Insights from Cardiopulmonary Exercise Testing in Pediatric Patients with Hypertrophic Cardiomyopathy
Abstract
1. Introduction
2. Materials and Methods
2.1. Patients’ Study Sample
2.2. Patients’ Clinical Assessment
2.3. Study End-Point
2.4. Statistical Analysis
3. Results
3.1. General Characteristics of the Study Population
3.2. Survival Analysis
4. Discussion
5. Limitations
6. Conclusions
Author Contributions
Funding
Institutional Review Board Statement
Informed Consent Statement
Data Availability Statement
Conflicts of Interest
References
- Maron, B.J.; Maron, M.S. Hypertrophic cardiomyopathy. Lancet 2013, 381, 242–255. [Google Scholar] [CrossRef]
- Lipshultz, S.E.; Orav, E.J.; Wilkinson, J.D.; Towbin, J.A.; Messere, J.E.; Lowe, A.M.; Sleeper, L.A.; Cox, G.F.; Hsu, D.T.; Canter, C.E.; et al. Risk stratification at diagnosis for children with hypertrophic cardiomyopathy: An analysis of data from the Pediatric Cardiomyopathy Registry. Lancet 2013, 382, 1889–1897. [Google Scholar] [CrossRef]
- Maurizi, N.; Passantino, S.; Spaziani, G.; Girolami, F.; Arretini, A.; Targetti, M.; Pollini, I.; Tomberli, A.; Pradella, S.; Calabri, G.B.; et al. Long-term outcomes of pediatric-onset hypertrophic cardiomyopathy and age-specific risk factors for lethal arrhythmic events. JAMA Cardiol. 2018, 3, 520–525. [Google Scholar] [CrossRef] [PubMed]
- Moak, J.P.; Kaski, J.P. Hypertrophic cardiomyopathy in children. Heart 2012, 98, 1044–1054. [Google Scholar] [CrossRef]
- Alexander, P.M.; Daubeney, P.E.; Nugent, A.W.; Lee, K.J.; Turner, C.; Colan, S.D.; Robertson, T.; Davis, A.M.; Ramsay, J.; Justo, R.; et al. Long-term outcomes of hypertrophic cardiomyopathy diagnosed during childhood: Results from a national population-based study. Circulation 2018, 138, 29–36. [Google Scholar] [CrossRef]
- Norrish, G.; Field, E.; McLeod, K.; Ilina, M.; Stuart, G.; Bhole, V.; Uzun, O.; Brown, E.; Daubeney, P.E.F.; Lota, A.; et al. Clinical presentation and survival of childhood hypertrophic cardiomyopathy: A retrospective study in United Kingdom. Eur. Heart J. 2018, 40, 986–993. [Google Scholar] [CrossRef] [PubMed]
- Bonow, R.O.; McNally, E.M. Risk prediction model in children with hypertrophic cardiomyopathy: A work in progress. JAMA Cardiol. 2019, 4, 927. [Google Scholar] [CrossRef] [PubMed]
- Gersh, B.J.; Maron, B.J.; Bonow, R.O.; Dearani, J.A.; Fifer, M.A.; Link, M.S.; Naidu, S.S.; Nishimura, R.A.; Ommen, S.R.; Rakowski, H.; et al. 2011 ACCF/AHA Guideline for the diagnosis and treatment of hypertrophic cardiomyopathy: Executive summary: A report of the american college of cardiology foundation/american heart association task force on practice guidelines. Circulation 2011, 124, 2761–2796. [Google Scholar] [CrossRef]
- Elliott, P.M.; Anastasakis, A.; Borger, M.A.; Borggrefe, M.; Cecchi, F.; Charron, P.; Hagege, A.A.; Lafont, A.; Limongelli, G.; Mahrholdt, H.; et al. 2014 ESC Guidelines on diagnosis and management of hypertrophic cardiomyopathy: The Task Force for the Diagnosis and Management of Hypertrophic Cardiomyopathy of the European Society of Cardiology (ESC). Eur. Heart J. 2014, 35, 2733–2779. [Google Scholar]
- Finocchiaro, G.; Haddad, F.; Knowles, J.W.; Caleshu, C.; Pavlovic, A.; Homburger, J.; Shmargad, Y.; Sinagra, G.; Magavern, E.; Wong, M.; et al. Cardiopulmonary responses and prognosis in hypertrophic cardiomyopathy: A potential role for comprehensive noninvasive hemodynamic assessment. JACC Heart Fail. 2015, 3, 408–418. [Google Scholar] [CrossRef]
- Coats, C.J.; Rantell, K.; Bartnik, A.; Patel, A.; Mist, B.; McKenna, W.J.; Elliott, P.M. Cardiopulmonary exercise testing and prognosis in hypertrophic cardiomyopathy. Circ. Heart Fail. 2015, 8, 1022–1031. [Google Scholar] [CrossRef]
- Masri, A.; Pierson, L.M.; Smedira, N.G.; Agarwal, S.; Lytle, B.W.; Naji, P.; Thamilarasan, M.; Lever, H.M.; Cho, L.S.; Desai, M.Y. Predictors of long-term outcomes in patients with hypertrophic cardiomyopathy undergoing cardiopulmonary stress testing and echocardiography. Am. Heart J. 2015, 169, 684–692.e1. [Google Scholar] [CrossRef]
- Magrì, D.; Re, F.; Limongelli, G.; Agostoni, P.; Zachara, E.; Correale, M.; Mastromarino, V.; Santolamazza, C.; Casenghi, M.; Pacileo, G.; et al. Heart failure progression in hypertrophic cardiomyopathy-possible insights from cardiopulmonary exercise testing. Circ. J. 2016, 80, 2204–2211. [Google Scholar] [CrossRef] [PubMed]
- Magrì, D.; Limongelli, G.; Re, F.; Agostoni, P.; Zachara, E.; Correale, M.; Mastromarino, V.; Santolamazza, C.; Casenghi, M.; Pacileo, G.; et al. Cardiopulmonary exercise test and sudden cardiac death risk in hypertrophic cardiomyopathy. Heart 2016, 102, 602–609. [Google Scholar] [CrossRef] [PubMed]
- Magrì, D.; Mastromarino, V.; Gallo, G.; Zachara, E.; Re, F.; Agostoni, P.; Giordano, D.; Rubattu, S.; Forte, M.; Cotugno, M.; et al. Risk stratification in hypertrophic cardiomyopathy. insights from genetic analysis and cardiopulmonary exercise testing. J. Clin. Med. 2020, 9, 1636. [Google Scholar] [CrossRef] [PubMed]
- Magrì, D.; Agostoni, P.; Cauti, F.M.; Musumeci, B.; Assenza, G.E.; De Cecco, C.N.; Muscogiuri, G.; Maruotti, A.; Ricotta, A.; Pagannone, E.; et al. Determinants of peak oxygen uptake in patients with hypertrophic cardiomyopathy: A single-center study. Intern. Emerg. Med. 2012, 9, 293–302. [Google Scholar] [CrossRef]
- Magri, D.; Santolamazza, C. Cardiopulmonary exercise test in hypertrophic cardiomyopathy. Ann. Am. Thorac. Soc. 2017, 14, S102–S109. [Google Scholar] [CrossRef]
- Cavigli, L.; Olivotto, I.; Fattirolli, F.; Mochi, N.; Favilli, S.; Mondillo, S.; Bonifazi, M.; D’Ascenzi, F. Prescribing, dosing and titrating exercise in patients with hypertrophic cardiomyopathy for prevention of comorbidities: Ready for prime time. Eur. J. Prev. Cardiol. 2020. [Google Scholar] [CrossRef]
- Wilhelm, M. Exercise in hypertrophic cardiomyopathy: Towards a personalised approach. Eur. J. Prev. Cardiol. 2020, 3. [Google Scholar] [CrossRef]
- Sweeting, J.; Ingles, J.; Timperio, A.; Patterson, J.; Ball, K.; Semsarian, C. Physical activity in hypertrophic cardiomyopathy: Prevalence of inactivity and perceived barriers. Open Heart 2016, 3, e000484. [Google Scholar] [CrossRef]
- Finocchiaro, G.; Magavern, E.; Sinagra, G.; Ashley, E.; Papadakis, M.; Tome-Esteban, M.; Sharma, S.; Olivotto, I. Impact of demographic features, lifestyle, and comorbidities on the clinical expression of hypertrophic cardiomyopathy. J. Am. Heart Assoc. 2017, 6, e007161. [Google Scholar] [CrossRef] [PubMed]
- Lipshultz, S.E.; Law, Y.M.; Asante-Korang, A.; Austin, E.D.; Dipchand, A.I.; Everitt, M.D.; Hsu, D.T.; Lin, K.Y.; Price, J.F.; Wilkinson, J.D.; et al. Cardiomyopathy in children: Classification and diagnosis: A scientific statement from the american heart association. Circulation 2019, 140, e9–e68. [Google Scholar] [CrossRef]
- Lang, R.M.; Badano, L.P.; Mor-Avi, V.; Afilalo, J.; Armstrong, A.; Ernande, L.; Flachskampf, F.A.; Foster, E.; Goldstein, S.A.; Kuznetsova, T.; et al. Recommendations for cardiac chamber quantification by echocardiography in adults: An update from the American Society of Echocardiography and the European Association of Cardiovascular Imaging. J. Am. Soc. Echocardiogr. 2015, 28, 1–39. [Google Scholar] [CrossRef]
- Simpson, J.M.; Chubb, H. The use of Z-scores in paediatric cardiology. Ann. Pediatr. Cardiol. 2012, 5, 179–184. [Google Scholar] [CrossRef] [PubMed]
- Takken, T.; Bongers, B.C.; Van Brussel, M.; Haapala, E.A.; Hulzebos, E.H.J. Cardiopulmonary exercise testing in pediatrics. Ann. Am. Thorac. Soc. 2017, 14, S123–S128. [Google Scholar] [CrossRef]
- Magri, D.; Agostoni, P.; Sinagra, G.; Re, F.; Correale, M.; Limongelli, G.; Zachara, E.; Mastromarino, V.; Santolamazza, C.; Casenghi, M.; et al. Clinical and prognostic impact of chronotropic incompetence in patients with hypertrophic cardiomyopathy. Int. J. Cardiol. 2018, 271, 125–131. [Google Scholar] [CrossRef]
- Wasserman, K.; Hansen, J.E.; Sue, D.Y.; Whipp, B.J.; Froelicher, V.F. Principles of Exercise Testing and Interpretation, 4th ed.; Lippincott Williams & Wilkins: Baltimore, MD, USA, 2005; pp. 10–65. [Google Scholar]
- Corrà, U.; Mezzani, A.; Giordano, A.; Bosimini, E.; Giannuzzi, P. Exercise haemodynamic variables rather than ventilatory efficiency indexes contribute to risk assessment in chronic heart failure patients treated with carvedilol. Eur. Heart J. 2009, 30, 3000–3006. [Google Scholar] [CrossRef][Green Version]
- Blanchard, J.; Blais, S.; Chetaille, P.; Bisson, M.; Counil, F.P.; Huard-Girard, T.; Berbari, J.; Boulay, P.; Dallaire, F. New reference values for cardiopulmonary exercise testing in children. Med. Sci. Sports Exerc. 2018, 50, 1125–1133. [Google Scholar] [CrossRef] [PubMed]
- Giardini, A.; Fenton, M.; Andrews, R.E.; Derrick, G.; Burch, M. Peak oxygen uptake correlates with survival without clinical deterioration in ambulatory children with dilated cardiomyopathy. Circulation 2011, 124, 1713–1718. [Google Scholar] [CrossRef]
- Bredy, C.; Ministeri, M.; Kempny, A.; Alonso-Gonzalez, R.; Swan, L.; Uebing, A.; Diller, G.-P.; Gatzoulis, M.A.; Dimopoulos, K. New York Heart Association (NYHA) classification in adults with congenital heart disease: Relation to objective measures of exercise and outcome. Eur. Heart J. Qual. Care Clin. Outcomes 2018, 4, 51–58. [Google Scholar] [CrossRef] [PubMed]
- Saberi, S.; Day, S.M. Exercise and hypertrophic cardiomyopathy: Time for a change of heart. Circulation 2018, 137, 419–421. [Google Scholar] [CrossRef] [PubMed]
- Klempfner, R.; Kamerman, T.; Schwammenthal, E.; Nahshon, A.; Hay, I.; Goldenberg, I.; Dov, F.; Arad, M. Efficacy of exercise training in symptomatic patients with hypertrophic cardiomyopathy: Results of a structured exercise training program in a cardiac rehabilitation center. Eur. J. Prev. Cardiol. 2015, 22, 13–19. [Google Scholar] [CrossRef] [PubMed]
- Ho, C.Y.; Day, S.M.; Ashley, E.A.; Michel, M.; Pereira, A.C.; Jacoby, D.; Cirino, A.L.; Fox, J.C.; Lakdawala, N.K.; Ware, J.S.; et al. Genotype and lifetime burden of disease in hypertrophic cardiomyopathy: Insights from the Sarcomeric Human Cardiomyopathy Registry (SHaRe). Circulation 2018, 138, 1387–1398. [Google Scholar] [CrossRef] [PubMed]
- Norrish, G.; Cantarutti, N.; Pissaridou, E.; Ridout, D.A.; Limongelli, G.; Elliott, P.M.; Kaski, J.P. Risk factors for sudden cardiac death in childhood hypertrophic cardiomyopathy: A systematic review and meta-analysis. Eur. J. Prev. Cardiol. 2017, 24, 1220–1230. [Google Scholar] [CrossRef]
- Rowin, E.J.; Sridharan, A.; Madias, C.; Firely, C.; Koethe, B.; Link, M.S.; Maron, M.S.; Maron, B.J. Prediction and prevention of sudden death in young patients (<20 years) with hypertrophic cardiomyopathy. Am. J. Cardiol. 2020, 128, 75–83. [Google Scholar] [CrossRef] [PubMed]
- Alashi, A.; Svensson, L.; Klein, J.; Zahka, K.; Smedira, N.G.; Najm, H.; Lever, H.M.; Aziz, P.; Desai, M.Y. Characteristics and longer-term outcomes of contemporary patients <18 years of age with hypertrophic cardiomyopathy. Am. J. Cardiol. 2021, 140, 110–117. [Google Scholar] [CrossRef] [PubMed]
- Norrish, G.; Ding, T.; Field, E.; Ziólkowska, L.; Olivotto, I.; Limongelli, G.; Anastasakis, A.; Weintraub, R.; Biagini, E.; Ragni, L.; et al. Development of a novel risk prediction model for sudden cardiac death in childhood hypertrophic cardiomyopathy (HCM Risk-Kids). JAMA Cardiol. 2019, 4, 918–927. [Google Scholar] [CrossRef]
- Magrì, D. Peak oxygen uptake in heart failure: Look behind the number! Eur. J. Prev. Cardiol. 2018, 25, 1934–1936. [Google Scholar] [CrossRef] [PubMed]
- Betocchi, S.; Bonow, R.O.; Bacharach, S.L.; Rosing, U.R.; Maron, B.J.; Green, M.V. Isovolumic relaxation period in hypertrophic cardiomyopathy: Assessment by radionuclide angiography. J. Am. Coll. Cardiol. 1986, 7, 74–81. [Google Scholar] [CrossRef]
- Arena, R.; Owens, D.S.; Arevalo, J.; Smith, K.; Mohiddin, S.A.; McAreavey, D.; Ulisney, K.L.; Tripodi, D.; Fananapazir, L.; Plehn, J.F. Ventilatory efficiency and resting hemodynamics in hypertrophic cardiomyopathy. Med. Sci. Sports Exerc. 2008, 40, 799–805. [Google Scholar] [CrossRef] [PubMed]
- Marian, A.J.; Braunwald, E. Hypertrophic cardiomyopathy: Genetics, pathogenesis, clinical manifestations, diagnosis, and therapy. Circ. Res. 2017, 121, 749–770. [Google Scholar] [CrossRef] [PubMed]



| General Data | |
|---|---|
| Age, years | 15 ± 2 |
| BSA, m2 | 1.7 ± 0.4 |
| Male, % | 44 (73) |
| Age at diagnosis, years | 10 ± 5 |
| NYHA II, n (%) | 15 (25) |
| LVOT obstruction, n (%) | 11 (18.3) |
| ICD, n (%) | 12 (20) |
| SCD risk factors | |
| NSVT, n (%) | 6 (10) |
| FH-SCD, n (%) | 3 (5) |
| MWT > 30 mm or Z score > 6, n (%) | 12 (20) |
| Unexplained syncope, n (%) | 8 (13) |
| ABPRE, n (%) | 18 (30) |
| Echocardiographic Data | |
| LVEDd, mm | 42 ± 5 |
| LAd, mm | 37 ± 8 |
| LAd (Z-score) | 2.3 ± 1.5 |
| MWT, mm | 21 ± 7 |
| MWT (Z-score) | 4.6 ± 1.5 |
| LVOTGmax, mm Hg | 10 [10] |
| LVEF, % | 62 ± 6 |
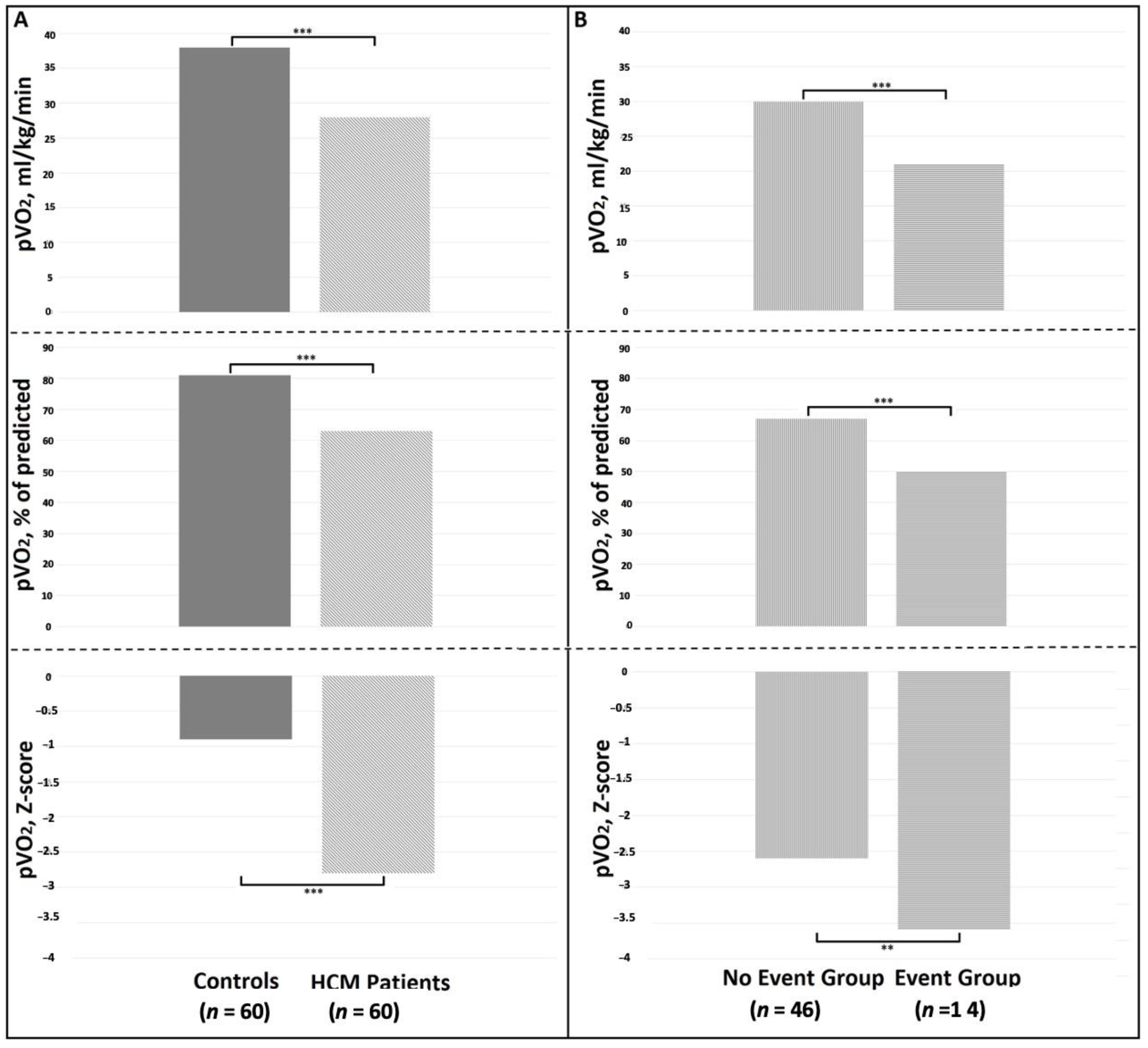
| CPET Data | HCM Group (N: 60 Patients) | Healthy Controls (N: 60 Subjects) | p-Values |
|---|---|---|---|
| Exercise time, minutes | 10.1 ± 2.0 | 10.8 ± 1.7 | NS |
| Peak workload, watts | 116 ± 44 | 153 ± 42 | <0.001 |
| Peak SBP, mm Hg | 143 ± 32 | 154 ± 17 | 0.034 |
| Peak HR, % of predicted | 78 ± 11 | 83 ± 7 | NS |
| VO2 AT, mL/kg/min | 17 ± 5 | 24 ± 7 | <0.001 |
| Peak VO2, mL/kg/min | 28 ± 8 | 38 ± 8 | <0.001 |
| Peak VO2, % of predicted | 63 ± 17 | 81 ± 13 | <0.001 |
| Peak VO2 (Z-score) | −2.8 ± 1.2 | −0.9 ± 1.1 | <0.001 |
| CP, mL/kg/min*mm Hg | 4101 ± 1840 | 5836 ± 1656 | <0.001 |
| CP%, % of predicted*mm Hg | 9176 ± 3710 | 12,004 ± 2620 | <0.001 |
| VE/VCO2 slope | 27.6 ± 4.8 | 23.4 ± 2.5 | <0.001 |
| VE/VCO2 slope (Z score) | −0.2 ± 1.4 | −1.4 ± 0.7 | <0.001 |
| R.E.R. | 1.15 ± 0.1 | 1.15 ± 0.1 | NS |
| General Data | No Event Group (n = 46 Patients) | Event Group (n = 14 Patients) | p-Values |
|---|---|---|---|
| Age, years | 15 ± 2 | 15 ± 2 | NS |
| BSA, m2 | 1.7 ± 0.4 | 1.7 ± 0.3 | NS |
| Male, % | 36 (78) | 8 (57) | NS |
| Age at diagnosis, years | 9 ± 5 | 9 ± 3 | NS |
| NYHA II, n (%) | 7 (15) | 8 (57) | <0.001 |
| LVOT obstruction, n (%) | 8 (17) | 3 (14) | NS |
| ICD, n (%) | 5 (11) | 7 (50) | 0.003 |
| SCD Risk Factors | |||
| NSVT, n (%) | 3 (6) | 3 (21) | NS |
| FH-SCD, n (%) | 2 (4) | 1 (7) | NS |
| MWT > 30 mm or Z score > 6, n (%) | 8 (17) | 4 (28) | NS |
| Unexplained syncope, n (%) | 2 (4) | 6 (43) | 0.001 |
| ABPRE, n (%) | 10 (22) | 8 (57) | 0.016 |
| Echocardiographic Data | |||
| LVEDd, mm | 42 ± 6 | 42 ± 4 | NS |
| LAd, mm | 35 ± 7 | 42 ± 8 | 0.006 |
| LAd (Z-score) | 1.9 ± 1.4 | 3.4 ± 1.4 | 0.003 |
| MWT, mm | 21±7 | 23 ± 7 | NS |
| MWT (Z-score) | 4.4 ± 1.4 | 5.1 ± 1.7 | NS |
| LVOTGmax, mm Hg | 8 [9] | 10 [9] | NS |
| LVEF, % | 63 ± 5 | 59 ± 6 | 0.004 |
| CPET Data | No Event Group (n = 46 Patients) | Event Group (n = 14 Patients) | p-Values |
|---|---|---|---|
| Exercise time, minutes | 10.3 ± 1.7 | 9.8 ± 1.5 | NS |
| Peak workload, watts | 125 ± 43 | 89 ± 36 | 0.007 |
| Peak SBP, mm Hg | 38 ± 26 | 25 ± 20 | 0.042 |
| Peak HR, % of predicted | 80 ± 11 | 74±11 | NS |
| VO2 AT, mL/kg/min | 20 ± 4 | 14 ± 8 | <0.001 |
| Peak VO2, mL/kg/min | 30 ± 8 | 21±6 | <0.001 |
| Peak VO2, % of predicted | 67 ± 16 | 50±15 | 0.001 |
| Peak VO2 (Z-score) | −2.6 ± 1.1 | −3.6±1.1 | 0.004 |
| CP, mL/kg/min*mm Hg | 4557 ± 1793 | 2603 ± 1044 | <0.001 |
| CP%, % of predicted*mm Hg | 10,090 ± 3597 | 6174 ± 2246 | <0.001 |
| VE/VCO2 slope | 27.0 ± 4.1 | 29.7 ± 6.1 | 0.050 |
| VE/VCO2 slope (Z score) | −0.3 ± 1.2 | 0.1 ± 1.7 | NS |
| R.E.R. | 1.15 ± 0.1 | 1.14 ± 0.1 | NS |
| Composite Cardiovascular End-Point (n = 14 Events) | |||
|---|---|---|---|
| H.R. (95% C.I.) | p-Values | C-Index | |
| Unexplained syncope, n (%) | 2.58 (0.82–8.13) | 0.108 | 0.61 |
| LAd | 1.07 (1.00–1.15) | 0.041 | 0.58 |
| LAd (Z-score) | 1.79 (1.13–2.86) | 0.014 | 0.69 |
| LVEF, % | 0.90 (0.82–0.99) | 0.030 | 0.59 |
| Peak VO2, mL/kg/min | 0.92 (0.86–0.99) | 0.034 | 0.66 |
| Peak VO2, % of predicted | 0.96 (0.93–0.99) | 0.025 | 0.70 |
| Peak VO2 (Z-score) | 0.66 (0.41–1.06) | 0.089 | 0.61 |
| CP, mL/kg/min*mm Hg | 0.999 (0.998–0.999) | 0.031 | 0.69 |
| CP%, % of predicted*mm Hg | 0.997 (0.995–1.00) | 0.021 | 0.71 |
Publisher’s Note: MDPI stays neutral with regard to jurisdictional claims in published maps and institutional affiliations. |
© 2021 by the authors. Licensee MDPI, Basel, Switzerland. This article is an open access article distributed under the terms and conditions of the Creative Commons Attribution (CC BY) license (http://creativecommons.org/licenses/by/4.0/).
Share and Cite
Gallo, G.; Mastromarino, V.; Limongelli, G.; Calcagni, G.; Maruotti, A.; Ragni, L.; Valente, F.; Musumeci, M.B.; Adorisio, R.; Rubino, M.; et al. Insights from Cardiopulmonary Exercise Testing in Pediatric Patients with Hypertrophic Cardiomyopathy. Biomolecules 2021, 11, 376. https://doi.org/10.3390/biom11030376
Gallo G, Mastromarino V, Limongelli G, Calcagni G, Maruotti A, Ragni L, Valente F, Musumeci MB, Adorisio R, Rubino M, et al. Insights from Cardiopulmonary Exercise Testing in Pediatric Patients with Hypertrophic Cardiomyopathy. Biomolecules. 2021; 11(3):376. https://doi.org/10.3390/biom11030376
Chicago/Turabian StyleGallo, Giovanna, Vittoria Mastromarino, Giuseppe Limongelli, Giulio Calcagni, Antonello Maruotti, Luca Ragni, Fabio Valente, Maria Beatrice Musumeci, Rachele Adorisio, Marta Rubino, and et al. 2021. "Insights from Cardiopulmonary Exercise Testing in Pediatric Patients with Hypertrophic Cardiomyopathy" Biomolecules 11, no. 3: 376. https://doi.org/10.3390/biom11030376
APA StyleGallo, G., Mastromarino, V., Limongelli, G., Calcagni, G., Maruotti, A., Ragni, L., Valente, F., Musumeci, M. B., Adorisio, R., Rubino, M., Autore, C., & Magrì, D. (2021). Insights from Cardiopulmonary Exercise Testing in Pediatric Patients with Hypertrophic Cardiomyopathy. Biomolecules, 11(3), 376. https://doi.org/10.3390/biom11030376

