Does Carrier Envelope Phase Affect the Ionization Site in a Neutral Diatomic Molecule?
Abstract
1. Introduction
2. Simulating Strong Field Ionization
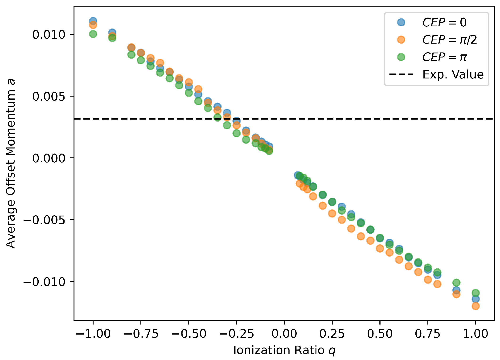
3. Analyzing Momentum Data
4. Conclusions
Author Contributions
Funding
Data Availability Statement
Acknowledgments
Conflicts of Interest
Abbreviations
| MDPI | Multidisciplinary Digital Publishing Institute |
| DOAJ | Directory of Open Access Journals |
| CEP | Carrier envelope phase |
| PMD | Photoelectron momentum distribution |
| QTMC | Quantum Trajectory Monte Carlo |
References
- Keldysh, L. Ionization in the field of a strong electromagnetic wave. Sov. Phys. JETP 1965, 20, 1307–1314. [Google Scholar]
- Zuo, T.; Bandrauk, A.D. Charge-resonance-enhanced ionization of diatomic molecular ions by intense lasers. Phys. Rev. A 1995, 52, R2511–R2514. [Google Scholar] [CrossRef] [PubMed]
- Tong, X.M.; Zhao, Z.; Lin, C.D. Theory of molecular tunneling ionization. Phys. Rev. A 2002, 66, 033402. [Google Scholar] [CrossRef]
- Liu, M.; Liu, Y. Application of the partial-Fourier-transform approach for tunnel ionization of molecules. Phys. Rev. A 2016, 93, 043426. [Google Scholar] [CrossRef]
- Seideman, T.; Ivanov, M.Y.; Corkum, P.B. Role of electron localization in intense-field molecular ionization. Phys. Rev. Lett. 1995, 75, 2819. [Google Scholar] [CrossRef] [PubMed]
- Staudte, A.; Pavičić, D.; Chelkowski, S.; Zeidler, D.; Meckel, M.; Niikura, H.; Schöffler, M.; Schössler, S.; Ulrich, B.; Rajeev, P.P.; et al. Attosecond Strobing of Two-Surface Population Dynamics in Dissociating H2+. Phys. Rev. Lett. 2007, 98, 073003. [Google Scholar] [CrossRef]
- Constant, E.; Stapelfeldt, H.; Corkum, P.B. Observation of Enhanced Ionization of Molecular Ions in Intense Laser Fields. Phys. Rev. Lett. 1996, 76, 4140–4143. [Google Scholar] [CrossRef]
- Xin, L.; Qin, H.C.; Wu, W.Y.; He, F. Fraunhofer-like diffracted lateral photoelectron momentum distributions of H2+ in charge-resonance-enhanced ionization in strong laser fields. Phys. Rev. A 2015, 92, 063803. [Google Scholar] [CrossRef]
- Posthumus, J.H. The dynamics of small molecules in intense laser fields. Rep. Prog. Phys. 2004, 67, 623. [Google Scholar] [CrossRef]
- Bocharova, I.; Karimi, R.; Penka, E.F.; Brichta, J.P.; Lassonde, P.; Fu, X.; Kieffer, J.C.; Bandrauk, A.D.; Litvinyuk, I.; Sanderson, J.; et al. Charge Resonance Enhanced Ionization of CO2 Probed by Laser Coulomb Explosion Imaging. Phys. Rev. Lett. 2011, 107, 063201. [Google Scholar] [CrossRef]
- Betsch, K.J.; Pinkham, D.W.; Jones, R.R. Directional Emission of Multiply Charged Ions During Dissociative Ionization in Asymmetric Two-Color Laser Fields. Phys. Rev. Lett. 2010, 105, 223002. [Google Scholar] [CrossRef] [PubMed]
- Wu, J.; Meckel, M.; Voss, S.; Sann, H.; Kunitski, M.; Schmidt, L.P.H.; Czasch, A.; Kim, H.; Jahnke, T.; Dörner, R. Coulomb Asymmetry in Strong Field Multielectron Ionization of Diatomic Molecules. Phys. Rev. Lett. 2012, 108, 043002. [Google Scholar] [CrossRef] [PubMed]
- Liu, K.; Barth, I. Identifying the Tunneling Site in Strong-Field Ionization of H2+. Phys. Rev. Lett. 2017, 119, 243204. [Google Scholar] [CrossRef] [PubMed]
- Ortmann, L.; AlShafey, A.; Staudte, A.; Landsman, A.S. Tracking the Ionization Site in Neutral Molecules. Phys. Rev. Lett. 2021, 127, 213201. [Google Scholar] [CrossRef] [PubMed]
- Baltuška, A.; Udem, T.; Uiberacker, M.; Hentschel, M.; Goulielmakis, E.; Gohle, C.; Holzwarth, R.; Yakovlev, V.S.; Scrinzi, A.; Hänsch, T.W.; et al. Attosecond control of electronic processes by intense light fields. Nature 2003, 421, 611–615. [Google Scholar] [CrossRef]
- Ivanov, M.Y.; Spanner, M.; Smirnova, O. Anatomy of strong field ionization. J. Mod. Opt. 2005, 52, 165–184. [Google Scholar] [CrossRef]
- Liu, M.M.; Li, M.; Wu, C.; Gong, Q.; Staudte, A.; Liu, Y. Phase Structure of Strong-Field Tunneling Wave Packets from Molecules. Phys. Rev. Lett. 2016, 116, 163004. [Google Scholar] [CrossRef]
- Kopold, R.; Becker, W.; Kleber, M.; Paulus, G. Channel-closing effects in high-order above-threshold ionization and high-order harmonic generation. J. Phys. B At. Mol. Opt. Phys. 2002, 35, 217. [Google Scholar] [CrossRef]
- Augst, S.; Meyerhofer, D.D.; Strickland, D.; Chin, S.L. Laser ionization of noble gases by Coulomb-barrier suppression. JOSA B 1991, 8, 858–867. [Google Scholar] [CrossRef]
- Shvetsov-Shilovski, N.I.; Lein, M.; Madsen, L.B.; Räsänen, E.; Lemell, C.; Burgdörfer, J.; Arbó, D.G.; Tőkési, K. Semiclassical two-step model for strong-field ionization. Phys. Rev. A 2016, 94, 013415. [Google Scholar] [CrossRef]
- Ortmann, L.; Pérez-Hernández, J.A.; Ciappina, M.F.; Schötz, J.; Chacón, A.; Zeraouli, G.; Kling, M.F.; Roso, L.; Lewenstein, M.; Landsman, A.S. Emergence of a Higher Energy Structure in Strong Field Ionization with Inhomogeneous Electric Fields. Phys. Rev. Lett. 2017, 119, 053204. [Google Scholar] [CrossRef] [PubMed]
- Schmidt, M.W.; Baldridge, K.K.; Boatz, J.A.; Elbert, S.T.; Gordon, M.S.; Jensen, J.H.; Koseki, S.; Matsunaga, N.; Nguyen, K.A.; Su, S.; et al. General atomic and molecular electronic structure system. J. Comput. Chem. 1993, 14, 1347–1363. [Google Scholar] [CrossRef]
- Li, M.; Geng, J.W.; Han, M.; Liu, M.M.; Peng, L.Y.; Gong, Q.; Liu, Y. Subcycle nonadiabatic strong-field tunneling ionization. Phys. Rev. A 2016, 93, 013402. [Google Scholar] [CrossRef]
- Li, M.; Geng, J.W.; Liu, H.; Deng, Y.; Wu, C.; Peng, L.Y.; Gong, Q.; Liu, Y. Classical-Quantum Correspondence for Above-Threshold Ionization. Phys. Rev. Lett. 2014, 112, 113002. [Google Scholar] [CrossRef]
- Shvetsov-Shilovski, N.I.; Dimitrovski, D.; Madsen, L.B. Ionization in elliptically polarized pulses: Multielectron polarization effects and asymmetry of photoelectron momentum distributions. Phys. Rev. A 2012, 85, 023428. [Google Scholar] [CrossRef]
- Meckel, M.; Staudte, A.; Patchkovskii, S.; Villeneuve, D.; Corkum, P.; Dörner, R.; Spanner, M. Signatures of the continuum electron phase in molecular strong-field photoelectron holography. Nat. Phys. 2014, 10, 594–600. [Google Scholar] [CrossRef]
- Bondar, D.I.; Liu, W.K. Shapes of leading tunnelling trajectories for single-electron molecular ionization. J. Phys. Math. Theor. 2011, 44, 275301. [Google Scholar] [CrossRef]



Disclaimer/Publisher’s Note: The statements, opinions and data contained in all publications are solely those of the individual author(s) and contributor(s) and not of MDPI and/or the editor(s). MDPI and/or the editor(s) disclaim responsibility for any injury to people or property resulting from any ideas, methods, instructions or products referred to in the content. |
© 2023 by the authors. Licensee MDPI, Basel, Switzerland. This article is an open access article distributed under the terms and conditions of the Creative Commons Attribution (CC BY) license (https://creativecommons.org/licenses/by/4.0/).
Share and Cite
Schimmoller, A.; Pasquinilli, H.; Landsman, A.S. Does Carrier Envelope Phase Affect the Ionization Site in a Neutral Diatomic Molecule? Atoms 2023, 11, 67. https://doi.org/10.3390/atoms11040067
Schimmoller A, Pasquinilli H, Landsman AS. Does Carrier Envelope Phase Affect the Ionization Site in a Neutral Diatomic Molecule? Atoms. 2023; 11(4):67. https://doi.org/10.3390/atoms11040067
Chicago/Turabian StyleSchimmoller, Alex, Harrison Pasquinilli, and Alexandra S. Landsman. 2023. "Does Carrier Envelope Phase Affect the Ionization Site in a Neutral Diatomic Molecule?" Atoms 11, no. 4: 67. https://doi.org/10.3390/atoms11040067
APA StyleSchimmoller, A., Pasquinilli, H., & Landsman, A. S. (2023). Does Carrier Envelope Phase Affect the Ionization Site in a Neutral Diatomic Molecule? Atoms, 11(4), 67. https://doi.org/10.3390/atoms11040067
