S-Nitrosylation of Paraxonase 1 (PON1) Elevates Its Hydrolytic and Antioxidant Activities
Abstract
:1. Introduction
2. Materials and Methods
2.1. Materials
2.2. Recombinant PON1 (rePON1)
2.2.1. S-Nitrosylation of rePON1 by HSA-NO
2.2.2. LC/MS Analysis
2.3. MS
2.3.1. RePON1-NO Lactonase and Aryl Esterase Activity
2.3.2. RePON1-NO Paraoxonase Activity
2.3.3. Extraction of LDL from Human Serum by Ultracentrifugation
2.3.4. RePON1-NO Protection of LDL from Oxidation
2.3.5. Treatment of J774A.1 Macrophage Cells
2.3.6. RePON1-NO Influx into Macrophages
2.3.7. Statistical Analysis
3. Results
3.1. RePON1 S-Nitrosylation Using HSA-NO as NO Donor
3.2. Hydrolytic Activities of the S-Nitrosylated rePON1
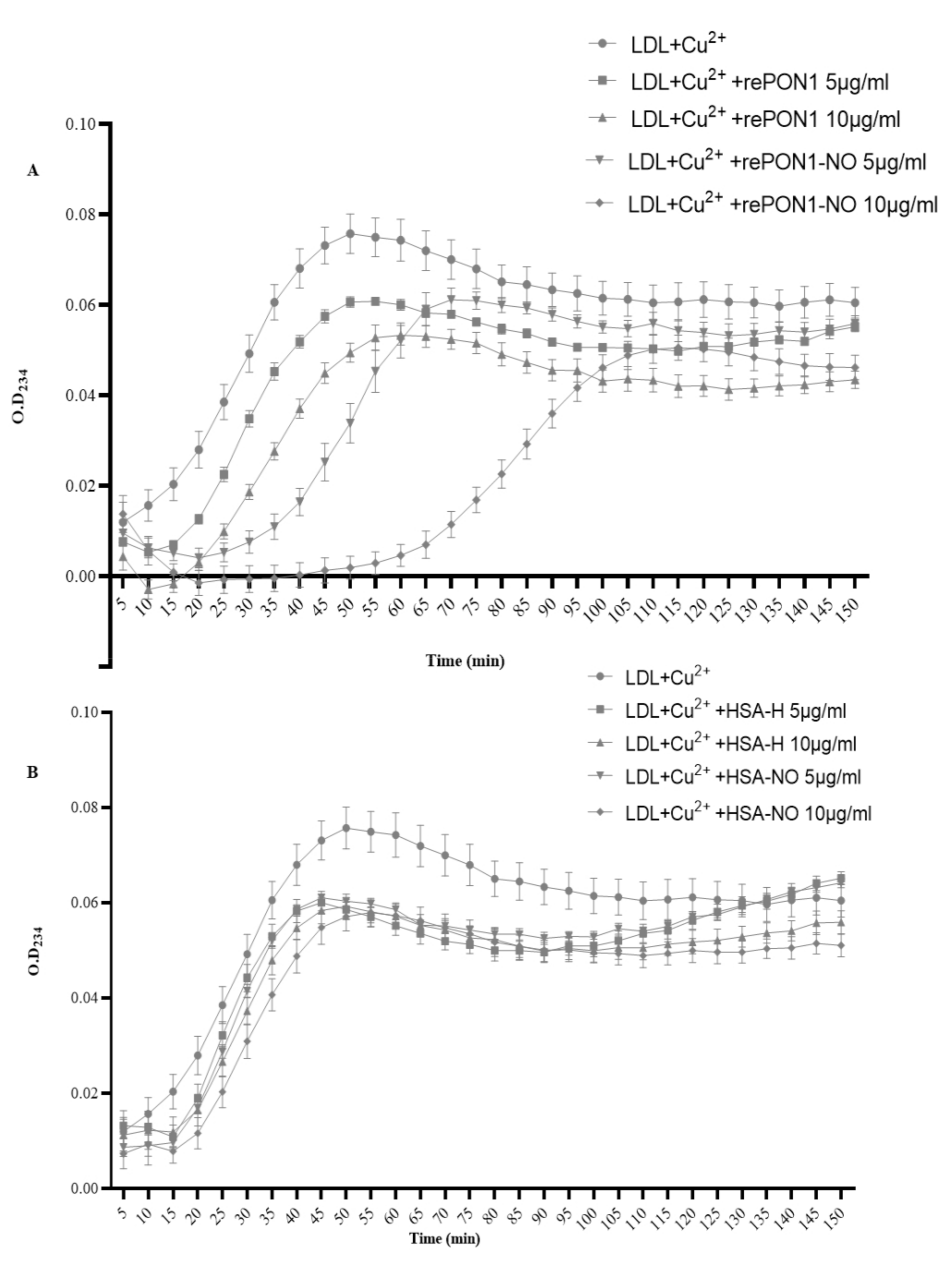
3.3. Effect of S-Nitrosylation on rePON1 Antioxidant Activity: Protection of LDL from Oxidation
3.4. Effect of S-Nitrosylation of rePON1 on Its Influx into Macrophage Cells
4. Discussion
Author Contributions
Funding
Institutional Review Board Statement
Informed Consent Statement
Data Availability Statement
Conflicts of Interest
References
- Siman, P.; Brik, A. Chemical and semisynthesis of posttranslationally modified proteins. Org. Biomol. Chem. 2012, 10, 5684–5697. [Google Scholar] [CrossRef] [PubMed]
- Khatib, S.; Artoul, F.; Gershko, M.; Markman, G.; Vaya, J. The synthesis and analysis of S-nitorsylated paraoxonase 1. Biochem. Biophys. Res. Commun. 2014, 444, 354–359. [Google Scholar] [CrossRef] [PubMed]
- Hoffman, M.D.; Sniatynski, M.J.; Kast, J. Current approaches for global post-translational modification discovery and mass spectrometric analysis. Anal. Chim. Acta 2008, 627, 50–61. [Google Scholar] [CrossRef]
- Stomberski, C.T.; Zhou, H.-L.; Wang, L.; Van Den Akker, F.; Stamler, J.S. Molecular recognition of S-nitrosothiol substrate by its cognate protein denitrosylase. J. Biol. Chem. 2019, 294, 1568–1578. [Google Scholar] [CrossRef] [PubMed] [Green Version]
- Stomberski, C.T.; Hess, D.T.; Stamler, J.S. Protein S-Nitrosylation: Determinants of Specificity and Enzymatic Regulation of S-Nitrosothiol-Based Signaling. Antioxid. Redox Signal. 2019, 30, 1331–1351. [Google Scholar] [CrossRef]
- Haldar, S.M.; Stamler, J.S.; Haldar, S.M.; Stamler, J.S. S-nitrosylation: Integrator of cardiovascular performance and oxygen delivery. J. Clin. Investig. 2013, 123, 101–110. [Google Scholar] [CrossRef]
- Katayama, N.; Nakajou, K.; Ishima, Y.; Ikuta, S.; Yokoe, J.-I.; Yoshida, F.; Suenaga, A.; Maruyama, T.; Kai, T.; Otagiri, M. Nitrosylated human serum albumin (SNO-HSA) induces apoptosis in tumor cells. Nitric Oxide Biol. Chem. 2010, 22, 259–265. [Google Scholar] [CrossRef]
- Arnelle, D.R.; Stamler, J.S. NO+, NO, and NO− Donation by S-Nitrosothiols: Implications for Regulation of Physiological Functions by S-Nitrosylation and Acceleration of Disulfide Formation. Arch. Biochem. Biophys. 1995, 318, 279–285. [Google Scholar] [CrossRef]
- Conti, L.; Frei, A.; Noble, S. Atherosclerosis: A systemic disease. Eur. Geriatr. Med. 2013, 4, 185–187. [Google Scholar] [CrossRef]
- Ha, A.; Genest, J. High density lipoproteins: Measurement techniques and potentialbiomarkers of cardiovascular risk. BBA Clin. 2015, 3, 175–188. [Google Scholar]
- Khattib, A.; Atrahimovich, D.; Dahli, L.; Vaya, J.; Khatib, S. Lyso-diacylglyceryltrimethylhomoserine (lyso-DGTS) isolated from Nannochloropsis microalgae improves high-density lipoprotein (HDL) functions. BioFactors 2020, 46, 146–157. [Google Scholar] [CrossRef] [PubMed]
- Barter, P.; Gotto, A.M.; LaRosa, J.C.; Maroni, J.; Szarek, M.; Grundy, S.M.; Kastelein, J.J.P.; Bittner, V.; Fruchart, J.-C. HDL Cholesterol, Very Low Levels of LDL Cholesterol, and Cardiovascular Events. N. Engl. J. Med. 2007, 357, 1301–1310. [Google Scholar] [CrossRef] [Green Version]
- Taler-Verčič, A.; Goličnik, M.; Bavec, A. The Structure and Function of Paraoxonase-1 and Its Comparison to Paraoxonase-2 and -3. Molecules 2020, 25, 5980. [Google Scholar] [CrossRef] [PubMed]
- Tavori, H.; Aviram, M.; Khatib, S.; Musa, R.; Mannheim, D.; Karmeli, R.; Vaya, J. Human carotid lesion linoleic acid hydroperoxide inhibits paraoxonase 1 (PON1) activity via reaction with PON1 free sulfhydryl cysteine 284. Free Radic. Biol. Med. 2011, 50, 148–156. [Google Scholar] [CrossRef] [PubMed]
- Mackness, B.; Quarck, R.; Verreth, W.; Mackness, M.; Holvoet, P. Human Paraoxonase-1 Overexpression Inhibits Atherosclerosis in a Mouse Model of Metabolic Syndrome. Arter. Thromb. Vasc. Biol. 2006, 26, 1545–1550. [Google Scholar] [CrossRef] [PubMed] [Green Version]
- Marín, M.; Moya, C.; Máñez, S. Mutual Influences between Nitric Oxide and Paraoxonase 1. Antioxidants 2019, 8, 619. [Google Scholar] [CrossRef] [Green Version]
- Angayarkanni, N.; Barathi, S.; Seethalakshmi, T.; Punitham, R.; Sivaramakrishna, R.; Suganeswari, G.; Tarun, S. Serum PON1 arylesterase activity in relation to hyperhomocysteinaemia and oxidative stress in young adult central retinal venous occlusion patients. Eye 2008, 22, 969–974. [Google Scholar] [CrossRef]
- Ceron, J.J.; Tecles, F.; Tvarijonaviciute, A. Serum paraoxonase 1 (PON1) measurement: An update. BMC Veter. Res. 2014, 10, 74. [Google Scholar] [CrossRef]
- Khersonsky, O.; Tawfik, D.S. Chromogenic and Fluorogenic Assays for the Lactonase Activity of Serum Paraoxonases. ChemBioChem 2006, 7, 49–53. [Google Scholar] [CrossRef]
- Parthasarathy, S.; Barnett, J.; Fong, L.G. High-density lipoprotein inhibits the oxidative modification of low-density lipoprotein. Biochim. Biophys. Acta (BBA) Lipids Lipid Metab. 1990, 1044, 275–283. [Google Scholar] [CrossRef]
- Dahli, L.; Atrahimovich, D.; Vaya, J.; Khatib, S. Lyso-DGTS lipid isolated from microalgae enhances PON1 activities in vitro and in vivo, increases PON1 penetration into macrophages and decreases cellular lipid accumulation. BioFactors 2018, 44, 299–310. [Google Scholar] [CrossRef] [PubMed]
- Tavori, H.; Aviram, M.; Khatib, S.; Musa, R.; Mannheim, D.; Karmeli, R.; Vaya, J. Paraoxonase 1 protects macrophages from atherogenicity of a specific triglyceride isolated from human carotid lesion. Free Radic. Biol. Med. 2011, 51, 234–242. [Google Scholar] [CrossRef] [PubMed]
- Harel, M.; Aharoni, A.; Gaidukov, L.; Brumshtein, B.; Khersonsky, O.; Meged, R.; Dvir, H.; Ravelli, R.; McCarthy, A.; Toker, L.; et al. Structure and evolution of the serum paraoxonase family of detoxifying and anti-atherosclerotic enzymes. Nat. Struct. Mol. Biol. 2004, 11, 412–419. [Google Scholar] [CrossRef] [PubMed]
- Cervellati, C.; Bonaccorsi, G.; Trentini, A.; Valacchi, G.; Sanz, J.M.; Squerzanti, M.; Spagnolo, M.; Massari, L.; Crivellari, I.; Greco, P.; et al. Paraoxonase, arylesterase and lactonase activities of paraoxonase-1 (PON1) in obese and severely obese women. Scand. J. Clin. Lab. Investig. 2018, 78, 18–24. [Google Scholar] [CrossRef] [PubMed]
- Cohen, E.; Aviram, M.; Khatib, S.; Artoul, F.; Rabin, A.; Mannheim, D.; Karmeli, R.; Salamon, T.; Vaya, J. Human carotid plaque phosphatidylcholine specifically interacts with paraoxonase 1, increases its activity, and enhances its uptake by macrophage at the expense of its binding to HDL. Free Radic. Biol. Med. 2014, 76, 14–24. [Google Scholar] [CrossRef]
- Atrahimovich, D.; Khatib, S.; Sela, S.; Vaya, J.; Samson, A.O. Punicalagin Induces Serum Low-Density Lipoprotein Influx to Macrophages. Oxidative Med. Cell. Longev. 2016, 2016, 7124251. [Google Scholar] [CrossRef] [Green Version]
- Lima, B.; Forrester, M.T.; Hess, D.T.; Stamler, J.S. S-Nitrosylation in Cardiovascular Signaling. Circ. Res. 2010, 106, 633–646. [Google Scholar] [CrossRef] [Green Version]
- Martínez-Ruiz, A.; Lamas, S. Signalling by NO-induced protein S-nitrosylation and S-glutathionylation: Convergences and divergences. Cardiovasc. Res. 2007, 75, 220–228. [Google Scholar] [CrossRef] [Green Version]
- Al-Sa’doni, H.; Ferro, A. S-Nitrosothiols: A class of nitric oxide-donor drugs. Clin. Sci. 2000, 98, 507. [Google Scholar] [CrossRef]
- Wu, P.L.; Wu, X. Review: Modifications of Human Serum Albumin and Their Binding Effect. Curr. Pharm. Design 2015, 21, 1862–1865. [Google Scholar]
- Hess, D.T.; Matsumoto, A.; Kim, S.-O.; Marshall, H.E.; Stamler, J.S. Protein S-nitrosylation: Purview and parameters. Nat. Rev. Mol. Cell Biol. 2005, 6, 150–166. [Google Scholar] [CrossRef] [PubMed]
- Kovacs, I.; Lindermayr, C. Nitric oxide-based protein modification: Formation and site-specificity of protein S-nitrosylation. Front. Plant Sci. 2013, 4, 137. [Google Scholar] [CrossRef] [PubMed] [Green Version]
- Wang, Y.; Liu, T.; Wu, C.; Li, H. A Strategy for Direct Identification of Protein S-Nitrosylation Sites by Quadrupole Time-of-Flight Mass Spectrometry. J. Am. Soc. Mass Spectrom. 2008, 19, 1353–1360. [Google Scholar] [CrossRef] [PubMed] [Green Version]
- Hetrick, E.M.; Schoenfisch, M.H. Analytical Chemistry of Nitric Oxide. Annu. Rev. Anal. Chem. 2009, 2, 409–433. [Google Scholar] [CrossRef] [Green Version]
- Atrahimovich, D.; Vaya, J.; Tavori, H.; Khatib, S. Glabridin Protects Paraoxonase 1 from Linoleic Acid Hydroperoxide Inhibition via Specific Interaction: A Fluorescence-Quenching Study. J. Agric. Food Chem. 2012, 60, 3679–3685. [Google Scholar] [CrossRef]
- Cheng, W.-H.; Huang, K.-Y.; Ong, S.-C.; Ku, F.-M.; Huang, P.-J.; Lee, C.-C.; Yeh, Y.-M.; Lin, R.; Chiu, C.-H.; Tang, P. Protein cysteine S-nitrosylation provides reducing power by enhancing lactate dehydrogenase activity in Trichomonas vaginalis under iron deficiency. Parasites Vectors 2020, 13, 477. [Google Scholar] [CrossRef]
- Fernando, V.; Zheng, X.; Walia, Y.; Sharma, V.; Letson, J.; Furuta, S. S-Nitrosylation: An Emerging Paradigm of Redox Signaling. Antioxidants 2019, 8, 404. [Google Scholar] [CrossRef] [Green Version]
- Aharoni, S.; Aviram, M.; Fuhrman, B. Paraoxonase 1 (PON1) reduces macrophage inflammatory responses. Atherosclerosis 2013, 228, 353–361. [Google Scholar] [CrossRef]
- Rosenblat, M.; Vaya, J.; Shih, D.; Aviram, M. Paraoxonase 1 (PON1) enhances HDL-mediated macrophage cholesterol efflux via the ABCA1 transporter in association with increased HDL binding to the cells: A possible role for lysophosphatidylcholine. Atherosclerosis 2005, 179, 69–77. [Google Scholar] [CrossRef]




| Incubation Time | RePON1:HSA-NO Ratio of 1:8 (%) | RePON1:HSA-NO Ratio of 1:16 (%) | RePON1:HSA-NO Ratio of 1:32 (%) |
|---|---|---|---|
| 1 h | 53.35 ± 3.58 | 59.07 ± 0.37 | 57.6 ± 0.87 |
| 3 h | 60.04 ± 3.25 | 64.13 ± 3.25 | 66.42 ± 2.13 |
Publisher’s Note: MDPI stays neutral with regard to jurisdictional claims in published maps and institutional affiliations. |
© 2022 by the authors. Licensee MDPI, Basel, Switzerland. This article is an open access article distributed under the terms and conditions of the Creative Commons Attribution (CC BY) license (https://creativecommons.org/licenses/by/4.0/).
Share and Cite
Hajouj, H.; Khattib, A.; Atrahimovich, D.; Musa, S.; Khatib, S. S-Nitrosylation of Paraxonase 1 (PON1) Elevates Its Hydrolytic and Antioxidant Activities. Biomolecules 2022, 12, 414. https://doi.org/10.3390/biom12030414
Hajouj H, Khattib A, Atrahimovich D, Musa S, Khatib S. S-Nitrosylation of Paraxonase 1 (PON1) Elevates Its Hydrolytic and Antioxidant Activities. Biomolecules. 2022; 12(3):414. https://doi.org/10.3390/biom12030414
Chicago/Turabian StyleHajouj, Hanin, Ali Khattib, Dana Atrahimovich, Sanaa Musa, and Soliman Khatib. 2022. "S-Nitrosylation of Paraxonase 1 (PON1) Elevates Its Hydrolytic and Antioxidant Activities" Biomolecules 12, no. 3: 414. https://doi.org/10.3390/biom12030414
APA StyleHajouj, H., Khattib, A., Atrahimovich, D., Musa, S., & Khatib, S. (2022). S-Nitrosylation of Paraxonase 1 (PON1) Elevates Its Hydrolytic and Antioxidant Activities. Biomolecules, 12(3), 414. https://doi.org/10.3390/biom12030414

