The Study of Ar I and Ne I Spectral Line Shapes in the Cathode Sheath Region of an Abnormal Glow Discharge
Abstract
1. Introduction
2. Description of Experimental Setup
3. Historical Background
3.1. The dc Stark Effect on Ar I Spectral Lines
3.2. The dc Stark Effect on Ne I Spectral Lines
4. Results
4.1. Results of the dc Stark Shift Measurements for Ar I Lines
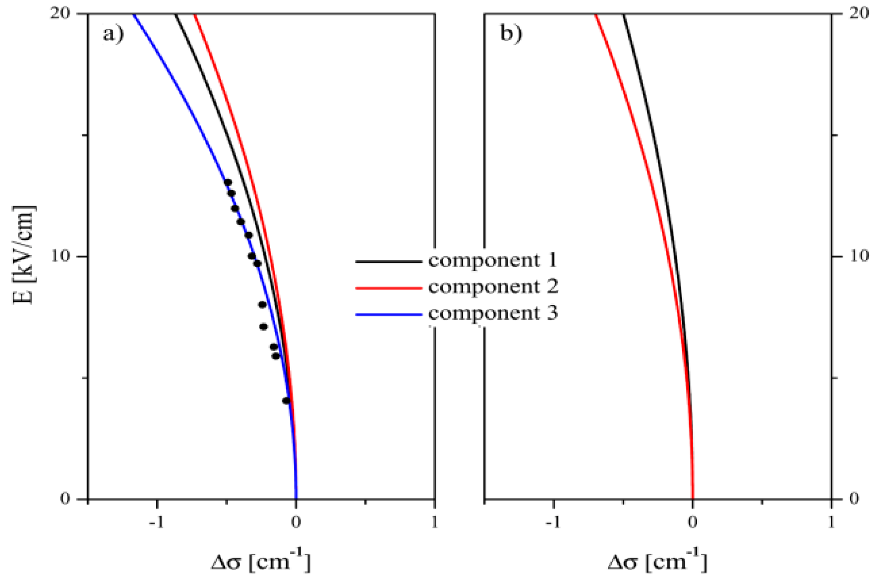
4.2. Results of the dc Stark Shift Measurements for Ne I Lines
5. Conclusions
Acknowledgments
Conflicts of Interest
References
- Jakubowski, N.; Bogaerts, A.; Hoffmann, V. Glow Discharges in Emission and Mass Spectrometry Atomic Spectroscopy in Elemental Analysis; Cullen, M., Ed.; Blackwell: Sheffield, UK, 2003. [Google Scholar]
- Chapman, B. Glow Discharge Processes Sputtering and Plasma Etching; John Wiley & Sons: New York, NY, USA, 1980. [Google Scholar]
- Marcus, R.K.; Broeckaert, J.A.C. Glow Discharge Plasmas in Analytical Spectroscopy; Wiley: Chichester, UK, 2003. [Google Scholar]
- Ryde, N. Atoms and Molecules in Electric Fields; Almqvist & Wiksell International: Stockholm, Sweden, 1976. [Google Scholar]
- Kuraica, M.M.; Konjević, N.; Videnović, I.R. Spectroscopic study of the cathode fall region of Grimm-type glow discharge in helium. Spectrochim. Acta B 1997, 52, 745–753. [Google Scholar] [CrossRef]
- Kuraica, M.M.; Konjević, N. Electric field measurement in the cathode fall region of a glow discharge in helium. Appl. Phys. Lett. 1997, 70, 1521–1523. [Google Scholar] [CrossRef]
- Windholz, L.; Winklhofer, E.; Drozdowski, R.; Kwela, J.; Waşowicz, T.J.; Heldt, J. Stark effect of atomic helium second triplet series in electric fields up to 1600 kV cm−1. Phys. Scr. 2008, 78, 065303. [Google Scholar] [CrossRef]
- Windholz, L.; Waşowicz, T.J.; Drozdowski, R.; Kwela, J. Stark effect of atomic Helium singlet lines. J. Opt. Soc. Am. B 2012, 29, 934–943. [Google Scholar] [CrossRef]
- Cvetanović, N.; Martinović, M.M.; Obradović, B.M.; Kuraica, M.M.J. Electric field measurement in gas discharges using stark shifts of He I lines and their forbidden counterparts. Phys. D Appl. Phys. 2015, 48, 205201. [Google Scholar] [CrossRef]
- Yatom, S.; Stambulchik, E.; Vekselman, V.; Krasik, Y.E. Spectroscopic study of plasma evolution in runaway nanosecond atmospheric-pressure He discharges. Phys. Rev. E 2013, 88, 013107. [Google Scholar] [CrossRef] [PubMed]
- Yatom, S.; Tskhai, S.; Krasik, Y.E. Electric field in a plasma channel in a high-pressure nanosecond discharge in hydrogen: A coherent anti-stokes Raman scattering study. Phys. Rev. Lett. 2013, 111, 255001. [Google Scholar] [CrossRef] [PubMed]
- Levko, D.; Yatom, S.; Krasik, Y.E. Particle-in-cell modeling of the nanosecond field emission driven discharge in pressurized hydrogen. J. Appl. Phys. 2018, 123, 083303. [Google Scholar] [CrossRef]
- Windholz, L. Stark effect of Ar I’-Lines. Phys. Scr. 1980, 21, 67–74. [Google Scholar] [CrossRef]
- Jäger, H.; Windholz, L. Stark Effect of Nel-Lines (I). Phys. Scr. 1984, 29, 344. [Google Scholar] [CrossRef]
- Windholz, L.; Neureiter, C. Laser spectroscopic measurements of the Stark shift of the Ne i lines at 5852 and 5882 A. Phys. Rev. A 1988, 37, 1978–1982. [Google Scholar] [CrossRef]
- Jäger, H.; Windholz, L.; Ziegelbecker, R.C. Stark effect of neon I–lines (II): designation of Stark levels according to theoretical results. Phys. Scr. 1989, 40, 740–744. [Google Scholar] [CrossRef]
- Ziegelbecker, R.C.; Schnizer, B.Z. Calculation of the Stark effect of neon I using jl coupled wave functions. Z. Phys. D Atoms Mol. Cluster 1987, 6, 327–335. [Google Scholar] [CrossRef]
- Weiss, Z.; Steers, E.B.M.; Šmíd, P.; Hoffmann, V. Towards a catalogue of glow discharge emission spectra. J. Anal. At. Spectrom. 2009, 24, 27. [Google Scholar] [CrossRef]
- Grimm, W. Eine neue glimmentladungslampe für die optische emissionsspektralanalyse. Spectrochim. Acta B 1968, 23, 443. [Google Scholar] [CrossRef]
- Weiss, Z.; (LECO Instrumente Plzeň, spol. s r.o., Plzeň, Czech Republic). Private communication with Konjević, N., (University of Belgrade, Belgrade, Serbia). 2011.
- Ferreira, N.P.; Human, H.G.C.; Butler, L.R.P. Kinetic temperatures and electron densities in the plasma of a side view Grimm-type glow discharge. Spectrochim. Acta B 1980, 35, 285–295. [Google Scholar] [CrossRef]
- Weiss, Z.; Steers, E.B.M.; Šmid, P.; Pickering, J.C. The GLADNET Catalogue of Glow Discharge Spectra: Part 1 finished! (almost). In Proceedings of the EW-GDS Meeting, Kingston, UK, 3–4 September 2012. [Google Scholar]
- Vasiljević, M.M.; Spasojević, Dj.; Šišović, N.M.; Konjević, N. Stark effect of Ar I lines for electric field strength diagnostics in the cathode sheath of glow discharge. Europhys. Lett. 2017, 119, 55001. [Google Scholar] [CrossRef]
- Majstorović, G.L.; Ivanović, N.V.; Šišović, N.M.; Djurović, S.; Konjević, N. Ar I and Ne I spectral line shapes for an abnormal glow discharge diagnostics. Plasma Sources Sci. Technol. 2013, 22, 045015. [Google Scholar] [CrossRef]
- Nakajima, T.; Uchitomi, N.; Adachi, Y.; Maeda, S.; Hirose, C. Stark Shift and Broadening of Atomic Lines as Observed on Optogalvanic Spectra of Noble Gases. J. Phys. Colloque. 1983, 44, C7-497–C7-504. [Google Scholar] [CrossRef]
- Šišović, N.M.; Ivanović, N.V.; Majstorović, G.L.; Konjević, N. Ne I spectral line shapes in Grimm-type glow discharge. J. Anal. At. Spectrom. 2014, 29, 2058–2063. [Google Scholar] [CrossRef]
- Ivanović, N.V.; Šišović, N.M.; Spasojević, D.; Konjević, N. Measurement of the DC Stark shift for visible NeI lines and electric field distribution in the cathode sheath of an abnormal glow discharge. J. Phys. D Appl. Phys. 2017, 50, 125201. [Google Scholar] [CrossRef]
- Bukvić, S.; Spasojević, D.; Žigman, V. Advanced fit technique for astrophysical spectra-Approach insensitive to a large fraction of outliers. Astron. Astrophys. 2008, 477, 967–977. [Google Scholar] [CrossRef]









| Emitter | Wavelength (nm) | Lower Level Conf., Term, J | Upper Level Conf., Term, J |
|---|---|---|---|
| Ar I | 518.775 | 3s23p5(2P°3/2) 4p2[1/2] 1 | 3s23p5(2P°1/2) 5d′2[3/2]° 2 |
| 522.127 | 3s23p5(2P°3/2) 4p2[5/2] 3 | 3s23p5(2P°3/2) 7d2[7/2]° 4 |
| Wavelength (nm) | a1 (kV−2) | a2 (cm−1) | A1 (kV−1) | A2 (kV−2cm−2) | A3 (kV−3cm−2) |
|---|---|---|---|---|---|
| 518.775 | - | - | 1.25× 10−1 | 1.51× 10−3 | −4.19× 10−6 |
| 522.127 | 4.23× 10−1 | −169.34 | - | - | - |
| Emitter | Wavelength (nm) | Lower Level Conf., Term, J | Upper Level Conf., Term, J |
|---|---|---|---|
| Ne I | 503.135 | 2s22p5(2P°3/2) 3p2[5/2] 3 | 2s22p5(2P°3/2) 5d2[5/2]° 3 |
| 503.775 | 2s22p5(2P°3/2) 3p2[5/2] 3 | 2s22p5(2P°3/2) 5d2[7/2]° 4 | |
| 507.420 | 2s22p5(2P°3/2) 3p2[5/2] 2 | 2s22p5(2P°3/2) 5d2[5/2]° 2 | |
| 508.038 | 2s22p5(2P°3/2) 3p2[5/2] 2 | 2s22p5(2P°3/2) 5d2[7/2]° 3 | |
| 511.367* | 2s22p5(2P°3/2) 3p2[1/2] 1 | 2s22p5(2P°1/2) 4d′2[3/2]° 1 | |
| 515.196 | 2s22p5(2P°3/2) 3p 2[3/2] 1 | 2s22p5(2P°3/2) 5d 2[5/2]° 2 | |
| 515.443 | 2s22p5(2P°3/2) 3p 2[3/2] 1 | 2s22p5(2P°3/2) 5d 2[3/2]° 1 | |
| 520.390 | 2s22p5(2P°3/2) 3p 2[3/2] 2 | 2s22p5(2P°3/2) 5d2[5/2]° 3 | |
| 520.886 | 2s22p5(2P°3/2) 3p 2[3/2] 2 | 2s22p5(2P°3/2) 5d 2[3/2]° 2 | |
| 534.109* | 2s22p5(2P°3/2) 3p2[1/2] 1 | 2s22p5(2P°3/2) 4d2[1/2]° 1 |
| Wavelength (nm) | Comp. | A1 (kV−2) | A2 (cm−1) | A3 (cm kV−2) |
|---|---|---|---|---|
| 511.367 | 1 | −6.111 × 10−2 | 2.783 × 101 | −4.700 × 10−5 |
| 2 | −8.889 × 10−2 | 5.165 × 101 | −1.370 × 10−4 | |
| 3 | −1.416 × 10−1 | 4.707 × 101 | −6.700 × 10−15 | |
| 534.109 | 1 | −7.935 × 10−2 | 7.138 × 101 | −1.470 × 10−4 |
| 2 | −2.330 × 10−1 | 1.883 × 102 | −5.200 × 10−5 |
| Wavelength (nm) | Emax [kV/cm] | Upper Level | C [cm/kV2] | ΔC [cm/kV2] |
|---|---|---|---|---|
| 503.135 520.390 | 13.4 | 2s22p5(2P°3/2) 5d 2[5/2]° 3 | −0.0238 | 0.005 |
| 507.420 515.196 | 2s22p5(2P°3/2) 5d 2[5/2]° 2 | −0.0229 | ||
| 515.442 | 2s22p5(2P°3/2) 5d2[3/2]° 1 | −0.0189 | ||
| 520.886 | 2s22p5(2P°3/2) 5d2[3/2]° 2 | −0.0138 |
© 2019 by the author. Licensee MDPI, Basel, Switzerland. This article is an open access article distributed under the terms and conditions of the Creative Commons Attribution (CC BY) license (http://creativecommons.org/licenses/by/4.0/).
Share and Cite
Ivanović, N.V. The Study of Ar I and Ne I Spectral Line Shapes in the Cathode Sheath Region of an Abnormal Glow Discharge. Atoms 2019, 7, 9. https://doi.org/10.3390/atoms7010009
Ivanović NV. The Study of Ar I and Ne I Spectral Line Shapes in the Cathode Sheath Region of an Abnormal Glow Discharge. Atoms. 2019; 7(1):9. https://doi.org/10.3390/atoms7010009
Chicago/Turabian StyleIvanović, Nikola V. 2019. "The Study of Ar I and Ne I Spectral Line Shapes in the Cathode Sheath Region of an Abnormal Glow Discharge" Atoms 7, no. 1: 9. https://doi.org/10.3390/atoms7010009
APA StyleIvanović, N. V. (2019). The Study of Ar I and Ne I Spectral Line Shapes in the Cathode Sheath Region of an Abnormal Glow Discharge. Atoms, 7(1), 9. https://doi.org/10.3390/atoms7010009
