Abstract
In the agricultural industry, the post-harvest leafy vegetable quality and shelf life significantly influence market value and consumer acceptability. This study examined the effects of different storage temperatures on leaf senescence, nitrogen assimilation, and remobilization in Pak Choi (Brassica rapa subsp. chinensis). Mature Pak Choi plants were harvested and stored at two different temperatures, 4 °C and 25 °C. Senescence was tracked via chlorophyll content and leaf yellowing. Concurrently, alterations in the total nitrogen, nitrate, and protein content were quantified on days 0, 3, 6, and 9 in old, mid, and young leaves of Pak Choi plants. As expected, 4 °C alleviated chlorophyll degradation and delayed senescence of Pak Choi compared to 25 °C. Total nitrogen and protein contents were inversely correlated, while the nitrate content remained nearly constant across leaf groups at 25 °C. Additionally, the transcript levels of genes involved in nitrogen assimilation and remobilization revealed key candidate genes that were differentially expressed between 4 °C and 25 °C, which might be targeted to extend the shelf life of the leafy vegetables. Thus, this study provides pivotal insights into the molecular and physiological responses of Pak Choi to post-harvest storage conditions.
1. Introduction
Nitrogen (N) functions as a primary nutrient and serves a critical role in the life cycle of plants. It is essential for standard plant growth, development, and stress responses [1]. N is predominantly absorbed by roots in the form of nitrate and ammonium ions [2]. During the vegetative stage, plant leaves act as a N sink and temporarily store N in their vacuoles, whereas, during leaf senescence, stored N is remobilized and reutilized for the growth of younger tissues [3,4]. N is one of the most important elements mobilized during leaf senescence, with its concentration reduced by up to 80% in senescent leaves [5].
Leaf senescence is the final phase of leaf development and is characterized by the loss of chlorophyll, leaf yellowing, and degradation of chloroplast proteins [6]. Since chloroplasts contain 70% of leaf N, amino acids and nucleic acids released by their degradation are also the main sources of N remobilization [7,8]. Several nitrate transporters, ammonium transporters, and amino acid transporters are upregulated during leaf senescence [3]. While the aap2, aap3, and aap8 mutants of amino acid transporter genes exhibited delayed leaf senescence [9,10,11], the overexpression of NRT1.1/NPF6.3 led to delayed leaf yellowing under N-deficient conditions [12]. While there is abundant research covering the role of N uptake, assimilation, and remobilization in natural leaf senescence, knowledge about the same during post-harvest leaf senescence remains vastly undiscovered. Uncovering the role of N assimilation and remobilization during post-harvest leaf senescence might prove useful for improving the post-harvest quality and shelf life of leafy vegetables.
Leafy vegetables are highly perishable products and undergo significant nutritional loss during post-harvest storage. A comprehensive examination of the nutrient composition and visual quality of lettuce during post-harvest storage revealed a remarkable decrease in bioactive and antioxidant compounds, accompanied by deteriorated visual appeal [13]. Thus far, a few approaches have been reported to boost the quality and shelf life of post-harvest leafy vegetables. Low O2 with high CO2 treatment enhanced carotenoid content without compromising the visual quality of lettuce, spinach, and corn salad [14]. In another study, supplemental blue light boosted the production of secondary metabolites, while red light effectively preserved phytochemicals in baby-leaf lettuce [15]. Exogenous melatonin treatment delayed postharvest senescence of broccoli, cabbage, and baby mustard [16,17,18]. Interestingly, increasing the concentration of abscisic acid or its partial agonist pyrabactin from the beginning of the post-harvest period could also effectively slow down the senescence of the stored leaves [19].
Pak Choi (Brassica rapa subsp. chinensis) is one of the most important leafy vegetables in China and represents 30–40% of the total vegetable consumption [20]. This fast-growing leafy vegetable is rich in various minerals and vitamins, including fiber, iron, calcium, and vitamin A. Beyond its high nutritional content, Pak Choi is esteemed for its mild flavor and versatility. Its economic significance is only growing due to its surging popularity in Europe and the Midwest in recent years. However, post-harvest loss poses a significant challenge for Pak Choi farmers. Similar to other leafy vegetables, prolonging the shelf life and preserving the quality of harvested Pak Choi is challenging, as its leaves lose water and turn yellow during post-harvest storage, making it unmarketable. Techniques that can mitigate post-harvest leaf senescence will improve the shelf life of Pak Choi, reducing economic losses.
Hence, the primary objective of this study was to understand the status of N assimilation and remobilization during the post-harvest leaf senescence in Pak Choi. By investigating this crucial aspect of plant nutrient dynamics, we aim to fill the current knowledge gap and its potential implications for plant biology and the food industry.
2. Materials and Methods
2.1. Plant Material and Growth Conditions
Seeds of Pak Choi (Brassica rapa subsp. chinensis) were sterilized and sown on an agar medium containing Murashige and Skoog (MS) basal salts, 1% (w/v) sucrose, and 2.5 mM MES (Sigma-Aldrich, St. Louis, MO, USA), pH 5.6. After undergoing imbibition at 4 °C in the dark for 2 days, seedlings were germinated in a tissue culture chamber at 22 °C with 60% relative humidity under 16 h light/8 h dark condition (100 µmol·m−2·s−1 light intensity). After 7 days, 42 seedlings were transplanted to seven hydroponic trays, each containing 3 L of Hoagland’s solution, and were placed in a growth chamber at 22 °C with 60% relative humidity under 16 h light/8 h dark condition (100 µmol·m−2·s−1 light intensity). The nutrient solution was renewed every 4 days.
2.2. Analysis of Post-Harvest Leaf Senescence
After 4 weeks, six plants were first harvested (day 0, D0). Twelve leaves from each plant were grouped as old (leaves 1–4; from bottom), mid (leaves 5–8), and young (leaves 9–12) and used for all assays. The four leaves in each group were arranged on top of each other, and leaf discs were punched out and frozen in liquid nitrogen for qPCR analysis. Similarly, leaf discs were taken from multiple locations for total chlorophyll, nitrate, and total protein assays from old, mid, and young leaves. Leaf discs made from the four leaves were pooled as a single replicate. The remains of the leaves from each group were dried in individual glass beakers at 65 °C for total N analysis.
Next, the remaining 36 plants were harvested, divided into two groups, and then stored under darkness at 4 °C and 25 °C, as shown in Figure 1A. On day 3 (D3), day 6 (D6), and day 9 (D9), six plants were retrieved from 4 °C and 25 °C and imaged, and the leaves were processed as described above for various analysis.
Figure 1.
Effect of the post-harvest storage temperature on leaf senescence in Pak Choi. (A) A flowchart describing the post-harvest dark treatment conditions and durations. The images
,
, and
indicate imaging, harvesting, and freezing of plant/leaf samples, respectively. (B) Morphological phenotype of the Pak Choi plants on the harvesting day (D0) and on day 3 (D3), day 6 (D6), and day 9 (D9) after storage at 4 °C and 25 °C under dark conditions. Plants stored at 4 °C showed a delayed dark-induced senescence and remained green. Scale bar, 10 cm. (C) Images (top) and total chlorophyll content (bottom) of the leaves categorized as old (leaves 1–4), mid (leaves 5–8), and young (leaves 7–12) on D0, D3, D6, and D9. Scale bars, 5 cm. The treatments were carried out thrice, and the representative images from these three independent experiments are shown. For total chlorophyll analysis, data are mean ± SD, n = 6. The statistical significance of the 4 °C treatment compared to the 25 °C treatment was determined by a two-tailed t-test (* p < 0.05, ** p < 0.01, and *** p < 0.001). The p-values are given in Supplementary Table S2.
,
, and
indicate imaging, harvesting, and freezing of plant/leaf samples, respectively. (B) Morphological phenotype of the Pak Choi plants on the harvesting day (D0) and on day 3 (D3), day 6 (D6), and day 9 (D9) after storage at 4 °C and 25 °C under dark conditions. Plants stored at 4 °C showed a delayed dark-induced senescence and remained green. Scale bar, 10 cm. (C) Images (top) and total chlorophyll content (bottom) of the leaves categorized as old (leaves 1–4), mid (leaves 5–8), and young (leaves 7–12) on D0, D3, D6, and D9. Scale bars, 5 cm. The treatments were carried out thrice, and the representative images from these three independent experiments are shown. For total chlorophyll analysis, data are mean ± SD, n = 6. The statistical significance of the 4 °C treatment compared to the 25 °C treatment was determined by a two-tailed t-test (* p < 0.05, ** p < 0.01, and *** p < 0.001). The p-values are given in Supplementary Table S2.
2.3. Determination of Total Chlorophyll Content
The total chlorophyll content in the leaves was determined as described previously [21,22]. Infrared autofluorescence was acquired from three locations on the old, mid, and young leaves of plants treated at 4 °C and 25 °C on D9. Autofluorescence was excited with an 830 nm laser and acquired from 860 to 970 nm—these wavelengths are too long for absorption or emission of either chlorophyll a or b [23]. We find that there is an inverse correlation between the infrared autofluorescence and chlorophyll, suggesting that this autofluorescence arises from chlorophyll degradation products. The data were preprocessed and analyzed using Python—the spectra presented are 5th polynomial fits to the acquired spectra.
2.4. Determination of Total Nitrogen Content
For the measurement of total N content, we used the organic elemental analyzer vario EL cube (Elementar, Langenselbold, Germany). Briefly, the old, mid, and young leaves were dried at 65 °C and ground into a fine powder, and the analysis was based on combustion, during which the samples generated gases like CO2, H2O, NO2, SO2, etc. These gases were then absorbed and separated using chromatography columns and analyzed with thermal conductivity detectors.
2.5. Determination of Nitrate Content
The nitrate content in the leaves was measured using the method described previously [21,24].
2.6. Determination of Total Protein Content
To determine the total protein contents, the leaves were ground in liquid nitrogen into a fine powder, dissolved in a lysis buffer (50 mM Tris-HCl pH 8.0, 150 mM NaCl, 1% NP-40, protease inhibitor cocktail), and incubated on ice for 30 min. The tubes were then centrifuged at 14,000 rpm, 4 °C for 10 min; the supernatant was mixed with Bradford solution (Bio-Rad, Hercules, CA, USA); and the absorbance was recorded at 595 nm. The standard curve constructed using known concentrations of bovine serum albumin was used to calculate the total amount of protein in samples.
2.7. RNA Isolation and Quantitative Real-Time PCR Analysis
The total RNA of Pak Choi leaves was extracted using the FavorPrepTM Plant Total RNA Purification Kit (Favorgen, Ping Tung, Taiwan) according to the manufacturer’s instructions. RNA samples were prepared DNA-free, and the quality was evaluated using an Agilent 2100 Bioanalyzer (Agilent Technologies, Santa Clara, CA, USA). RNA with an RIN value of >7.0 was then reverse transcribed to cDNA, using the iScript™ cDNA Synthesis Supermix (Bio-Rad, Hercules, CA, USA), following the manufacturer’s instructions. PCR primers were designed using Primer3, and qRT-PCR was performed using a Bio-Rad CFX96 Connect real-time PCR instrument and SsoAdvanced Universal SYBR Green Supermix (Bio-Rad, Hercules, CA, USA). Actin was used as the control. Primers are listed in Supplementary Table S1. Old leaves from plants stored at 25 °C for 9 days (D9) were omitted from the qRT-PCR assay, as the RIN values were always much lesser than 7.0.
2.8. Statistical Analysis
All results were expressed as the mean ± standard deviation (SD). Six biological replicates and three technical replicates were used for all experiments. The statistical analysis was performed using a two-tailed t-test in Microsoft Excel.
3. Results and Discussion
3.1. Effect of Post-Harvest Storage Temperature on Leaf Senescence
Leaf senescence is a critical developmental sequence in plants, as it is aligned with their resource management strategies. Plants have evolved to adopt programmed cell death and senescence to handle unpredictable nutrient shortages. Leaf senescence particularly focuses on the elimination of inefficient and aging photosynthetic organs, which constitute the plant’s nutrient storage [25,26,27]. The orchestration of this process responds to the plant’s source/sink needs and integrates growth hormones, nutrient recognition, and stress response networks.
The storage temperature plays a huge role in maintaining the quality of the leafy vegetables, which are highly perishable. The optimal temperature to achieve the best shelf life for many perishable produces is approximately 0 °C, and every 10 °C increase decreases the shelf life by 2-to-3-fold. In strawberries, low temperature storage delayed leaf aging and prolonged shelf life [28]. The effect of two post-harvest storage temperatures, 4 °C and 25 °C, on leaf senescence over time is illustrated with data in Pak Choi plants (Figure 1B,C). At 25 °C, the senescence rate was much higher than at 4 °C. The old leaves showed yellowing on D3 and by D9, and all but the youngest leaves were completely yellow. The old leaves were partially degraded on D9 at 25 °C. On the other hand, the plants stored at 4 °C exhibited delayed senescence and remained green, except for the few old leaves that showed signs of yellowing on D9 (Figure 1B,C). The chlorophyll analysis and the infrared autofluorescence measurements correlated with the morphological phenotype in that the total chlorophyll content decreased rapidly with time in plants stored at 25 °C (Figure 1C and Supplementary Figure S1). Contrastingly, the chlorophyll content was significantly higher even on D9 in plants stored at 4 °C compared to those stored at 25 °C (Figure 1C). In summary, the cold temperature delayed senescence and preserved the visual and textural quality of the Pak Choi plants.
3.2. Effect of Post-Harvest Storage Temperature on Total Nitrogen, Nitrate, and Protein Content in Leaves
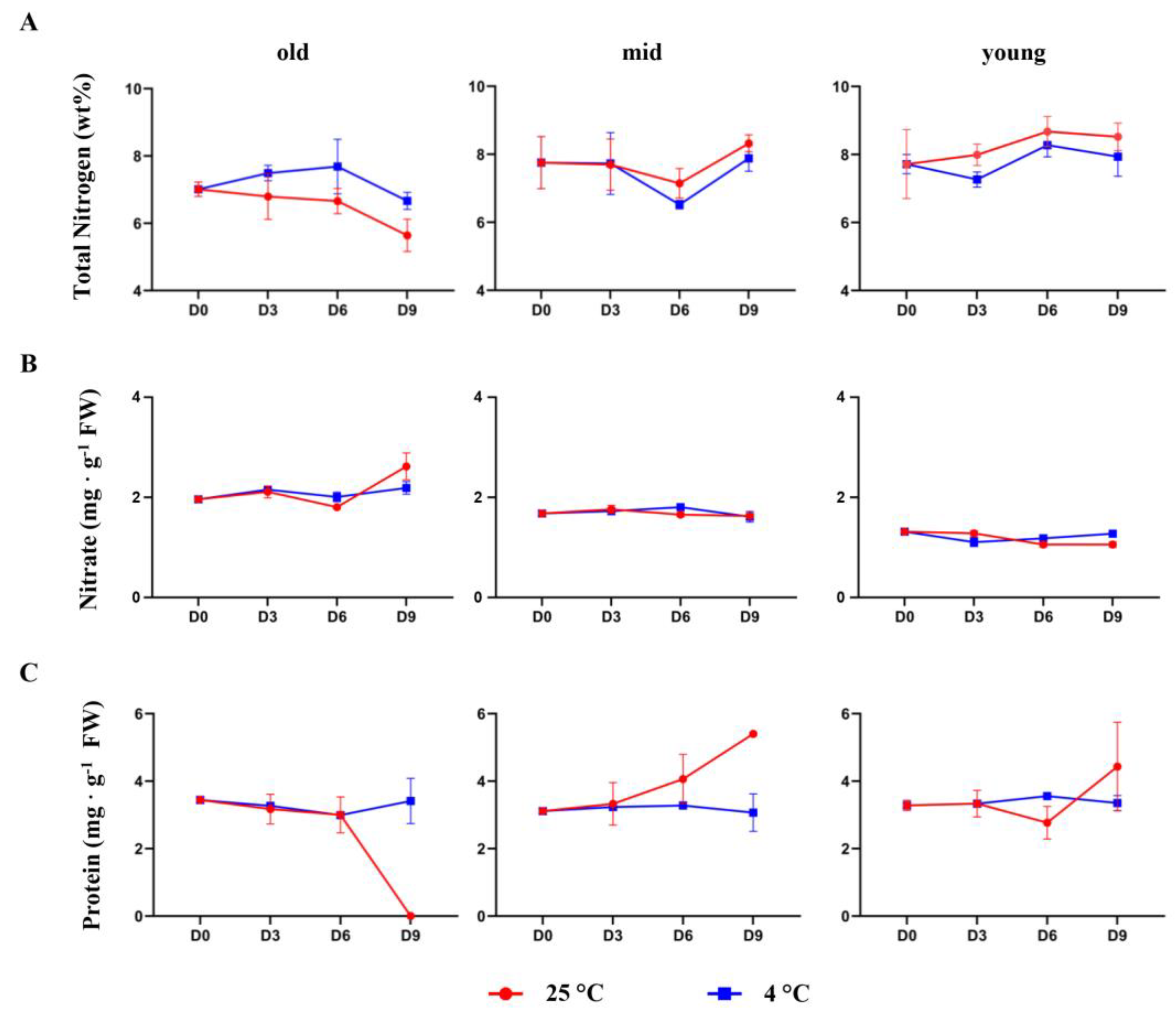
N stands out as a pivotal element that is remobilized in massive quantities during natural senescence [5]. To understand more about N assimilation and remobilization during post-harvest leaf senescence, we checked the levels of total nitrogen, nitrate, and protein content in old, mid, and young leaves of Pak Choi plants on D0 and on D3, D6, and D9 after storage at 4 °C and 25 °C. In the old leaves of plants stored at 25 °C, the total N content decreased persistently with time (Figure 2A). Inversely, in the young leaves of the same plants, the total N content increased until D6 and remained high on D9. In the middle leaves, the levels of total N remained nearly constant throughout the study period. Consistent with the lack of leaf senescence and obviating the need for N remobilization, the reverse trend could be observed in plants stored at 4 °C - the total N content increased in the old leaves with time. On D9 of 4 °C storage, the total N content in the old leaves showed signs of decreasing, which might be indicative of the initiation of leaf senescence (Figure 2A).
Figure 2.
Effect of the post-harvest storage temperature on total nitrogen, nitrate, and protein contents in Pak Choi leaves. Total nitrogen content (A), nitrate content (B), and protein content (C) in old (leaves 1–4), mid (leaves 5–8), and young (leaves 8–12) leaves were analyzed on the harvesting day (D0) and on day 3 (D3), day 6 (D6), and day 9 (D9) after storage at 4 °C and 25 °C under dark conditions. Data are mean ± SD, n = 6. The statistical significance of the 4 °C treatment compared to the 25 °C treatment was determined by a two-tailed t-test, and the p-values are given in Supplementary Table S3.
The N remobilization from senescing leaves depends, to an uncertain extent, on inorganic N molecules such as nitrate, ammonium, and urea [29]. The role of these inorganic forms is contingent on the feeding patterns of the plants and their storage of inorganic N in vegetative parts prior to senescing. To understand if the changes in the total N content were brought about by nitrate remobilization, we measured the total nitrate content at different leaf positions and time points. The results revealed that the post-harvest storage temperature did not affect the nitrate content in the leaves, suggesting the absence of nitrate ion remobilization (Figure 2B).
During leaf senescence, chloroplasts and proteins degrade, releasing nutrients like sugars, lipids, and amino acids, which are then remobilized. Previous studies have identified specific amino acids, notably glutamine, serine, asparagine, glutamate, and aspartate, as predominant in phloem sap; however, variations may occur depending on the plant species [30,31,32,33]. To investigate if amino acid transport facilitated the changes in the total N content in Pak Choi leaves, we measured the total protein content in the different leaf groups on different days. Notably, in plants stored at 25 °C, the old leaves exhibited a marked decrease in protein content, possibly linked to chloroplast protein degradation (Figure 2C). A decrease in protein content is not unique to senescing Pak Choi leaves; in fact, a similar study in strawberries reported that the storage of post-harvest fruits at a high temperature decreased the protein content, thus impairing their photosynthetic ability [28]. Interestingly, in plants stored at 25 °C, the total protein content in the middle leaves began to increase steadily from D3, while, in the young leaves, it showed an increase on D9. It is important to note that the total protein content remained unchanged across all leaves on all days in plants stored at 4 °C (Figure 2C), reinforcing the notion of negligible chloroplast breakdown and, therefore, delayed senescence.
3.3. Effect of Post-Harvest Storage Temperature on Transcript Levels of Genes Involved in Nitrogen Assimilation
Once nitrate transporters import nitrate ions from roots, nitrate reductases convert these ions into nitrite ions, which are then converted into ammonium ions by nitrite reductases. Since these genes play a critical role in N assimilation in plants, we examined their transcript levels via qRT-PCR. It is important to note that the old leaves from plants that were stored at 25 °C for 9 days (D9 old) were not included in the qRT-PCR study, as the quality of the RNA isolated from those samples was poor. Differentially expressed genes between 4 °C and 25 °C are shown in Figure 3. Upon analyzing the expression of nitrate reductases and nitrite reductases, we observed that the nitrate reductase NIA1 was highly expressed in the old and mid leaves on D0. However, its transcripts were completely suppressed in all leaves stored at 25 °C from D3 (Figure 3). In contrast, a delay in the suppression of NIA1 transcripts was detected in plants stored at 4 °C. Interestingly, NIA2 was not expressed on D0, but its expression began to increase gradually in old leaves stored at 25 °C on both D3 and D6. It is important to note that, in Arabidopsis, of the two NIA genes, NIA1 was highly upregulated and NIA2 remained unchanged during natural leaf senescence [34], whereas, in post-harvest senescent Pak Choi leaves, the mRNA levels of NIA1 were found to be decreased, and mRNA levels of NIA2 were increased.
Figure 3.
Effect of the post-harvest storage temperature on transcript levels of genes involved in nitrogen assimilation in Pak Choi leaves. Transcript levels of genes involved in N assimilation in old (leaves 1–4), mid (leaves 5–8), and young (leaves 8–12) leaves were analyzed on the harvesting day (D0) and on day 3 (D3), day 6 (D6), and day 9 (D9) after storage at 4 °C and 25 °C under dark conditions. The transcript levels shown are relative to the mRNA levels of Actin. Data are mean ± SD, n = 6. The statistical significance of the 4 °C treatment compared to the 25 °C treatment was determined by a two-tailed t-test, and the p-values are given in Supplementary Table S4.
During natural senescence, nitrite reductase NiR was found to be downregulated in Arabidopsis [34]. In Pak Choi, NiR transcripts were detected in the old leaves on D0 but were found reduced upon storage at 4 °C, similar to Arabidopsis natural senescence. However, at 25 °C storage, the expression levels of NiR increased from D6 in both old and mid leaves (Figure 3).
Glutamine and asparagine, both containing two N atoms per molecule, are the favored export forms in plants. In young leaves, glutamine is primarily synthesized within the chloroplast by glutamine synthetase (GS2) and ferredoxin-dependent glutamate synthase (FD-GOGAT). However, as chloroplasts degrade during leaf senescence, the localization of glutamine synthetase shifts, with GS activity transitioning to the cytosol, where GS1 compensates for the reduced GS2 activity [29,35]. When we investigated the mRNA levels of glutamate synthases and glutamine synthetases, we observed contrasting patterns. Specifically, NADH-GOGAT, which usually participates in ammonium assimilation in roots [36], was not expressed on D0, and it showed slight induction in old leaves during storage, whereas FD-GOGAT was highly expressed in the mid and young leaves on D0, but its transcript levels decreased during storage at both 4 °C and 25 °C (Figure 3). The mRNA levels of the chloroplastic GS2/GLNAC were interesting, as chloroplastic GS2/GLNAC was already absent in the old leaves stored at 25 °C on D3, indicating the onset of senescence and degradation of chloroplast proteins. In contrast, these transcripts were undetected only on D6 in the old leaves stored at 4 °C (Figure 3). Additionally, GLNAC was induced in the young leaves during post-harvest storage at both 4 °C and 25 °C. These results showed that the expression patterns of NADH-GOGAT, FD-GOGAT, and GNLAC during post-harvest leaf senescence in Pak Choi were analogous to their expression patterns during natural senescence in Arabidopsis [34].
Although Arabidopsis cytosolic glutamine synthetases were upregulated during natural senescence [34], transcripts of Pak Choi GS1/GLN1-3.1 were found in low levels in the old leaves on D0 and were completely suppressed upon post-harvest storage at both 4 °C and 25 °C (Figure 3). While transcripts of GLN1-3.2 were not detected on D0, transcripts of GLN1-3.3 were detected in the young leaves of D0 samples. Interestingly, both GLN1-3.2 and GLN1-3.3 showed increased mRNA levels in the old leaves of plants stored at 25 °C but not at 4 °C. This suggests the potential involvement of these genes in the remobilization of glutamine and asparagine during post-harvest leaf senescence.
3.4. Effect of Post-Harvest Storage Temperature on Expression of Genes Involved in Nitrogen Remobilization
The nitrate transporters NRT1.1, NRT1.5, NRT1.6, and NRT2.5 were upregulated, and NRT1.11, NRT1.12, and NPF5.10 were downregulated, during natural senescence in Arabidopsis [34]. Among these genes, only transcripts of NRT1.1 were found in Pak Choi leaves during post-harvest senescence. High levels of NRT1.1 mRNA were detected in the D0 leaf samples. However, its transcript levels dropped drastically from D3 to D9 samples at both 4 °C and 25 °C (Figure 4A). This suggests that NRT1.1 plays a role in importing nitrate ions from the roots to the shoots under pre-harvest conditions but becomes inactivated in leaf samples post-harvest. The advanced understanding of nitrate signaling pathways has revealed that master transcription factors active downstream of NRT1.1, involved in the regulation of crucial nitrate-responsive genes like NIA, NiR, and NRT2.1 [37]. In our study, the mRNA levels of NRT1.1 correlates with that of the nitrate reductase NIA1 and the nitrite reductase NiR only on D0. This implies that NRT1.1 might not regulate nitrate-responsive genes during post-harvest leaf senescence (Figure 3 and Figure 4A).
Figure 4.
Effect of the post-harvest storage temperature on transcript levels of genes involved in nitrogen remobilization in Pak Choi leaves. Transcript levels of genes involved in N remobilization in old (leaves 1–4), mid (leaves 5–8), and young (leaves 8–12) leaves were analyzed on the harvesting day (D0) and on day 3 (D3), day 6 (D6), and day 9 (D9) after storage at 4 °C and 25 °C under dark conditions. The expression levels shown are relative to the expression of Actin. Data are mean ± SD, n = 6. The statistical significance of the 4 °C treatment compared to the 25 °C treatment was determined by a two-tailed t-test and the p-values are given in Supplementary Table S5.
On the other hand, NRT1.2 had a low expression in D0 samples and in all samples stored at 4 °C. But in samples stored at 25 °C, its expression was significantly induced by D9, as shown in Figure 4A. Once again, the mRNA levels of NRT1.2 under post-harvest conditions were different from natural senescence, where it was unaffected [34]. Furthermore, NRT2.6 and NRT3.1 were differentially expressed in senescing leaves (Figure 4A). While NRT2.6 has been shown to mediate nitrate transport in Xenopus oocytes [38], its specific functions in planta remain undefined. An association between AtNRT2.6 activity and the production of reactive oxygen species has been observed in response to the redox-active herbicide methyl viologen, hinting at potential stress-related roles [39]. In plants stored at 25 °C, mRNAs of NRT2.6 and NRT3.1.1 were not detected on D0, but in post-harvest plants, they were exclusively induced in the old leaves on D3 and D6 (Figure 4A). However, NRT3.1.2 showed a high expression in D0 samples, and their transcript levels were drastically reduced upon storage at both 4 °C and 25 °C (Figure 4A). Unlike natural senescence conditions, a key common observation under post-harvest conditions is that most nitrate transporters are deactivated, which might be attributed to the absence of the remobilization of the nitrate ion.
Along with nitrate ions, ammonium ions are also thought to be remobilized during natural leaf senescence with the aid of ammonium transporters. AMT1.5 has been shown to be expressed in senescing leaves [3]. When we examined the ammonium transporters in post-harvest leaves, transcripts of AMT1.5 were not detected in Pak Choi leaves. Instead, mRNAs of AMT1.1 and AMT2 were found highly in all leaves on D0. Even though their levels remained high in samples stored at 4 °C on D3, transcript levels of AMT1.1 and AMT2 decreased drastically in plants stored at 25 °C. By D6 and D9, the mRNAs of AMT1.1 and AMT2 were extremely less in all samples (Figure 4B), suggesting that the ammonium ions might not be remobilized during post-harvest leaf senescence in Pak Choi. The reduction in the mRNA levels of AMT1.1 and AMT2 in Pak Choi during post-harvest leaf senescence is different from that of the Arabidopsis study, where they remained unchanged during natural senescence [34].
Despite inorganic nitrogen’s role in source/sink remobilization, the extent of its contribution remains ambiguous. Given the relative scarcity of nitrate and ammonium compared to protein N sources, the major remobilization might involve proteolysis, amino acid interconversions, and translocation to the phloem sap [32,40]. An interesting observation concerns the upregulation of several AAP amino acid permeases during senescence, notably AAP2 and AAP8, both of which have been associated with source/sink N remobilization [10,41]. Arabidopsis mutants lacking the aap2 gene manifested altered developmental traits, such as delayed leaf senescence and increased seed yield, although with modified N and fatty acid content, indicating the control of sink/source relations by AtAAP2 [10]. AAP8 is particularly important in N transfer to seeds, with alterations in leaf N pools in aap8 mutants resulting in reduced silique and seed numbers [9]. Surprisingly, the Arabidopsis orthologs of AAP2 and AAP8 were not found in Pak Choi leaves during post-harvest storage. This raises questions whether these AAP amino acid permeases function exclusively during natural leaf senescence. In contrast, transcript levels of three amino acid transporters, ANT1, CAT3, and YPQ3, increased in Pak Choi leaves during post-harvest senescence (Figure 4C). The AAP amino acid permease ANT1 and cationic amino acid transporter CAT3 were induced in old leaves starting from D3 at 25 °C and from D6 upon storage at 4 °C. ANT1 and CAT3 have also been reported to be expressed during natural leaf senescence in Arabidopsis [34]. Interestingly, the probable vacuolar amino acid transporter gene YPQ3, which remains functionally uncharacterized in planta, emerged as the most induced gene in young leaves on D3 and D6 when stored at 4 °C and 25 °C, respectively (Figure 4C). A more comprehensive functional characterization of YPQ3 might unveil its role in the remobilization of amino acids during post-harvest leaf senescence.
3.5. Effect of Post-Harvest Storage Temperature on NLA and SIZ1—Regulators of Nitrogen-Dependent Leaf Senescence
Previous studies reported that an E3 ubiquitin ligase NITROGEN LIMITATION ADAPTATION (NLA) and an E3 small ubiquitin-related modifier (SUMO) ligase SIZ1 regulate the leaf senescence process under N deficiency and N assimilation, respectively [42,43]. In Arabidopsis, SIZ1 SUMOylated and dramatically increased the activities of NIA1 and NIA2 [42], whereas NLA regulated the stability of ORE1 through polyubiquitination [43].
In Pak Choi, among differentially expressed SIZ1 genes, SIZ1.1 was not detected on D3, whereas SIZ1.2 and SIZ1.3 showed low mRNA levels on the same day (Figure 5). Interestingly, during post-harvest storage, the transcript levels of SIZ1.1 and SIZ1.3 significantly increased in both mid and young leaves at both 4 °C and 25 °C. In contrast, the mRNA levels of SIZ1.2 increased only at 25 °C on D3, and they decreased on the subsequent days and when stored at 4 °C. The qRT-PCR analysis also revealed that the mRNA levels of NLA1 genes were specifically increased in the old leaves stored at 25 °C (Figure 5). This suggests that NLA1 might be involved in a N-dependent regulation during post-harvest leaf senescence.
Figure 5.
Effect of the post-harvest storage temperature on transcript levels of nitrogen-dependent leaf senescence regulators SIZ1 and NLA. Transcript levels of genes involved in regulation of leaf senescence in old (leaves 1–4), mid (leaves 5–8), and young (leaves 8–12) leaves were analyzed on the harvesting day (D0) and on day 3 (D3), day 6 (D6), and day 9 (D9) after storage at 4 °C and 25 °C under dark conditions. The expression levels shown are relative to the expression of Actin. Data are mean ± SD, n = 6. The statistical significance of the 4 °C treatment compared to the 25 °C treatment was determined by a two-tailed t-test, and the p-values are given in Supplementary Table S6.
4. Conclusions
The post-harvest storage temperature exerts a significant influence on leaf senescence, nitrogen content, protein degradation, and gene expression in Pak Choi plants. At a higher storage temperature (25 °C), the rate of senescence is accelerated, marked by the yellowing of leaves and a rapid decrease in chlorophyll content. At a lower temperature (4 °C), however, senescence is delayed, preserving the visual and textural quality of the leaves.
Furthermore, our study illustrated the differential response of total nitrogen, nitrate, and protein content based on storage temperature. N remobilization appeared to be altered by storage conditions, impacting both young and old leaves differently. Key transporters and enzymes involved in N assimilation and remobilization were also impacted by temperature. Intriguingly, certain transporters (e.g., AAP2 and AAP8) found in other species, like Arabidopsis, were absent in Pak Choi under post-harvest conditions, suggesting unique senescence pathways or potential redundancies in Pak Choi. The expression patterns of the nitrate transporters and associated genes, especially under 4 °C storage conditions, highlighted a deactivated nitrate remobilization mechanism, which contrasts with natural senescence conditions.
Given the intricate orchestration of processes, we can expect that optimizing post-harvest storage conditions will significantly extend the shelf life of leafy vegetables, such as Pak Choi. Furthermore, understanding the molecular mechanisms underlying post-harvest senescence can inform agricultural practices and post-harvest management to minimize nutrient loss and maintain product quality. From our observations, it is also anticipated that different leafy vegetables might exhibit unique patterns of N remobilization and protein degradation, which can open avenues for species-specific post-harvest interventions.
Supplementary Materials
The following supporting information can be downloaded at https://www.mdpi.com/article/10.3390/biom13101540/s1, Figure S1: Effect of post-harvest storage temperature on fluorescence intensity in Pak Choi leaves; Table S1: List of primers used in the qRT-PCR; Table S2: The p-value data for Figure 1C; Table S3: The p-value data for Figure 2; Table S4: The p-value data for Figure 3; Table S5: The p-value data for Figure 4; Table S6: The p-value data for Figure 5.
Author Contributions
Conceptualization, B.S.P. and R.J.R.; methodology, S.D., P.K.J., R.J.R. and B.S.P.; investigation, S.D., A.M.X.T., V.S.P., P.K.J. and S.A.A.N.N.; project administration, S.D.; supervision, B.S.P. and R.J.R.; validation, S.D. and P.K.J.; visualization, S.D. and P.K.J.; formal analysis, S.D., V.S.P., A.M.X.T. and P.K.J.; writing—original draft, S.D. and B.S.P.; writing—review and editing, B.S.P. and R.J.R.; funding acquisition, B.S.P. and R.J.R. All authors have read and agreed to the published version of the manuscript.
Funding
This research was supported by the National Research Foundation (NRF), Prime Minister’s Office, Singapore, under its Campus for Research Excellence and Technological Enterprise (CREATE) program. The Disruptive and Sustainable Technologies for Agricultural Precision (DiSTAP) is an interdisciplinary research group (IRG) of the Singapore-MIT Alliance for Research and Technology Centre (SMART) supported by the National Research Foundation (NRF), Prime Minister’s Office, Singapore, under its Campus for Research Excellence and Technological Enterprise (CREATE) program.
Institutional Review Board Statement
Not applicable.
Informed Consent Statement
Not applicable.
Data Availability Statement
All data supporting the findings of this study are available within the paper and its Supplementary Information.
Conflicts of Interest
The authors declare no conflict of interest.
References
- Ye, J.Y.; Tian, W.H.; Jin, C.W. Nitrogen in plants: From nutrition to the modulation of abiotic stress adaptation. Stress Biol. 2022, 2, 4. [Google Scholar] [CrossRef]
- Zayed, O.; Hewedy, O.A.; Abdelmoteleb, A.; Ali, M.; Youssef, M.S.; Roumia, A.F.; Seymour, D.; Yuan, Z.-C. Nitrogen Journey in Plants: From Uptake to Metabolism, Stress Response, and Microbe Interaction. Biomolecules 2023, 13, 1443. [Google Scholar] [CrossRef]
- Havé, M.; Marmagne, A.; Chardon, F.; Masclaux-Daubresse, C. Nitrogen remobilization during leaf senescence: Lessons from Arabidopsis to crops. J. Exp. Bot. 2016, 68, 2513–2529. [Google Scholar] [CrossRef]
- Tegeder, M.; Masclaux-Daubresse, C. Source and sink mechanisms of nitrogen transport and use. New Phytol. 2018, 217, 35–53. [Google Scholar] [CrossRef] [PubMed]
- Himelblau, E.; Amasino, R.M. Nutrients mobilized from leaves of Arabidopsis thaliana during leaf senescence. J. Plant Physiol. 2001, 158, 1317–1323. [Google Scholar] [CrossRef]
- Buet, A.; Costa, M.L.; Martínez, D.E.; Guiamet, J.J. Chloroplast Protein Degradation in Senescing Leaves: Proteases and Lytic Compartments. Front. Plant Sci. 2019, 10, 747. [Google Scholar] [CrossRef] [PubMed]
- Distelfeld, A.; Avni, R.; Fischer, A.M. Senescence, nutrient remobilization, and yield in wheat and barley. J. Exp. Bot. 2014, 65, 3783–3798. [Google Scholar] [CrossRef]
- Izumi, M.; Nakamura, S. Chloroplast Protein Turnover: The Influence of Extraplastidic Processes, Including Autophagy. Int. J. Mol. Sci. 2018, 19, 828. [Google Scholar] [CrossRef] [PubMed]
- Santiago, J.P.; Tegeder, M. Connecting Source with Sink: The Role of Arabidopsis AAP8 in Phloem Loading of Amino Acids. Plant Physiol. 2016, 171, 508–521. [Google Scholar] [CrossRef]
- Zhang, L.; Tan, Q.; Lee, R.; Trethewy, A.; Lee, Y.H.; Tegeder, M. Altered xylem-phloem transfer of amino acids affects metabolism and leads to increased seed yield and oil content in Arabidopsis. Plant Cell 2010, 22, 3603–3620. [Google Scholar] [CrossRef]
- Wei, Q.; Yan, Z.; Xiong, Y.; Fang, Z. Altered Expression of OsAAP3 Influences Rice Lesion Mimic and Leaf Senescence by Regulating Arginine Transport and Nitric Oxide Pathway. Int. J. Mol. Sci. 2021, 22, 2181. [Google Scholar] [CrossRef] [PubMed]
- Sakuraba, Y.; Chaganzhana; Mabuchi, A.; Iba, K.; Yanagisawa, S. Enhanced NRT1.1/NPF6.3 expression in shoots improves growth under nitrogen deficiency stress in Arabidopsis. Commun. Biol. 2021, 4, 256. [Google Scholar] [CrossRef] [PubMed]
- Martínez-Ispizua, E.; Calatayud, A.; Marsal, J.; Basile, F.; Cannata, C.; Abdelkhalik, A.; Soler, S.; Valcárcel, J.; Martínez-Cuenca, M.-R. Postharvest Changes in the Nutritional Properties of Commercial and Traditional Lettuce Varieties in Relation with Overall Visual Quality. Agronomy 2022, 12, 403. [Google Scholar] [CrossRef]
- Esteban, R.; Buezo, J.; Becerril, J.M.; García-Plazaola, J.I. Modified Atmosphere Packaging and Dark/Light Refrigerated Storage in Green Leafy Vegetables Have an Impact on Nutritional Value. Plant Foods Hum. Nutr. 2019, 74, 99–106. [Google Scholar] [CrossRef] [PubMed]
- Vaštakaitė-Kairienė, V.; Kelly, N.; Runkle, E. Regulation of the Photon Spectrum on Growth and Nutritional Attributes of Baby-Leaf Lettuce at Harvest and during Postharvest Storage. Plants 2021, 10, 549. [Google Scholar] [CrossRef] [PubMed]
- Tan, X.-L.; Fan, Z.-Q.; Zeng, Z.-X.; Shan, W.; Kuang, J.-F.; Lu, W.-J.; Su, X.-G.; Tao, N.-G.; Lakshmanan, P.; Chen, J.-Y.; et al. Exogenous melatonin maintains leaf quality of postharvest Chinese flowering cabbage by modulating respiratory metabolism and energy status. Postharvest Biol. Technol. 2021, 177, 111524. [Google Scholar] [CrossRef]
- Wu, C.; Cao, S.; Xie, K.; Chi, Z.; Wang, J.; Wang, H.; Wei, Y.; Shao, X.; Zhang, C.; Xu, F.; et al. Melatonin delays yellowing of broccoli during storage by regulating chlorophyll catabolism and maintaining chloroplast ultrastructure. Postharvest Biol. Technol. 2021, 172, 111378. [Google Scholar] [CrossRef]
- Di, H.; Li, Z.; Wang, Y.; Zhang, Y.; Bian, J.; Xu, J.; Zheng, Y.; Gong, R.; Li, H.; Zhang, F.; et al. Melatonin Treatment Delays Senescence and Maintains the Postharvest Quality of Baby Mustard (Brassica juncea var. gemmifera). Front. Plant Sci. 2022, 12, 817861. [Google Scholar] [CrossRef]
- Miret, J.A.; Munné-Bosch, S.; Dijkwel, P.P. ABA signalling manipulation suppresses senescence of a leafy vegetable stored at room temperature. Plant Biotechnol. J. 2018, 16, 530–544. [Google Scholar] [CrossRef]
- Ding, X.; Jiang, Y.; Zhao, H.; Guo, D.; He, L.; Liu, F.; Zhou, Q.; Nandwani, D.; Hui, D.; Yu, J. Electrical conductivity of nutrient solution influenced photosynthesis, quality, and antioxidant enzyme activity of pakchoi (Brassica campestris L. ssp. Chinensis) in a hydroponic system. PLoS ONE 2018, 13, e0202090. [Google Scholar] [CrossRef]
- Huang, C.H.; Singh, G.P.; Park, S.H.; Chua, N.H.; Ram, R.J.; Park, B.S. Early Diagnosis and Management of Nitrogen Deficiency in Plants Utilizing Raman Spectroscopy. Front. Plant Sci. 2020, 11, 663. [Google Scholar] [CrossRef] [PubMed]
- Porra, R.J.; Thompson, W.A.; Kriedemann, P.E. Determination of accurate extinction coefficients and simultaneous equations for assaying chlorophylls a and b extracted with four different solvents: Verification of the concentration of chlorophyll standards by atomic absorption spectroscopy. Biochim. Biophys. Acta (BBA)—Bioenerg. 1989, 975, 384–394. [Google Scholar] [CrossRef]
- Agati, G.; Bilger, W.; Cerovic, Z. Fluorescence Tools for Sensing of Quality-Related Phytochemicals in Fruits and Vegetables. In Sensor-Based Quality Assessment Systems for Fruits and Vegetables, 1st ed.; Taylor & Francis Group: London, UK, 2020; ISBN 978-1-77188-935-3. [Google Scholar]
- Cataldo, D.; Maroon, M.; Schrader, L.; Youngs, V. Rapid Colorimetric Determination of Nitrate in Plant-Tissue by Nitration of Salicylic-Acid. Commun. Soil Sci. Plant Anal. 1975, 6, 71–80. [Google Scholar] [CrossRef]
- Buchanan-Wollaston, V. The molecular biology of leaf senescence. J. Exp. Bot. 1997, 48, 181–199. [Google Scholar] [CrossRef]
- Guiboileau, A.; Sormani, R.; Meyer, C.; Masclaux-Daubresse, C. Senescence and death of plant organs: Nutrient recycling and developmental regulation. Comptes Rendus Biol. 2010, 333, 382–391. [Google Scholar] [CrossRef]
- Lim, P.O.; Woo, H.R.; Nam, H.G. Molecular genetics of leaf senescence in Arabidopsis. Trends Plant Sci. 2003, 8, 272–278. [Google Scholar] [CrossRef]
- Yang, Z.; Zhu, J.; Zhang, B.; Gu, L.; Zhang, J. Effect of high temperature treatment on aging characteristics of strawberry leaves at the fruiting stage. Chin. Agric. Meteorol. 2012, 4, 512–518. [Google Scholar]
- Masclaux-Daubresse, C.; Daniel-Vedele, F.; Dechorgnat, J.; Chardon, F.; Gaufichon, L.; Suzuki, A. Nitrogen uptake, assimilation and remobilization in plants: Challenges for sustainable and productive agriculture. Ann. Bot. 2010, 105, 1141–1157. [Google Scholar] [CrossRef]
- Howarth, J.R.; Parmar, S.; Jones, J.; Shepherd, C.E.; Corol, D.I.; Galster, A.M.; Hawkins, N.D.; Miller, S.J.; Baker, J.M.; Verrier, P.J.; et al. Co-ordinated expression of amino acid metabolism in response to N and S deficiency during wheat grain filling. J. Exp. Bot. 2008, 59, 3675–3689. [Google Scholar] [CrossRef] [PubMed]
- Hu, C.; Ham, B.K.; El-Shabrawi, H.M.; Alexander, D.; Zhang, D.; Ryals, J.; Lucas, W.J. Proteomics and metabolomics analyses reveal the cucurbit sieve tube system as a complex metabolic space. Plant J. Cell Mol. Biol. 2016, 87, 442–454. [Google Scholar] [CrossRef]
- Masclaux-Daubresse, C.; Reisdorf-Cren, M.; Pageau, K.; Lelandais, M.; Grandjean, O.; Kronenberger, J.; Valadier, M.H.; Feraud, M.; Jouglet, T.; Suzuki, A. Glutamine synthetase-glutamate synthase pathway and glutamate dehydrogenase play distinct roles in the sink-source nitrogen cycle in tobacco. Plant Physiol. 2006, 140, 444–456. [Google Scholar] [CrossRef]
- Zhang, B.; Tolstikov, V.; Turnbull, C.; Hicks, L.M.; Fiehn, O. Divergent metabolome and proteome suggest functional independence of dual phloem transport systems in cucurbits. Proc. Natl. Acad. Sci. USA 2010, 107, 13532–13537. [Google Scholar] [CrossRef] [PubMed]
- Breeze, E.; Harrison, E.; McHattie, S.; Hughes, L.; Hickman, R.; Hill, C.; Kiddle, S.; Kim, Y.-s.; Penfold, C.A.; Jenkins, D.; et al. High-Resolution Temporal Profiling of Transcripts during Arabidopsis Leaf Senescence Reveals a Distinct Chronology of Processes and Regulation. Plant Cell 2011, 23, 873–894. [Google Scholar] [CrossRef]
- Avila Ospina, L.; Moison, M.; Yoshimoto, K.; Masclaux-Daubresse, C. Autophagy, plant senescence, and nutrient recycling. J. Exp. Bot. 2014, 65, 3799–3811. [Google Scholar] [CrossRef]
- Kojima, S.; Konishi, N.; Beier, M.P.; Ishiyama, K.; Maru, I.; Hayakawa, T.; Yamaya, T. NADH-dependent glutamate synthase participated in ammonium assimilation in Arabidopsis root. Plant Signal. Behav. 2014, 9, e29402. [Google Scholar] [CrossRef] [PubMed]
- O’Brien, J.A.; Vega, A.; Bouguyon, E.; Krouk, G.; Gojon, A.; Coruzzi, G.; Gutiérrez, R.A. Nitrate Transport, Sensing, and Responses in Plants. Mol. Plant 2016, 9, 837–856. [Google Scholar] [CrossRef] [PubMed]
- Kotur, Z.; Mackenzie, N.; Ramesh, S.; Tyerman, S.D.; Kaiser, B.N.; Glass, A.D.M. Nitrate transport capacity of the Arabidopsis thaliana NRT2 family members and their interactions with AtNAR2.1. New Phytol. 2012, 194, 724–731. [Google Scholar] [CrossRef] [PubMed]
- Dechorgnat, J.; Patrit, O.; Krapp, A.; Fagard, M.; Daniel-Vedele, F. Characterization of the Nrt2.6 gene in Arabidopsis thaliana: A link with plant response to biotic and abiotic stress. PLoS ONE 2012, 7, e42491. [Google Scholar] [CrossRef]
- Masclaux-Daubresse, C.; Valadier, M.-H.; Brugiere, N.; Morot-Gaudry, J.; Hirel, B. Characterization of the sink/source transition in tobacco (Nicotiana tabacum L.) shoots in relation to nitrogen management and leaf senescence. Planta 2000, 211, 510–518. [Google Scholar] [CrossRef]
- Tegeder, M. Transporters for amino acids in plant cells: Some functions and many unknowns. Curr. Opin. Plant Biol. 2012, 15, 315–321. [Google Scholar] [CrossRef]
- Park, B.S.; Song, J.T.; Seo, H.S. Arabidopsis nitrate reductase activity is stimulated by the E3 SUMO ligase AtSIZ1. Nat. Commun. 2011, 2, 400. [Google Scholar] [CrossRef] [PubMed]
- Park, B.S.; Yao, T.; Seo, J.S.; Wong, E.C.C.; Mitsuda, N.; Huang, C.-H.; Chua, N.-H. Arabidopsis nitrogen limitation adaptation regulates ORE1 homeostasis during senescence induced by nitrogen deficiency. Nat. Plants 2018, 4, 898–903. [Google Scholar] [CrossRef] [PubMed]
Disclaimer/Publisher’s Note: The statements, opinions and data contained in all publications are solely those of the individual author(s) and contributor(s) and not of MDPI and/or the editor(s). MDPI and/or the editor(s) disclaim responsibility for any injury to people or property resulting from any ideas, methods, instructions or products referred to in the content. |
© 2023 by the authors. Licensee MDPI, Basel, Switzerland. This article is an open access article distributed under the terms and conditions of the Creative Commons Attribution (CC BY) license (https://creativecommons.org/licenses/by/4.0/).




