Electron Capture and Ionisation in Collisions of Ne10+ and Li3+ with Atomic Hydrogen
Abstract
1. Introduction
2. Details of the WP-CCC Method
3. Results and Discussion
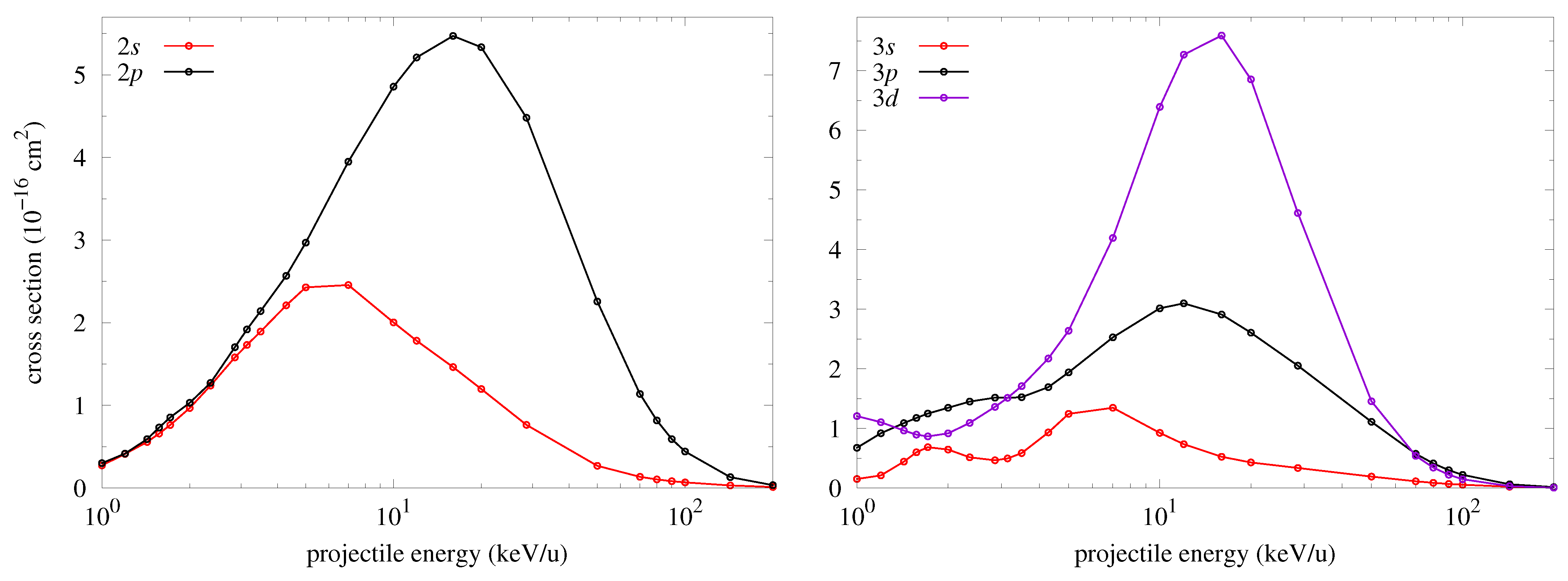
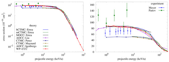
3.1. The Ne Projectile
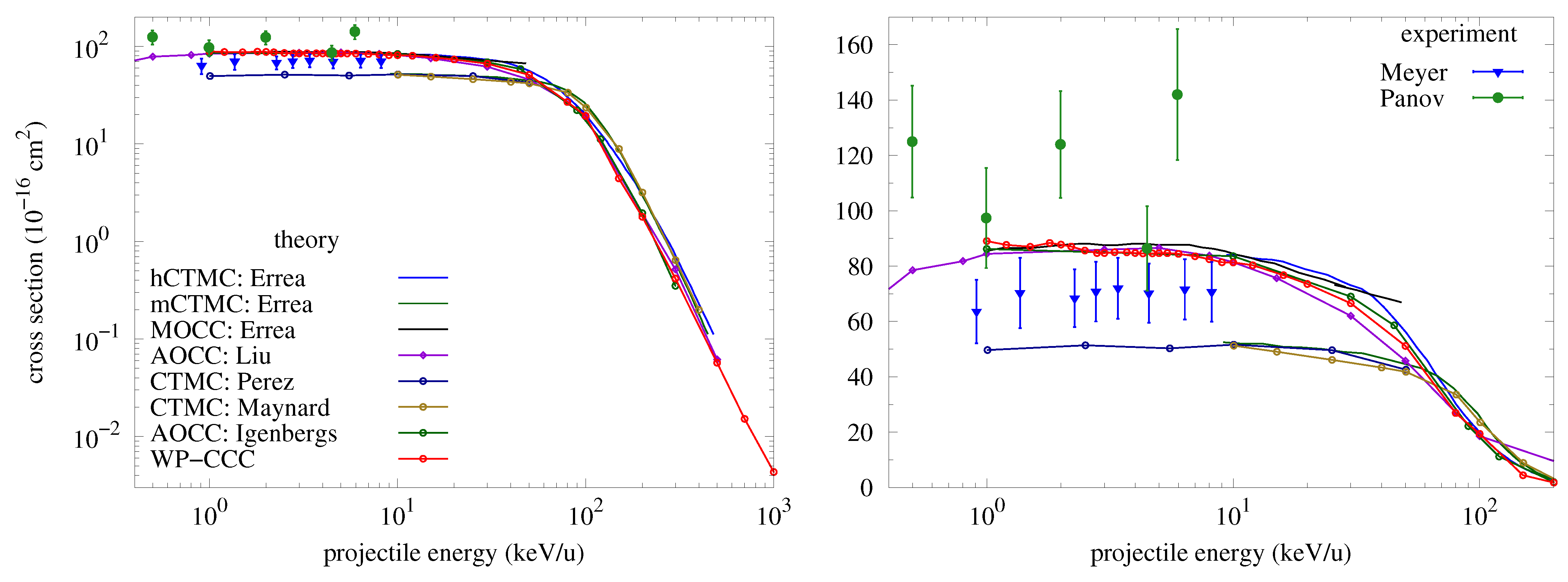
3.2. The Li Projectile
4. Conclusions
Author Contributions
Funding
Data Availability Statement
Acknowledgments
Conflicts of Interest
References
- Janev, R.K. Metallic Impurities in Fusion Plasmas. Phys. Scr. 1991, T37, 5. [Google Scholar] [CrossRef]
- Marchuk, O. The status of atomic models for beam emission spectroscopy in fusion plasmas. Phys. Scr. 2014, 89, 114010. [Google Scholar] [CrossRef]
- Isler, R.C. An overview of charge-exchange spectroscopy as a plasma diagnostic. Plasma Phys. Control. Fusion 1994, 36, 171. [Google Scholar] [CrossRef]
- Abdurakhmanov, I.B.; Kadyrov, A.S.; Bray, I. Wave-packet continuum-discretization approach to ion-atom collisions: Nonrearrangement scattering. Phys. Rev. A 2016, 94, 022703. [Google Scholar] [CrossRef]
- Abdurakhmanov, I.B.; Bailey, J.J.; Kadyrov, A.S.; Bray, I. Wave-packet continuum-discretization approach to ion-atom collisions including rearrangement: Application to differential ionization in proton-hydrogen scattering. Phys. Rev. A 2018, 97, 032707. [Google Scholar] [CrossRef]
- Panov, M.N.; Basalaev, A.A.; Lozhkin, K.O. Interaction of Fully Stripped, Hydrogenlike and Heliumlike C, N, O, Ne and Ar Ions with H and He Atoms and H2 Molecules. Phys. Scr. 1983, T3, 124. [Google Scholar] [CrossRef]
- Meyer, F.W.; Howald, A.M.; Havener, C.C.; Phaneuf, R.A. Low-energy total-electron-capture cross sections for fully stripped and H-like projectiles incident on H and H2. Phys. Rev. A 1985, 32, 3310. [Google Scholar] [CrossRef]
- Shah, M.B.; Goffe, T.V.; Gilbody, H.B. Electron capture and loss by fast lithium ions in H and H2. J. Phys. B At. Mol. Phys. 1978, 11, L233–L236. [Google Scholar] [CrossRef]
- Seim, W.; Muller, A.; Wirkner-Bott, I.; Salzborn, E. Electron capture by Lii+(i = 2,3), Ni+ and Nei+(i = 2,3,4,5) ions from atomic hydrogen. J. Phys. B At. Mol. Phys. 1981, 14, 3475–3491. [Google Scholar] [CrossRef]
- Shah, M.B.; Gilbody, H.B. Experimental study of the ionisation of atomic hydrogen by fast lithium ions. J. Phys. B At. Mol. Phys. 1982, 15, 413–421. [Google Scholar] [CrossRef]
- Fritsch, W.; Lin, C.D. Electron transfer in Li3++H collisions at low and intermediate energies. J. Phys. B At. Mol. Phys. 1982, 15, L281–L287. [Google Scholar] [CrossRef]
- Toshima, N.; Tawara, H. Excitation, Ionization, and Electron Capture Cross Sections of Atomic Hydrogen in Collisions with Multiply Charged Ions; Technical Report; National Institute for Fusion Science: Gifu, Japan, 1995; NIFS-DATA–26. [Google Scholar]
- Igenbergs, K. Calculations of Cross Sections Relevant for Diagnostics of Hot Fusion Plasmas. Ph.D. Thesis, Vienna University of Technology, Vienna, Austria, 2011. [Google Scholar]
- Liu, L.; Li, X.Y.; Wang, J.G.; Janev, R.K. Cross sections for electron capture and excitation in collisions of Liq+ (q = 1, 2, 3) with atomic hydrogen. Phys. Plasmas 2014, 21, 062513. [Google Scholar] [CrossRef]
- Agueny, H.; Hansen, J.; Dubois, A.; Makhoute, A.; Taoutioui, A.; Sisourat, N. Electron capture, ionization and excitation cross sections for keV collisions between fully stripped ions and atomic hydrogen in ground and excited states. At. Data Nucl. Data Tables 2019, 129–130, 101281. [Google Scholar] [CrossRef]
- Liu, L.; Wu, Y.; Wang, J.; Janev, R. Total and subshell-selective charge exchange cross sections in collisions of highly-charged Ne ions with atomic hydrogen. At. Data Nucl. Data Tables 2021, 143, 101464. [Google Scholar] [CrossRef]
- Datta, S.; Mandal, C.R.; Mukherjee, S.C.; Sil, N.C. Calculation of cross sections for electron capture by fast Li3+ ions from atomic hydrogen in the continuum distorted-wave approximation. Phys. Rev. A 1982, 26, 2551–2566. [Google Scholar] [CrossRef]
- Crothers, D.S.F.; McCann, J.F. Ionisation of atoms by ion impact. J. Phys. B At. Mol. Phys. 1983, 16, 3229–3242. [Google Scholar] [CrossRef]
- Alt, E.O.; Avakov, G.V.; Blokhintsev, L.D.; Kadyrov, A.S.; Mukhamedzhanov, A.M. Charge-exchange reactions in a three-body eikonal approach. J. Phys. B At. Mol. Opt. Phys. 1994, 27, 4653–4674. [Google Scholar] [CrossRef]
- Janev, R.K.; Solov’ev, E.A.; Wang, Y. Electron capture, excitation and ionization in slow collisions of ions with ground-state and metastable hydrogen atoms. J. Phys. B At. Mol. Opt. Phys. 1996, 29, 2497–2514. [Google Scholar] [CrossRef]
- Errea, L.F.; Illescas, C.; Méndez, L.; Pons, B.; Riera, A.; Suárez, J. Classical and semi-classical treatments of Li3+, Ne10++H(1s) collisions. J. Phys. B At. Mol. Opt. Phys. 2004, 37, 4323. [Google Scholar] [CrossRef]
- Maynard, G.; Janev, R.K.; Katsonis, K. Electron capture and ionization in collisions of multicharged neon ions with atomic hydrogen. J. Phys. B At. Mol. Opt. Phys. 1992, 25, 437. [Google Scholar] [CrossRef]
- Perez, J.; Olson, R.; Beiersdorfer, P. Charge transfer and X-ray emission reactions involving highly charged ions and neutral hydrogen. J. Phys. B At. Mol. Opt. Phys. 2001, 34, 3063. [Google Scholar] [CrossRef]
- Delibašić, D.; Milojević, N.; Mančev, I.; Belkić, D. Electron transfer from atomic hydrogen to multiply-charged nuclei at intermediate and high energies. At. Data Nucl. Data Tables 2021, 139, 101417. [Google Scholar] [CrossRef]
- Leung, A.C.K.; Kirchner, T. Two-Center Basis Generator Method Calculations for Li3+, C3+, and O3+, Ion Impact on Ground State Hydrogen. Atoms 2022, 10, 11. [Google Scholar] [CrossRef]
- Abdurakhmanov, I.B.; Erkilic, O.; Kadyrov, A.S.; Bray, I.; Avazbaev, S.K.; Mukhamedzhanov, A.M. Balmer emission induced by proton impact on atomic hydrogen. J. Phys. B At. Mol. Opt. Phys. 2019, 52, 105701. [Google Scholar] [CrossRef]
- Abdurakhmanov, I.B.; Alladustov, S.U.; Bailey, J.J.; Kadyrov, A.S.; Bray, I. Proton scattering from excited states of atomic hydrogen. Plasma Phys. Control. Fusion 2018, 60, 095009. [Google Scholar] [CrossRef]
- Plowman, C.T.; Abdurakhmanov, I.B.; Bray, I.; Kadyrov, A.S. Effective one-electron approach to proton collisions with molecular hydrogen. Eur. Phys. J. D 2022, 76, 31. [Google Scholar] [CrossRef]
- Plowman, C.T.; Abdurakhmanov, I.B.; Bray, I.; Kadyrov, A.S. Differential scattering in proton collisions with molecular hydrogen. Eur. Phys. J. D 2022, 76, 129. [Google Scholar] [CrossRef]
- Faulkner, J.; Abdurakhmanov, I.B.; Alladustov, S.U.; Kadyrov, A.S.; Bray, I. Electron capture, excitation and ionization in He2+-H and H+-He+ collisions. Plasma Phys. Control. Fusion 2019, 61, 095005. [Google Scholar] [CrossRef]
- Abdurakhmanov, I.B.; Massen-Hane, K.; Alladustov, S.U.; Bailey, J.J.; Kadyrov, A.S.; Bray, I. Ionization and electron capture in collisions of bare carbon ions with hydrogen. Phys. Rev. A 2018, 98, 062710. [Google Scholar] [CrossRef]
- Antonio, N.W.; Plowman, C.T.; Abdurakhmanov, I.B.; Bray, I.; Kadyrov, A.S. Integrated total and state-selective cross sections for bare beryllium ion collisions with atomic hydrogen. J. Phys. B At. Mol. Opt. Phys. 2021, 54, 175201. [Google Scholar] [CrossRef]
- Kotian, A.M.; Plowman, C.T.; Abdurakhmanov, I.B.; Bray, I.; Kadyrov, A.S. State-selective electron capture in collisions of fully stripped neon ions with ground-state hydrogen. J. Phys. B At. Mol. Opt. Phys. 2022, 55, 115201. [Google Scholar] [CrossRef]
- Alladustov, S.U.; Abdurakhmanov, I.B.; Kadyrov, A.S.; Bray, I.; Bartschat, K. Wave-packet continuum-discretization approach to proton collisions with helium. Phys. Rev. A 2019, 99, 052706. [Google Scholar] [CrossRef]
- Spicer, K.H.; Plowman, C.T.; Abdurakhmanov, I.B.; Kadyrov, A.S.; Bray, I.; Alladustov, S.U. Differential study of proton-helium collisions at intermediate energies: Elastic scattering, excitation, and electron capture. Phys. Rev. A 2021, 104, 032818. [Google Scholar] [CrossRef]
- Spicer, K.H.; Plowman, C.T.; Abdurakhmanov, I.B.; Alladustov, S.U.; Bray, I.; Kadyrov, A.S. Proton-helium collisions at intermediate energies: Singly differential ionization cross sections. Phys. Rev. A 2021, 104, 052815. [Google Scholar] [CrossRef]
- Toshima, N. Coupled-channel study of collision processes involving highly-charged ions. Phys. Scr. 1997, T73, 144–148. [Google Scholar] [CrossRef]
- IAEA Coordinated Research Project: Data for Atomic Processes of Neutral Beams in Fusion Plasma. Available online: https://amdis.iaea.org/CRP/neutral-beams (accessed on 1 October 2022).




Publisher’s Note: MDPI stays neutral with regard to jurisdictional claims in published maps and institutional affiliations. |
© 2022 by the authors. Licensee MDPI, Basel, Switzerland. This article is an open access article distributed under the terms and conditions of the Creative Commons Attribution (CC BY) license (https://creativecommons.org/licenses/by/4.0/).
Share and Cite
Kotian, A.M.; Plowman, C.T.; Abdurakhmanov, I.B.; Bray, I.; Kadyrov, A.S. Electron Capture and Ionisation in Collisions of Ne10+ and Li3+ with Atomic Hydrogen. Atoms 2022, 10, 144. https://doi.org/10.3390/atoms10040144
Kotian AM, Plowman CT, Abdurakhmanov IB, Bray I, Kadyrov AS. Electron Capture and Ionisation in Collisions of Ne10+ and Li3+ with Atomic Hydrogen. Atoms. 2022; 10(4):144. https://doi.org/10.3390/atoms10040144
Chicago/Turabian StyleKotian, Aks M., Corey T. Plowman, Ilkhom B. Abdurakhmanov, Igor Bray, and Alisher S. Kadyrov. 2022. "Electron Capture and Ionisation in Collisions of Ne10+ and Li3+ with Atomic Hydrogen" Atoms 10, no. 4: 144. https://doi.org/10.3390/atoms10040144
APA StyleKotian, A. M., Plowman, C. T., Abdurakhmanov, I. B., Bray, I., & Kadyrov, A. S. (2022). Electron Capture and Ionisation in Collisions of Ne10+ and Li3+ with Atomic Hydrogen. Atoms, 10(4), 144. https://doi.org/10.3390/atoms10040144

