]
- de Almeida Freires, I.; Murata, R.M.; Furletti, V.F.; Sartoratto, A.; de Alencar, S.M.; Figueira, G.M.; de Oliveira Rodrigues, J.A.; Duarte, M.C.T.; Rosalen, P.L. Coriandrum sativum L. (coriander) essential oil: Antifungal activity and mode of action on Candida spp., and molecular targets affected in human whole-genome expression. PLoS ONE 2014, 9, e99086. [Google Scholar] [CrossRef]
- Tian, J.; Ban, X.; Zeng, H.; He, J.; Chen, Y.; Wang, Y. The mechanism of antifungal action of essential oil from dill (Anethum graveolens L.) on Aspergillus flavus. PLoS ONE 2012, 7, e30147. [Google Scholar] [CrossRef]
- Pozniakovsky, A.I.; Knorre, D.A.; Markova, O.V.; Hyman, A.A.; Skulachev, V.P.; Severin, F.F. Role of mitochondria in the pheromone-and amiodarone-induced programmed death of yeast. J. Cell. Biol. 2005, 168, 257–269. [Google Scholar] [CrossRef] [PubMed]
- Shahwar, M.K.; El-Ghorab, A.H.; Anjum, F.M.; Butt, M.S.; Hussain, S.; Nadeem, M. Characterization of Coriander (Coriandrum sativum L.) Seeds and Leaves: Volatile and Non Volatile Extracts. Int. J. Food Prop. 2012, 15, 736–747. [Google Scholar] [CrossRef]
- Danielli, L.J.; Pippi, B.; Duarte, J.A.; Maciel, A.J.; Lopes, W.; Machado, M.M.; Oliveira, L.F.S.; Vainstein, M.H.; Teixeira, M.L.; Bordignon, S.A.L. Antifungal mechanism of action of Schinus lentiscifolius Marchand essential oil and its synergistic effect in vitro with terbinafine and ciclopirox against dermatophytes. J. Pharm. Pharmacol. 2018, 70, 1216–1227. [Google Scholar] [CrossRef]
- de Macêdo Andrade, A.C.; Rosalen, P.L.; Freires, I.A.; Scotti, L.; Scotti, M.T.; Aquino, S.G.; de Castro, R.D. Antifungal activity, mode of action, docking prediction and anti-biofilm effects of (+)-β-pinene enantiomers against Candida spp. Curr. Top. Med. Chem. 2018, 18, 2481–2490. [Google Scholar] [CrossRef]
- Medeiros, C.I.S.; de Sousa, M.N.A.; Filho, G.G.A.; Freitas, F.O.R.; Uchoa, D.P.L.; Nobre, M.S.C.; Bezerra, A.L.D.; Rolim, L.A.D.M.M.; Morais, A.M.B.; Nogueira, T.B.S.S.; et al. Antifungal activity of linalool against fluconazole-resistant clinical strains of vulvovaginal Candida albicans and its predictive mechanism of action. Braz. J. Med. Biol. Res. 2022, 55, e11831. [Google Scholar] [CrossRef]
- Rivera-Yañez, R.C.; Terrazas, L.I.; Jimenez-Estrada, M.; Campos, J.E.; Flores-Ortiz, C.M.; Hernandez, L.B.; Cruz-Sanchez, T.; Garrido-Fariña, G.I.; Rodriguez-Monroy, M.A.; Canales-Martinez, M.M. Anti-Candida Activity of Bursera morelensis Ramirez Essential Oil and Two Compounds, α-Pinene and γ-Terpinene-An In Vitro Study. Molecules 2017, 22, 2095. [Google Scholar] [CrossRef]
- Sousa, J.P.; Queiroz, E.O.; Guerra, F.Q.S.; Mendes, J.M.; Pedrosa, Z.V.; Abrahão Filho, A.O.; Pereira, F.O.; Trajano, V.N.; Souza, F.S.; Lima, E.O. Morphological alterations and time-kill studies of the essential oil from the leaves of Coriandrum sativum L. on Candida albicans. Bol. Latinoam. Caribe Plant Med. Aromats. 2016, 15, 398–406. [Google Scholar]
- Agassi, S.F.T.; Yeh, T.M.; Chang, C.D.; Hsu, J.L.; Shih, W.L. Potentiation of Differentiation and Apoptosis in a Human Promyelocytic Leukemia Cell Line by Garlic Essential Oil and Its Organosulfur Compounds. Anticancer Res. 2020, 40, 6345–6354. [Google Scholar] [CrossRef] [PubMed]
- Ahani, N.; Sangtarash, M.H.; Alipour Eskandani, M.; Houshmand, M. Zataria multiflora Boiss. Essential Oil Induce Apoptosis in Two Human Colon Cancer Cell Lines (HCT116 & SW48). Iran. J. Public Health 2020, 49, 753–762. [Google Scholar] [PubMed]
- Seal, S.; Chatterjee, P.; Bhattacharya, S.; Pal, D.; Dasgupta, S.; Kundu, R.; Mukherjee, S.; Bhattacharya, S.; Bhuyan, M.; Bhattacharyya, P.R.; et al. Vapor of volatile oils from Litsea cubeba seed induces apoptosis and causes cell cycle arrest in lung cancer cells. PLoS ONE 2012, 7, e47014. [Google Scholar] [CrossRef] [PubMed]
- Bhagat, M.; Kumar, A.; Suravajhala, R. Cedrus deodara (Bark) Essential Oil Induces Apoptosis in Human Colon Cancer Cells by Inhibiting Nuclear Factor kappa B. Curr. Top. Med. Chem. 2020, 20, 1981–1992. [Google Scholar] [CrossRef] [PubMed]
- Poma, P.; Labbozzetta, M.; Ramarosandratana, A.V.; Rosselli, S.; Tutone, M.; Sajeva, M.; Notarbartolo, M. In Vitro Modulation of P-Glycoprotein Activity by Euphorbia intisy Essential Oil on Acute Myeloid Leukemia Cell Line HL-60R. Pharmaceuticals 2021, 14, 111. [Google Scholar] [CrossRef]
- Cha, J.D.; Moon, S.E.; Kim, H.Y.; Cha, I.H.; Lee, K.Y. Essential oil of Artemisia capillaris induces apoptosis in KB cells via mitochondrial stress and caspase activation mediated by MAPK-stimulated signaling pathway. J. Food Sci. 2009, 74, 75–81. [Google Scholar] [CrossRef]
- Ren, Z.; Elson, C.E.; Gould, M.N. Inhibition of type I and type II geranylgeranyl-protein transferases by the monoterpene perillyl alcohol in NIH3T3 cells. Biochem. Pharmacol. 1997, 54, 113–120. [Google Scholar] [CrossRef]
- Stayrook, K.R.; Mckinzie, J.H.; Barbhaiya, L.H.; Crowell, P.L. Effects of the antitumor agent perillyl alcohol on H-Ras vs. K-Ras farnesylation and signal transduction in pancreatic cells. Anticancer Res. 1998, 18, 823–828. [Google Scholar]
- Roepke, M.; Diestel, A.; Bajbouj, K.; Walluscheck, D.; Schonfeld, P.; Roessner, A.; Schneider-Stock, R.; Gali-Muhtasib, H. Lack of p53 augments thymoquinone-induced apoptosis and caspase activation in human osteosarcoma cells. Cancer Biol. Ther. 2007, 6, 160–169. [Google Scholar] [CrossRef]
- Alam, A.; Jawaid, T.; Alsanad, S.M.; Kamal, M.; Balaha, M.F. Composition, Antibacterial Efficacy, and Anticancer Activity of Essential Oil Extracted from Psidium guajava (L.) Leaves. Plants 2023, 12, 246. [Google Scholar] [CrossRef]
- Sobral, M.V.; Xavier, A.L.; Lima, T.C.; Sousa, D.P. Antitumor Activity of Monoterpenes Found in Essential Oils. Sci. World J. 2014, 2014, 953451. [Google Scholar] [CrossRef] [PubMed]
- Jia, S.; Xi, G.; Zhang, M.; Chen, Y.; Lei, B.; Dong, X.; Yang, Y. Induction of apoptosis by D-limonene is mediated by inactivation of Akt in LS174T human colon cancer cells. Oncol. Rep. 2013, 29, 349–354. [Google Scholar] [CrossRef]
- Yu, X.; Lin, H.; Wang, Y.; Lv, W.; Zhang, S.; Qian, Y.; Deng, X.; Feng, N.; Yu, H.; Qian, B. d-limonene exhibits antitumor activity by inducing autophagy and apoptosis in lung cancer. Onco. Targets Ther. 2018, 11, 1833–1847. [Google Scholar] [CrossRef]
- Ahmed, E.A.; Zahra, H.A.; Ammar, R.B.; Mohamed, M.E.; Ibrahim, H.-I.M. Beta-Caryophyllene Enhances the Anti-Tumor Activity of Cisplatin in Lung Cancer Cell Lines through Regulating Cell Cycle and Apoptosis Signaling Molecules. Molecules 2022, 27, 8354. [Google Scholar] [CrossRef] [PubMed]
- Rezaieseresht, H.; Shobeiri, S.S.; Kaskani, A. Chenopodium botrys Essential Oil as A Source of Sesquiterpenes to Induce Apoptosis and G1 Cell Cycle Arrest in Cervical Cancer Cells. Iran. J. Pharm. Res. 2020, 19, 341–351. [Google Scholar]
- Beeby, E.; Magalhães, M.; Lemos, M.F.L.; Pires, I.M.; Cabral, C. Cytotoxic effects of Ridolfia segetum (L.) Moris phytoproducts in cancer cells. J. Ethnopharmacol. 2021, 267, 113515. [Google Scholar] [CrossRef]
- Ilhan, S. Essential Oils from Vitex agnus castus L. Leaves Induces Caspase-Dependent Apoptosis of Human Multidrug-Resistant Lung Carcinoma Cells through Intrinsic and Extrinsic Pathways. Nutr. Cancer 2021, 73, 694–702. [Google Scholar] [CrossRef]
- Anunciação, T.A.D.; Costa, R.G.A.; Lima, E.J.S.P.; Silva, V.R.; Santos, L.S.; Soares, M.B.P.; Dias, R.B.; Rocha, C.A.G.; Costa, E.V.; Silva, F.M.A.D.; et al. In vitro and in vivo inhibition of HCT116 cells by essential oils from bark and leaves of Virola surinamensis (Rol. ex Rottb.) Warb. (Myristicaceae). J. Ethnopharmacol. 2020, 262, 113166. [Google Scholar] [CrossRef]
- Lima, E.J.S.P.; Fontes, S.S.; Nogueira, M.L.; Silva, V.R.; Santos, L.S.; D’Elia, G.M.A.; Dias, R.B.; Sales, C.B.S.; Rocha, C.A.G.; Vannier-Santos, M.A.; et al. Essential oil from leaves of Conobea scoparioides (Cham. & Schltdl.) Benth. (Plantaginaceae) causes cell death in HepG2 cells and inhibits tumor development in a xenograft model. Biomed. Pharmacother. 2020, 129, 110402. [Google Scholar] [PubMed]
- Nogueira, M.L.; Lima, E.J.S.P.; Adrião, A.A.X.; Fontes, S.S.; Silva, V.R.; Santos, L.S.; Soares, M.B.P.; Dias, R.B.; Rocha, C.A.G.; Costa, E.V.; et al. Cyperus articulatus L. (Cyperaceae) Rhizome Essential Oil Causes Cell Cycle Arrest in the G2/M Phase and Cell Death in HepG2 Cells and Inhibits the Development of Tumors in a Xenograft Model. Molecules 2020, 25, 2687. [Google Scholar] [CrossRef] [PubMed]
- Trang, D.T.; Hoang, T.K.V.; Nguyen, T.T.M.; Van Cuong, P.; Dang, N.H.; Dang, H.D.; Nguyen Quang, T.; Dat, N.T. Essential Oils of Lemongrass (Cymbopogon citratus Stapf) Induces Apoptosis and Cell Cycle Arrest in A549 Lung Cancer Cells. BioMed Res. Int. 2020, 11, 5924856. [Google Scholar] [CrossRef] [PubMed]
- Niu, Q.L.; Sun, H.; Liu, C.; Li, J.; Liang, C.X.; Zhang, R.R.; Ge, F.R.; Liu, W. Croton tiglium essential oil compounds have anti-proliferative and pro-apoptotic effects in A549 lung cancer cell lines. PLoS ONE 2020, 15, e0231437. [Google Scholar] [CrossRef] [PubMed]
- Azadi, M.; Jamali, T.; Kianmehr, Z.; Kavoosi, G.; Ardestani, S.K. In-vitro (2D and 3D cultures) and in-vivo cytotoxic properties of Zataria multiflora essential oil (ZEO) emulsion in breast and cervical cancer cells along with the investigation of immunomodulatory potential. J. Ethnopharmacol. 2020, 257, 112865. [Google Scholar] [CrossRef]
- Athamneh, K.; Alneyadi, A.; Alsamri, H.; Alrashedi, A.; Palakott, A.; El-Tarabily, K.A.; Eid, A.H.; Al Dhaheri, Y.; Iratni, R. Origanum majorana Essential Oil Triggers p38 MAPK-Mediated Protective Autophagy, Apoptosis, and Caspase-Dependent Cleavage of P70S6K in Colorectal Cancer Cells. Biomolecules 2020, 10, 412. [Google Scholar] [CrossRef] [PubMed]
- Zhang, Y.; Xin, C.; Qiu, J.; Wang, Z. Essential Oil from Pinus Koraiensis Pinecones Inhibits Gastric Cancer Cells via the HIPPO/YAP Signaling Pathway. Molecules 2019, 24, 3851. [Google Scholar] [CrossRef]
- Lima, E.J.S.P.; Alves, R.G.; D’Elia, G.M.A.; Anunciação, T.A.D.; Silva, V.R.; Santos, L.S.; Soares, M.B.P.; Cardozo, N.M.D.; Costa, E.V.; Silva, F.M.A.D.; et al. Antitumor Effect of the Essential Oil from the Leaves of Croton matourensis Aubl. (Euphorbiaceae). Molecules 2018, 23, 2974. [Google Scholar] [CrossRef]
- Balusamy, S.R.; Perumalsamy, H.; Huq, M.A.; Balasubramanian, B. Anti-proliferative activity of Origanum vulgare inhibited lipogenesis and induced mitochondrial mediated apoptosis in human stomach cancer cell lines. Biomed. Pharmacother. 2018, 108, 1835–1844. [Google Scholar] [CrossRef]
- Oliveira, F.P.; Rodrigues, A.C.B.d.C.; de Lima, E.J.S.P.; Silva, V.R.; Santos, L.d.S.; Anunciação, T.A.d.; Nogueira, M.L.; Soares, M.B.P.; Dias, R.B.; Gurgel Rocha, C.A.; et al. Essential Oil from Bark of Aniba parviflora (Meisn.) Mez (Lauraceae) Reduces HepG2 Cell Proliferation and Inhibits Tumor Development in a Xenograft Model. Chem. Biodivers. 2021, 18, e2000938. [Google Scholar] [CrossRef]
- Costa, R.G.A.; Anunciação, T.A.D.; Araujo, M.S.; Souza, C.A.; Dias, R.B.; Sales, C.B.S.; Rocha, C.A.G.; Soares, M.B.P.; Silva, F.M.A.D.; Koolen, H.H.F.; et al. In vitro and in vivo growth inhibition of human acute promyelocytic leukemia HL-60 cells by Guatteria megalophylla Diels (Annonaceae) leaf essential oil. Biomed. Pharmacother. 2020, 122, 109713. [Google Scholar] [CrossRef]
- Chen, L.; Deng, H.; Cui, H.; Fang, J.; Zuo, Z.; Deng, J.; Li, Y.; Wang, X.; Zhao, L. Inflammatory responses and inflammation-associated diseases in organs. Oncotarget 2018, 9, 7204–7218. [Google Scholar] [CrossRef]
- Kariagina, A.; Doseff, A.I. Anti-Inflammatory Mechanisms of Dietary Flavones: Tapping into Nature to Control Chronic Inflammation in Obesity and Cancer. Int. J. Mol. Sci. 2022, 23, 15753. [Google Scholar] [CrossRef] [PubMed]
- Chung, K.W.; Kim, D.H.; Jung, H.J.; Arulkumar, R.; Chung, H.Y.; Yu, B.P. Chronic Inflammation as an Underlying Mechanism of Ageing and Ageing-Related Diseases. Subcell. Biochem. 2023, 103, 31–44. [Google Scholar]
- Freire, M.O.; Van Dyke, T.E. Natural resolution of inflammation. Periodontology 2013, 63, 149–164. [Google Scholar] [CrossRef] [PubMed]
- Pober, J.S.; Sessa, W.C. Evolving functions of endothelial cells in inflammation. Nat. Rev. Immunol. 2007, 7, 803–815. [Google Scholar] [CrossRef] [PubMed]
- de Lavor, E.M.; Fernandes, A.W.C.; Teles, R.B.A.; Leal, A.E.B.P.; Oliveira Júnior, R.G.; Silva, M.G.E.; Oliveira, A.P.; Silva, J.C.; Araújo, M.T.M.F.; Coutinho, H.D.M.; et al. Essential Oils and Their Major Compounds in the Treatment of Chronic Inflammation: A Review of Antioxidant Potential in Preclinical Studies and Molecular Mechanisms. Oxid. Med. Cell Longev. 2018, 2018, 6468593. [Google Scholar] [CrossRef]
- Zuo, X.; Gu, Y.; Wang, C.; Zhang, J.; Zhang, J.; Wang, G.; Wang, F. Systematic Review of the Anti-Inflammatory and Immunomodulatory Properties of 16 Essential Oils of Herbs. Evid. Based Complement. Altern. Med. 2020, 2020, 8878927. [Google Scholar] [CrossRef]
- Mnif, W.; Dhifi, W.; Jelali, N.; Baaziz, H.; Hadded, A.; Hamdi, N. Characterization of Leaves Essential oil of Pelargonium graveolens Originating from Tunisia: Chemical Composition, Antioxidant and Biological Activities. J. Essent. Oil-Bear. Plants 2011, 14, 761–769. [Google Scholar] [CrossRef]
- Sienkiewicz, M.; Poznańska-Kurowska, K.; Kaszuba, A.; Kowalczyk, E. The antibacterial activity of geranium oil against Gram-negative bacteria isolated from difficult-to-heal wounds. Burns 2013, 40, 1046–1051. [Google Scholar] [CrossRef]
- Orchard, A.; van Vuuren, S. Commercial Essential Oils as Potential Antimicrobials to Treat Skin Diseases. Evid. Based Complement. Altern. Med. 2017, 2017, 4517971. [Google Scholar] [CrossRef]
- Huang, L.; Pi, J.; Wu, J.; Zhou, H.; Cai, J.; Li, T.; Liu, L. A rapid and sensitive assay based on particle analysis for cell degranulation detection in basophils and mast cells. Pharmacol. Res. 2016, 111, 374–383. [Google Scholar] [CrossRef]
- Zelová, H.; Hošek, J. TNF-alpha signalling and inflammation: Interactions between old acquaintances. Inflamm. Res. 2013, 62, 641–651. [Google Scholar] [CrossRef]
- Kobayashi, Y.; Sato, H.; Yorita, M.; Nakayama, H.; Miyazato, H.; Sugimoto, K.; Jippo, T. Inhibitory effects of geranium essential oil and its major component, citronellol, on degranulation and cytokine production by mast cells. Biosci. Biotechnol. Biochem. 2016, 80, 1172–1178. [Google Scholar] [CrossRef]
- Iscan, G.; Kirimer, N.; Demirci, F.; Demirci, B.; Noma, Y.; Başer, K.H.C. Biotransformation of (−)-(R)-alpha-phellandrene: Antimicrobial activity of its major metabolite. Chem. Biodivers. 2012, 9, 1525–1532. [Google Scholar] [CrossRef] [PubMed]
- Onyenekwe, P.C.; Stahl, M.; Adejo, G. Post-irradiation changes of the volatile oil constituents of Monodora myristica (Gaertn) Dunal. Nat. Prod. Res. 2012, 26, 2030–2034. [Google Scholar] [CrossRef]
- Hajhashemi, V.; Abbasi, N. Hypolipidemic activity of Anethum graveolens in rats. Phytother. Res. 2008, 22, 372–375. [Google Scholar] [CrossRef] [PubMed]
- Gonçalves, R.L.G.; Cunha, F.V.M.; Sousa-Neto, B.P.S.; Oliveira, L.S.A.; Lopes, M.E.; Rezende, D.C.; Sousa, I.J.O.; Nogueira, K.M.; Souza, L.K.M.; Medeiros, J.V.R.; et al. α-Phellandrene attenuates tissular damage, oxidative stress, and TNF-α levels on acute model ifosfamide-induced hemorrhagic cystitis in mice. Naunyn Schmiedebergs Arch. Pharmacol. 2020, 393, 1835–1848. [Google Scholar] [CrossRef] [PubMed]
- Scherer, M.M.C.; Marques, F.M.; Figueira, M.M.; Peisino, M.C.O.; Schmitt, E.F.P.; Kondratyuk, T.P.; Endringer, D.C.; Scherer, R.; Fronza, M. Wound healing activity of terpinolene and α-phellandrene by attenuating inflammation and oxidative stress in vitro. J. Tissue Viability 2019, 28, 94–99. [Google Scholar] [CrossRef]
- Piccinelli, A.C.; Santos, J.A.; Konkiewitz, E.C.; Oesterreich, S.A.; Formagio, A.S.N.; Croda, J.; Ziff, E.B.; Kassuya, C.A.L. Antihyperalgesic and antidepressive actions of (R)-(+)-limonene, α-phellandrene, and essential oil from Schinus terebinthifolius fruits in a neuropathic pain model. Nutr. Neurosci. 2015, 18, 217–224. [Google Scholar] [CrossRef]
- Siqueira, H.D.S.; Neto, B.S.; Sousa, D.P.; Gomes, B.S.; da Silva, F.V.; Cunha, F.V.M.; Wanderley, C.W.S.; Pinheiro, G.; Cândido, A.G.F.; Wong, D.V.T.; et al. α-Phellandrene, a cyclic monoterpene, attenuates inflammatory response through neutrophil migration inhibition and mast cell degranulation. Life Sci. 2016, 160, 27–33. [Google Scholar] [CrossRef]
- Ley, K.; Laudanna, C.; Cybulsky, M.I.; Nourshargh, S. Getting to the site of inflammation: The leukocyte adhesion cascade updated. Nat. Rev. Immunol. 2007, 7, 678–689. [Google Scholar] [CrossRef]
- Costa, R.; Dugo, P.; Navarra, M.; Raymo, V.; Dugoa, G.; Mondello, L. Study on the chemical composition variability of some processed bergamot (Citrus bergamia) essential oils. Flavour Fragr. J. 2010, 25, 4–12. [Google Scholar] [CrossRef]
- Chen, D.; Wang, J.; Jiang, Y.; Zhou, T.; Fan, G.; Wu, Y. Separation and determination of coumarins in Fructus cnidii extracts by pressurized capillary electrochromatography using a packed column with a monolithic outlet frit. J. Pharm. Biomed. Anal. 2009, 50, 695–702. [Google Scholar] [CrossRef]
- Singh, G.; Kaur, A.; Kaur, J.; Bhatti, M.S.; Singh, P.; Bhatti, R. Bergapten inhibits chemically induced nociceptive behavior and inflammation in mice by decreasing the expression of spinal PARP, iNOS, COX-2 and inflammatory cytokines. Inflammopharmacology 2019, 27, 749–760. [Google Scholar] [CrossRef] [PubMed]
- Aidoo, D.B.; Obiri, D.D.; Osafo, N.; Antwi, A.O.; Essel, L.B.; Duduyemi, B.M.; Ekor, M. Allergic Airway-Induced Hypersensitivity Is Attenuated by Bergapten in Murine Models of Inflammation. Adv. Pharmacol. Sci. 2019, 2019, 6097349. [Google Scholar] [CrossRef]
- Ham, J.R.; Choi, R.-Y.; Lee, H.-I.; Lee, M.-K. Methoxsalen and Bergapten Prevent Diabetes-Induced Osteoporosis by the Suppression of Osteoclastogenic Gene Expression in Mice. Int. J. Mol. Sci. 2019, 20, 1298. [Google Scholar] [CrossRef]
- Adakudugu, E.A.; Ameyaw, E.O.; Obese, E.; Biney, R.P.; Henneh, I.T.; Aidoo, D.B.; Oge, E.N.; Attah, I.Y.; Obiri, D.D. Protective effect of bergapten in acetic acid-induced colitis in rats. Heliyon 2020, 6, e04710. [Google Scholar] [CrossRef]
- Barbara, G.; Stanghellini, V.; De Giorgio, R.; Cremon, C.; Cottrell, G.S.; Santini, D.; Pasquinelli, G.; Morselli-Labate, A.M.; Grady, E.F.; Bunnett, N.W.; et al. Activated mast cells in proximity to colonic nerves correlate with abdominal pain in irritable bowel syndrome. Gastroenterology 2004, 126, 693–702. [Google Scholar] [CrossRef] [PubMed]
- De Vincenzi, M.; Stammati, A.; De Vincenzi, A.; Silano, M. Constituents of aromatic plants: Carvacrol. Fitoterapia 2004, 75, 801–804. [Google Scholar] [CrossRef] [PubMed]
- Melo, F.H.C.; Rios, E.R.V.; Rocha, N.F.M.; Citó, M.C.O.; Fernandes, M.L.; Sousa, D.P.; Vasconcelos, S.M.M.; Sousa, F.C.F. Antinociceptive activity of carvacrol (5-isopropyl-2-methylphenol) in mice. J. Pharm. Pharmacol. 2012, 64, 1722–1729. [Google Scholar] [CrossRef] [PubMed]
- Melo, F.H.C.; Venâncio, E.T.; Sousa, D.P.; Fonteles, M.M.F.; Vasconcelos, S.M.M.; Viana, G.S.B.; Sousa, F.C.F. Anxiolytic-like effect of Carvacrol (5-isopropyl-2-methylphenol) in mice: Involvement with GABAergic transmission. Fundam. Clin. Pharmacol. 2010, 24, 437–443. [Google Scholar] [CrossRef]
- Zhao, W.; Deng, C.; Han, Q.; Xu, H.; Chen, Y. Carvacrol may alleviate vascular inflammation in diabetic db/db mice. Int. J. Mol. Med. 2020, 46, 977–988. [Google Scholar] [CrossRef] [PubMed]
- Alvarenga, E.M.; Souza, L.K.; Araújo, T.S.; Nogueira, K.M.; Sousa, F.B.; Araújo, A.R.; Martins, C.S.; Pacífico, D.M.; de C Brito, G.A.; Souza, E.P.; et al. Carvacrol reduces irinotecan-induced intestinal mucositis through inhibition of inflammation and oxidative damage via TRPA1 receptor activation. Chem. Biol. Interact. 2016, 260, 129–140. [Google Scholar] [CrossRef] [PubMed]
- Alvarenga, E.M.; Sousa, N.A.; de Araújo, S.; Júnior, J.L.P.; Araújo, A.R.; Iles, B.; Pacífico, D.M.; Brito, G.A.C.; Souza, E.P.; Sousa, D.P.; et al. Carvacryl acetate, a novel semisynthetic monoterpene ester, binds to the TRPA1 receptor and is effective in attenuating irinotecan-induced intestinal mucositis in mice. J. Pharm. Pharmacol. 2017, 69, 1773–1785. [Google Scholar] [CrossRef]
- Nilius, B.; Appendino, G.; Owsianik, G. The transient receptor potential channel TRPA1: From gene to pathophysiology. Pflug. Arch. 2012, 464, 425–458. [Google Scholar] [CrossRef]
- Earley, S.; Gonzales, A.L.; Crnich, R. Endothelium-dependent cerebral artery dilation mediated by TRPA1 and Ca2+-Activated K+ channels. Circ. Res. 2009, 104, 987–994. [Google Scholar] [CrossRef] [PubMed]
- Juergens, U.R. Anti-inflammatory Properties of the Monoterpene 1.8-cineole: Current Evidence for Co-medication in Inflammatory Airway Diseases. Drug Res. 2014, 64, 638–646. [Google Scholar] [CrossRef] [PubMed]
- Martins, A.O.B.P.B.; Rodrigues, L.B.; Cesário, F.R.A.S.; Oliveira, M.R.C.; Tintino, C.D.M.; Castro, F.F.E.; Alcântara, I.S.; Fernandes, M.N.M.; Albuquerque, T.R.; Silva, M.S.A.; et al. Anti-edematogenic and anti-inflammatory activity of the essential oil from Croton rhamnifolioides leaves and its major constituent 1,8-cineole (eucalyptol). Biomed. Pharmacother. 2017, 96, 384–395. [Google Scholar] [CrossRef] [PubMed]
- Seol, G.H.; Kim, K.Y. Eucalyptol and its role in chronic diseases. Adv. Exp. Med. Biol. 2016, 929, 389–398. [Google Scholar]
- Caceres, A.I.; Liu, B.; Jabba, S.V.; Achanta, S.; Morris, J.B.; Jordt, S.E. Transient Receptor Potential Cation Channel Subfamily M Member 8 channels mediate the anti-inflammatory effects of eucalyptol. Br. J. Pharmacol. 2017, 174, 867–879. [Google Scholar] [CrossRef]
- Liu, B.; Fan, L.; Balakrishna, S.; Sui, A.; Morris, J.B.; Jordt, S.-E. TRPM8 is the principal mediator of menthol-induced analgesia of acute and inflammatory pain. Pain 2013, 154, 2169–2177. [Google Scholar] [CrossRef]
- Ramachandran, R.; Hyun, E.; Zhao, L.; Lapointe, T.K.; Chapman, K.; Hirota, C.L.; Ghosh, S.; McKemy, D.D.; Vergnolle, N.; Beck, P.L.; et al. TRPM8 activation attenuates inflammatory responses in mouse models of colitis. Proc. Natl. Acad. Sci. USA 2013, 110, 7476–7481. [Google Scholar]
- Wang, X.-P.; Yu, X.; Yan, X.-J.; Lei, F.; Chai, Y.-S.; Jiang, J.-F.; Yuan, Z.-Y.; Xing, D.-M.; Du, L.-J. TRPM8 in the negative regulation of TNFα expression during cold stress. Sci. Rep. 2017, 7, 45155. [Google Scholar] [CrossRef] [PubMed]
- Lee, S.-C.; Hsu, J.-S.; Li, C.-C.; Chen, K.-M.; Liu, C.-T. Protective effect of leaf essential oil from Cinnamomum osmophloeum Kanehira on endotoxin-induced intestinal injury in mice associated with suppressed local expression of molecules in the signaling pathways of TLR4 and NLRP3. PLoS ONE 2015, 10, e0120700. [Google Scholar] [CrossRef] [PubMed]
- Ciesielska, A.; Matyjek, M.; Kwiatkowska, K. TLR4 and CD14 trafficking and its influence on LPS-induced pro-inflammatory signaling. Cell. Mol. Life Sci. 2021, 78, 1233–1261. [Google Scholar] [CrossRef]
- Li, J.; Zhang, X.; Huang, H. Protective effect of linalool against lipopolysaccharide/D-galactosamine-induced liver injury in mice. Int. Immunopharmacol. 2014, 23, 523–529. [Google Scholar] [CrossRef] [PubMed]
- Huo, M.; Cui, X.; Xue, J.; Chi, G.; Gao, R.; Deng, X.; Guan, S.; Wei, J.; Soromou, L.W.; Feng, H.; et al. Anti-inflammatory effects of linalool in RAW 264.7 macrophages and lipopolysaccharide-induced lung injury model. J. Surg. Res. 2013, 180, 47–54. [Google Scholar] [CrossRef]
- Choi, Y.Y.; Kim, M.H.; Kim, J.H.; Jung, H.S.; Sohn, Y.; Choi, Y.J.; Hwang, M.K.; Kim, S.H.; Kim, J.; Yang, W.M. Schizonepeta tenuifolia inhibits the development of atopic dermatitis in mice. Phytother. Res. 2013, 27, 1131–1135. [Google Scholar] [CrossRef]
- Brankovic, S.V.; Kitic, D.V.; Radenkovic, M.M.; Veljkovic, S.M.; Golubovic, T.D. Calcium blocking activity as a mechanism of the spasmolytic effect of the essential oil of Calamintha glandulosa Silic on the isolated rat ileum. Gen Physiol. Biophys. 2009, 28, 174–178. [Google Scholar] [PubMed]
- de Sousa, D.P.; Nóbrega, F.F.F.; de Lima, M.R.V.; de Almeida, R.N. Pharmacological activity of (R)-(+)-pulegone, a chemical constituent of essential oils. Z Naturforsch. C J Biosci. 2011, 2011, 353–359. [Google Scholar] [CrossRef]
- Choi, Y.Y.; Kim, M.H.; Lee, H.; Jo, S.Y.; Yang, W.M. (R)-(+)-pulegone suppresses allergic and inflammation responses on 2,4-dinitrochlorobenzene-induced atopic dermatitis in mice model. J. Dermatol. Sci. 2018, 91, 292–300. [Google Scholar] [CrossRef]
- Yang, Q.; Luo, J.; Lv, H.; Wen, T.; Shi, B.; Liu, X.; Zeng, N. Pulegone inhibits inflammation via suppression of NLRP3 inflammasome and reducing cytokine production in mice. Immunopharmacol. Immunotoxicol. 2019, 41, 420–427. [Google Scholar] [CrossRef]
- Yang, Q.; Liu, Q.; Lv, H.; Wang, F.; Liu, R.; Zeng, N. Effect of pulegone on the NLPR3 inflammasome during inflammatory activation of THP-1 cells. Exp. Ther. Med. 2020, 19, 1304–1312. [Google Scholar] [CrossRef] [PubMed]
- Shen, C.-Y.; Lin, J.-J.; Jiang, J.-G.; Wang, T.-X.; Zhu, W. Potential roles of dietary flavonoids from Citrus aurantium L. var. amara Engl. in atherosclerosis development. Food Funct. 2020, 11, 561–571. [Google Scholar] [PubMed]
- Shen, C.Y.; Yang, L.; Jiang, J.G.; Zheng, C.Y.; Zhu, W. Immune enhancement effects and extraction optimization of polysaccharides from Citrus aurantium L. var. amara Engl. Food Funct. 2017, 8, 796–807. [Google Scholar] [CrossRef]
- Jiang, M.-H.; Yang, L.; Zhu, L.; Piao, J.-H.; Jiang, J.-G. Comparative GC/MS analysis of essential oils extracted by 3 methods from the bud of Citrus aurantium L. var. amara Engl. J. Food Sci. 2011, 76, 1219–1225. [Google Scholar]
- Liu, T.; Liu, T.; Zhang, L.; Joo, D.; Sun, S.C. NF-κB signaling in inflammation. Signal Transduct. Target Ther. 2017, 2, 17023. [Google Scholar] [CrossRef] [PubMed]
- Castillo, R.M.; Stashenko, E.; Duque, J.E. Insecticidal and Repellent Activity of Several Plant-Derived Essential Oils Against Aedes aegypti. J. Am. Mosq. Control Assoc. 2017, 1, 25–35. [Google Scholar] [CrossRef] [PubMed]
- Tolba, H.; Moghrani, H.; Benelmouffok, A.; Kellou, D.; Maachi, R. Essential oil of Algerian Eucalyptus citriodora: Chemical composition, antifungal activity. J. Mycol. Med. 2015, 25, 128–133. [Google Scholar] [CrossRef]
- Silva, J.; Abebe, W.; Sousa, S.M.; Duarte, V.G.; Machado, M.I.L.; Matos, F.J.A. Analgesic and anti-inflammatory effects of essential oils of Eucalyptus. J. Ethnopharmacol. 2003, 89, 277–283. [Google Scholar] [CrossRef]
- Ho, C.-L.; Li, L.-H.; Weng, Y.-C.; Hua, K.-F.; Ju, T.-C. Eucalyptus essential oils inhibit the lipopolysaccharide-induced inflammatory response in RAW264.7 macrophages through reducing MAPK and NF-κB pathways. BMC Complement Med. Ther. 2020, 20, 200. [Google Scholar] [CrossRef]
- Bastaki, S.M.; Adeghate, E.; Amir, N.; Ojha, S.; Oz, M. Menthol inhibits oxidative stress and inflammation in acetic acid-induced colitis in rat colonic mucosa. Am. J. Transl. Res. 2018, 10, 4210–4222. [Google Scholar]
- Liu, Z.; Shen, C.; Tao, Y.; Wang, S.; Wei, Z.; Cao, Y.; Wu, H.; Fan, F.; Lin, C.; Shan, Y.; et al. Chemopreventive efficacy of menthol on carcinogen-induced cutaneous carcinoma through inhibition of inflammation and oxidative stress in mice. Food Chem. Toxicol. 2015, 82, 12–18. [Google Scholar] [CrossRef]
- Shahid, M.; Lee, M.Y.; Yeon, A.; Cho, E.; Sairam, V.; Valdiviez, L.; You, S.; Kim, J. Menthol, a unique urinary volatile compound, is associated with chronic inflammation in interstitial cystitis. Sci. Rep. 2018, 8, 10859. [Google Scholar] [CrossRef] [PubMed]
- Sun, W.; Yang, G.; Zhang, F.; Feng, C.; Liang, M.; Jia, P.; Zhao, Z.; Guo, H.; Zhao, Y. Effects of Artemisia annua L. Essential Oil on Osteoclast Differentiation and Function Induced by RANKL. Evid. Based Complement. Altern. Med. 2022, 2022, 1322957. [Google Scholar]
- Silveira e Sá, R.C.; Andrade, L.N.; Sousa, D.P. A review on anti-inflammatory activity of monoterpenes. Molecules 2013, 18, 1227–1254. [Google Scholar] [CrossRef] [PubMed]
- Neurath, M.F. Cytokines in inflammatory bowel disease. Nat. Rev. Immunol. 2014, 14, 329–342. [Google Scholar] [CrossRef] [PubMed]
- Odenwald, M.A.; Turner, J.R. The intestinal epithelial barrier: A therapeutic target? Nat. Rev. Gastroenterol. Hepatol. 2017, 14, 9–21. [Google Scholar] [CrossRef]
- Zhang, M.; Wang, J.; Zhu, L.; Li, T.; Jiang, W.; Zhou, J.; Peng, W.; Wu, C. Zanthoxylum bungeanum Maxim. (Rutaceae): A Systematic Review of Its Traditional Uses, Botany, Phytochemistry, Pharmacology, Pharmacokinetics, and Toxicology. Int. J. Mol. Sci. 2017, 18, 2172. [Google Scholar] [CrossRef] [PubMed]
- Parente, M.S.R.; Custódio, F.R.; Cardoso, N.A.; Lima, M.J.A.; Melo, T.S.d.; Linhares, M.I.; Siqueira, R.M.P.; Nascimento, A.Á.d.; Catunda Júnior, F.E.A.; Melo, C.T.V.d. Antidepressant-Like Effect of Lippia sidoides CHAM (Verbenaceae) Essential Oil and Its Major Compound Thymol in Mice. Sci. Pharm. 2018, 86, 27. [Google Scholar] [CrossRef]
- Barbosa, R.; Cruz-Mendes, Y.; Silva-Alves, K.S.; Ferreira-da-Silva, F.W.; Ribeiro, N.M.; Morais, L.P.; Leal-Cardoso, J.H. Effects of Lippia sidoides essential oil, thymol, p-cymene, myrcene and caryophyllene on rat sciatic nerve excitability. Braz. J. Med. Biol. Res. 2017, 50, e6351. [Google Scholar] [CrossRef]
- Morais, S.M.; Vila-Nova, N.S.; Bevilaqua, C.M.L.; Rondon, F.C.; Lobo, C.H.; Moura, A.A.A.N.; Sales, A.D.; Rodrigues, A.P.R.; Figuereido, J.R.; Campello, C.C.; et al. Thymol and eugenol derivatives as potential antileishmanial agents. Bioorg. Med. Chem. 2014, 22, 6250–6255. [Google Scholar] [CrossRef] [PubMed]
- Omonijo, F.A.; Liu, S.; Hui, Q.; Zhang, H.; Lahaye, L.; Bodin, J.-C.; Gong, J.; Nyachoti, M.; Yang, C. Thymol Improves Barrier Function and Attenuates Inflammatory Responses in Porcine Intestinal Epithelial Cells during Lipopolysaccharide (LPS)-Induced Inflammation. J. Agric. Food Chem. 2019, 67, 615–624. [Google Scholar] [CrossRef] [PubMed]
- Mendes SS, Bomfim RR, Jesus HC; et al. Evaluation of the analgesic and anti-inflammatory effects of the essential oil of Lippia gracilis leaves. J. Ethnopharmacol. 2010, 129, 391–397. [CrossRef] [PubMed]
- Pandur, E.; Micalizzi, G.; Mondello, L.; Horváth, A.; Sipos, K.; Horváth, G. Antioxidant and Anti-Inflammatory Effects of Thyme (Thymus vulgaris L.) Essential Oils Prepared at Different Plant Phenophases on Pseudomonas aeruginosa LPS-Activated THP-1 Macrophages. Antioxidants 2022, 11, 1330. [Google Scholar] [CrossRef] [PubMed]
Disclaimer/Publisher’s Note: The statements, opinions and data contained in all publications are solely those of the individual author(s) and contributor(s) and not of MDPI and/or the editor(s). MDPI and/or the editor(s) disclaim responsibility for any injury to people or property resulting from any ideas, methods, instructions or products referred to in the content. |
© 2023 by the authors. Licensee MDPI, Basel, Switzerland. This article is an open access article distributed under the terms and conditions of the Creative Commons Attribution (CC BY) license (https://creativecommons.org/licenses/by/4.0/).






