Unraveling the Association of Liver Steatosis and Fibrosis with Vitamin B12: A Cross-Sectional Study
Abstract
1. Introduction
2. Materials and Methods
2.1. Study Design and Participants
2.2. Outcome Measures
2.3. Statistical Analysis
3. Results
3.1. Baseline Characteristics
3.2. NAFLD vs. Non-NAFLD: Clinical and Analytical Comparison
3.3. Correlation Between VB12 Levels, Hepatic Steatosis, and Liver Fibrosis in NAFLD and Non-NAFLD Patients
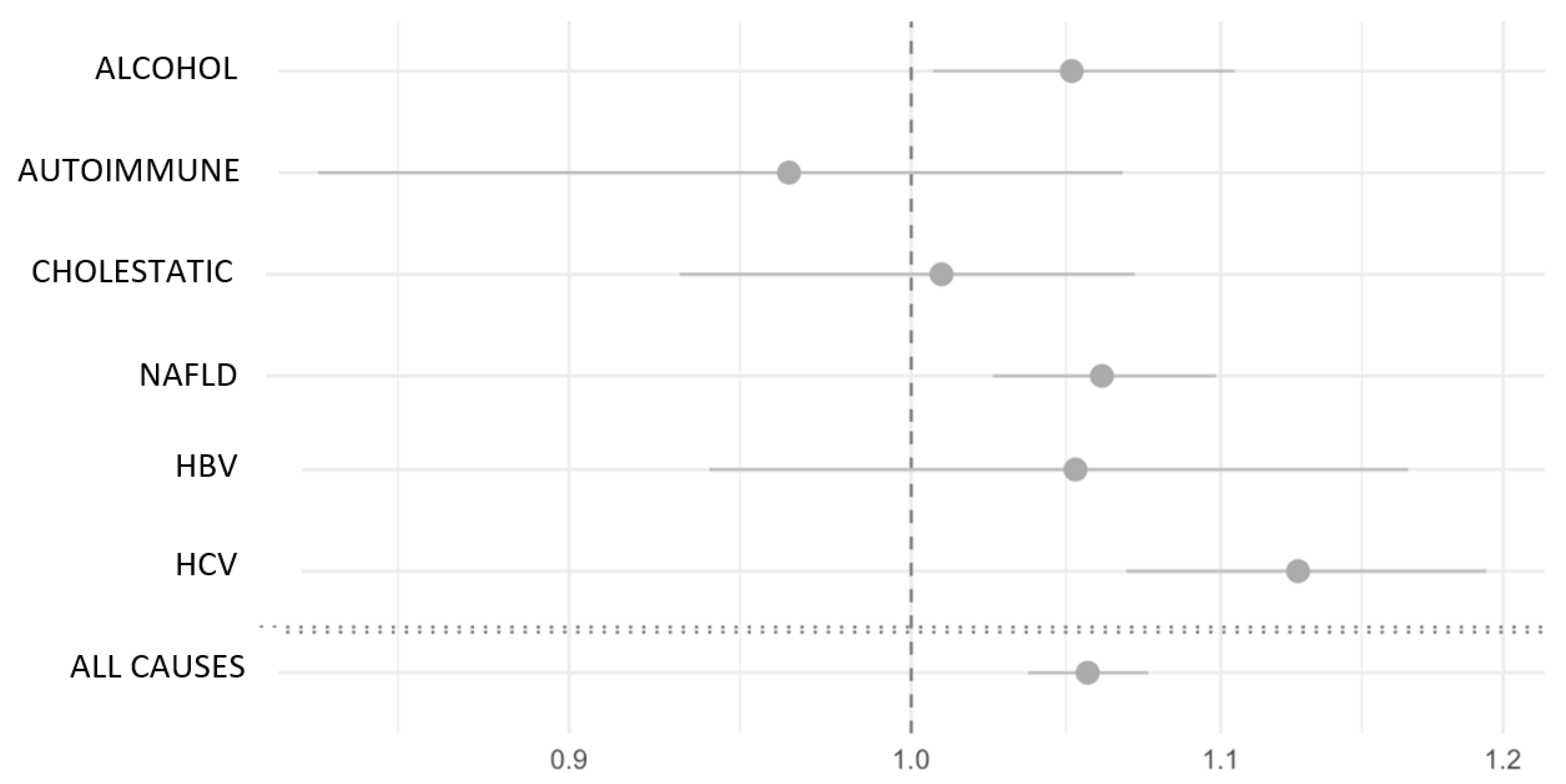
3.4. Association Between VB12 Levels and Severe Fibrosis: NAFLD Group vs. Other Liver Diseases
4. Discussion
5. Conclusions
Author Contributions
Funding
Institutional Review Board Statement
Informed Consent Statement
Data Availability Statement
Acknowledgments
Conflicts of Interest
References
- Nassir, F.; Rector, R.S.; Hammoud, G.M.; Ibdah, J.A. Pathogenesis and Prevention of Hepatic Steatosis. Gastroenterol. Hepatol. 2015, 11, 167–175. [Google Scholar]
- Toshikuni, N.; Tsutsumi, M.; Arisawa, T. Clinical Differences between Alcoholic Liver Disease and Nonalcoholic Fatty Liver Disease. World J. Gastroenterol. 2014, 20, 8393–8406. [Google Scholar] [CrossRef] [PubMed]
- Rehm, J. The Risks Associated with Alcohol Use and Alcoholism. Alcohol. Res. Health 2011, 34, 135–143. [Google Scholar] [PubMed]
- Poznyak, V.; Fleischmann, A.; Rekve, D.; Rylett, M.; Rehm, J.; Gmel, G. The World Health Organization’s Global Monitoring System on Alcohol and Health. Alcohol Res. Curr. Rev. 2013, 35, 244–249. [Google Scholar]
- Eslam, M.; Sanyal, A.J.; George, J. MAFLD: A Consensus-Driven Proposed Nomenclature for Metabolic Associated Fatty Liver Disease. Gastroenterology 2020, 158, 1999–2014.e1. [Google Scholar] [CrossRef] [PubMed]
- Kasper, P.; Martin, A.; Lang, S.; Kütting, F.; Goeser, T.; Demir, M.; Steffen, H.M. NAFLD and Cardiovascular Diseases: A Clinical Review. Clin. Res. Cardiol. Off. J. Ger. Card. Soc. 2021, 110, 921–937. [Google Scholar] [CrossRef]
- Torruellas, C.; French, S.W.; Medici, V. Diagnosis of Alcoholic Liver Disease. World J. Gastroenterol. 2014, 20, 11684–11699. [Google Scholar] [CrossRef]
- Cortez-Pinto, H.; Camilo, M.E. Non-Alcoholic Fatty Liver Disease/Non-Alcoholic Steatohepatitis (NAFLD/NASH): Diagnosis and Clinical Course. Best Pract. Res. Clin. Gastroenterol. 2004, 18, 1089–1104. [Google Scholar] [CrossRef]
- Targher, G.; Byrne, C.D.; Tilg, H. NAFLD and Increased Risk of Cardiovascular Disease: Clinical Associations, Pathophysiological Mechanisms and Pharmacological Implications. Gut 2020, 69, 1691. [Google Scholar] [CrossRef]
- Konyn, P.; Ahmed, A.; Kim, D. Causes and Risk Profiles of Mortality Among Individuals with Nonalcoholic Fatty Liver Disease. Clin. Mol. Hepatol. 2023, 29, S43–S57. [Google Scholar] [CrossRef]
- Stabler, S.P. Chapter 15—Vitamin B12. In Present Knowledge in Nutrition, 11th ed.; Marriott, B.P., Birt, D.F., Stallings, V.A., Yates, A.A., Eds.; Academic Press: New York, NY, USA, 2020; pp. 257–271. ISBN 978-0-323-66162-1. [Google Scholar]
- Graham, I.M.; O’Callaghan, P. Vitamins, Homocysteine and Cardiovascular Risk. Cardiovasc. Drugs Ther. 2002, 16, 383–389. [Google Scholar] [CrossRef] [PubMed]
- Obeid, R.; Heil, S.G.; Verhoeven, M.M.A.; van den Heuvel, E.; de Groot, L.; Eussen, S. Vitamin B12 Intake From Animal Foods, Biomarkers, and Health Aspects. Front. Nutr. 2019, 6, 93. [Google Scholar] [CrossRef] [PubMed]
- Sandoval, C.; Farías, J.; Zamorano, M.; Herrera, C. Vitamin Supplements as a Nutritional Strategy against Chronic Alcohol Consumption? An Updated Review. Antioxidants 2022, 11, 564. [Google Scholar] [CrossRef]
- Gibson, A.; Woodside, J.V.; Young, I.S.; Sharpe, P.C.; Mercer, C.; Patterson, C.C.; McKinley, M.C.; Kluijtmans, L.A.; Whitehead, A.S.; Evans, A. Alcohol Increases Homocysteine and Reduces B Vitamin Concentration in Healthy Male Volunteers—A Randomized, Crossover Intervention Study. QJM Mon. J. Assoc. Physicians 2008, 101, 881–887. [Google Scholar] [CrossRef]
- van der Gaag, M.S.; Ubbink, J.B.; Sillanaukee, P.; Nikkari, S.; Hendriks, H.F. Effect of Consumption of Red Wine, Spirits, and Beer on Serum Homocysteine. Lancet 2000, 355, 1522. [Google Scholar] [CrossRef]
- Laufer, E.M.; Hartman, T.J.; Baer, D.J.; Gunter, E.W.; Dorgan, J.F.; Campbell, W.S.; Clevidence, B.A.; Brown, E.D.; Albanes, D.; Judd, J.T.; et al. Effects of Moderate Alcohol Consumption on Folate and Vitamin B(12) Status in Postmenopausal Women. Eur. J. Clin. Nutr. 2004, 58, 1518–1524. [Google Scholar] [CrossRef] [PubMed][Green Version]
- Beulens, J.W.; Sierksma, A.; Schaafsma, G.; Kok, F.J.; Struys, E.A.; Jakobs, C.; Hendriks, H.F. Kinetics of Homocysteine Metabolism After Moderate Alcohol Consumption. Alcohol. Clin. Exp. Res. 2005, 29, 739–745. [Google Scholar] [CrossRef]
- Cylwik, B.; Czygier, M.; Daniluk, M.; Chrostek, L.; Szmitkowski, M. Vitamin B12 concentration in the blood of alcoholics. Pol. Merkur. Lek. Organ Pol. Tow. Lek. 2010, 28, 122–125. [Google Scholar]
- Muro, N.; Bujanda, L.; Sarasqueta, C.; Gil, I.; Hijona, E.; Cosme, A.; Arenas, J.; Elosegui, M.E.; Sarasola, M.; Calpasoro, J.; et al. Plasma levels of folate and vitamin B(12) in patients with chronic liver disease. Gastroenterol. Y Hepatol. 2010, 33, 280–287. [Google Scholar] [CrossRef]
- Koplay, M.; Gulcan, E.; Özkan, F. Association Between Serum Vitamin B12 Levels and the Degree of Steatosis in Patients with Nonalcoholic Fatty Liver Disease. J. Investig. Med. Off. Publ. Am. Fed. Clin. Res. 2011, 59, 1137–1140. [Google Scholar] [CrossRef]
- Mahamid, M.; Mahroum, N.; Bragazzi, N.L.; Shalaata, K.; Yavne, Y.; Adawi, M.; Amital, H.; Watad, A. Folate and B12 Levels Correlate with Histological Severity in NASH Patients. Nutrients 2018, 10, 440. [Google Scholar] [CrossRef] [PubMed]
- Li, L.; Huang, Q.; Yang, L.; Zhang, R.; Gao, L.; Han, X.; Ji, L.; Zou, X. The Association between Non-Alcoholic Fatty Liver Disease (NAFLD) and Advanced Fibrosis with Serological Vitamin B12 Markers: Results from the NHANES 1999–2004. Nutrients 2022, 14, 1224. [Google Scholar] [CrossRef]
- Polyzos, S.A.; Kountouras, J.; Patsiaoura, K.; Katsiki, E.; Zafeiriadou, E.; Zavos, C.; Deretzi, G.; Tsiaousi, E.; Slavakis, A. Serum Vitamin B12 and Folate Levels in Patients with Non-Alcoholic Fatty Liver Disease. Int. J. Food Sci. Nutr. 2012, 63, 659–666. [Google Scholar] [CrossRef]
- Bertol, F.S.; Araujo, B.; Jorge, B.B.; Rinaldi, N.; De Carli, L.A.; Tovo, C.V. Role of Micronutrients in Staging of Nonalcoholic Fatty Liver Disease: A Retrospective Cross-Sectional Study. World J. Gastrointest. Surg. 2020, 12, 269–276. [Google Scholar] [CrossRef]
- Lamproye, A.; Belaiche, J.; Delwaide, J. The FibroScan: A new non invasive method of liver fibrosis evaluation. Rev. Medicale De Liege 2007, 62, 68–72. [Google Scholar]
- Fraquelli, M.; Rigamonti, C.; Casazza, G.; Conte, D.; Donato, M.F.; Ronchi, G.; Colombo, M. Reproducibility of Transient Elastography in the Evaluation of Liver Fibrosis in Patients with Chronic Liver Disease. Gut 2007, 56, 968–973. [Google Scholar] [CrossRef]
- Chengxi, L.; Rentao, L.; Wei, Z. Progress in Non-Invasive Detection of Liver Fibrosis. Cancer Biol. Med. 2018, 15, 124. [Google Scholar] [CrossRef] [PubMed]
- Chan, W.K.; Nik Mustapha, N.R.; Mahadeva, S. Controlled Attenuation Parameter for the Detection and Quantification of Hepatic Steatosis in Nonalcoholic Fatty Liver Disease. J. Gastroenterol. Hepatol. 2014, 29, 1470–1476. [Google Scholar] [CrossRef]
- Chalasani, N.; Younossi, Z.; Lavine, J.E.; Diehl, A.M.; Brunt, E.M.; Cusi, K.; Charlton, M.; Sanyal, A.J. The Diagnosis and Management of Non-Alcoholic Fatty Liver Disease: Practice Guideline by the American Gastroenterological Association, American Association for the Study of Liver Diseases, and American College of Gastroenterology. Gastroenterology 2012, 142, 1592–1609. [Google Scholar] [CrossRef]
- Petroni, M.L.; Brodosi, L.; Marchignoli, F.; Musio, A.; Marchesini, G. Moderate Alcohol Intake in Non-Alcoholic Fatty Liver Disease: To Drink or Not to Drink? Nutrients 2019, 11, 3048. [Google Scholar] [CrossRef]
- Aslinia, F.; Mazza, J.J.; Yale, S.H. Megaloblastic Anemia and Other Causes of Macrocytosis. Clin. Med. Res. 2006, 4, 236–241. [Google Scholar] [CrossRef] [PubMed]
- Wiebe, N.; Field, C.J.; Tonelli, M. A Systematic Review of the Vitamin B12, Folate and Homocysteine Triad across Body Mass Index. Obes. Rev. Off. J. Int. Assoc. Study Obes. 2018, 19, 1608–1618. [Google Scholar] [CrossRef] [PubMed]
- Kaya, C.; Cengiz, S.D.; Satiroğlu, H. Obesity and Insulin Resistance Associated with Lower Plasma Vitamin B12 in PCOS. Reprod. Biomed. Online 2009, 19, 721–726. [Google Scholar] [CrossRef] [PubMed]
- Sharma, C.; Badyal, A. Association between Vitamin B12 and Non-Alcoholic Fatty Liver Disease: A Case Control Study in Katra Jammu. Int. J. Basic Clin. Pharmacol. 2021, 10, 726–731. [Google Scholar] [CrossRef]
- Morgan, M.Y.; Camilo, M.E.; Luck, W.; Sherlock, S.; Hoffbrand, A.V. Macrocytosis in Alcohol-Related Liver Disease: Its Value for Screening. Clin. Lab. Haematol. 1981, 3, 35–44. [Google Scholar] [CrossRef] [PubMed]
- Lambert, D.; Benhayoun, S.; Adjalla, C.; Gélot, M.; Renkes, P.; Gérard, P.; Felden, F.; Belleville, F.; Gaucher, P.; Guéant, J.; et al. Alcoholic Cirrhosis and Cobalamin Metabolism. Digestion 2009, 58, 64–71. [Google Scholar] [CrossRef]
- Ermens, A.; Vlasveld, L.; Lindemans, J. Significance of elevated cobalamin (vitamin B12) levels in blood. Clin. Biochem. 2003, 36, 585–590. [Google Scholar] [CrossRef]
- Klipstein, F.A.; Lindenbaum, J. Folate deficiency in chronic liver disease. Blood 1965, 25, 443–456. [Google Scholar] [CrossRef]
- Kanazawa, S.; Herbert, V. Total corrinoid, cobalamin (vitamin B12), and cobalamin analogue levels may be normal in serum despite cobalamin in liver depletion in patients with alcoholism. Lab. Investig. 1985, 53, 108–110. [Google Scholar]
- Mechie, N.-C.; Goralzcyk, A.D.; Reinhardt, L.; Mihm, S.; Amanzada, A. Association of Serum Vitamin B12 Levels with Stage of Liver Fibrosis and Treatment Outcome in Patients with Chronic Hepatitis C Virus Genotype 1 Infection: A Retrospective Study. BMC Res. Notes 2015, 8, 260. [Google Scholar] [CrossRef][Green Version]
- Casas-Deza, D.; Martínez-Sapiña, A.; Espina, S.; Garcia-Rodriguez, B.; Fernandez-Bonilla, E.M.; Sanz-Paris, A.; Gonzalez-Irazabal, Y.; Bernal-Monterde, V.; Arbones-Mainar, J.M. Evaluation of Cardiovascular Risk Factors After Hepatitis C Virus Eradication with Direct-Acting Antivirals in a Cohort of Treatment-Naïve Patients Without History of Cardiovascular Disease. J. Clin. Med. 2022, 11, 4049. [Google Scholar] [CrossRef] [PubMed]
- Bolukbas, F.F.; İgnak, S.; Unay Demirel, O.; Furuncuoglu, Y.; Mantar, F.; Sertel, S.C.; Yarimcan Saglam, F.; Bolukbas, C. An Investigation of the Relationship Between Serum Vitamin B12 Levels and Hepatic Fibrosis Scores Determined by Transient Elastography (FibroScan) in Nonalcoholic Fatty Liver Disease. Anadolu Klin 2017, 22, 141–148. [Google Scholar] [CrossRef]
- Sugihara, T.; Koda, M.; Okamoto, T.; Miyoshi, K.; Matono, T.; Oyama, K.; Hosho, K.; Okano, J.I.; Isomoto, H.; Murawaki, Y. Falsely Elevated Serum Vitamin B12 Levels Were Associated with the Severity and Prognosis of Chronic Viral Liver Disease. Yonago Acta Med. 2017, 60, 31–39. [Google Scholar] [PubMed]


| NAFLD group (n = 441) |
| Non-NAFLD Group (n = 754) |
| HCV (n = 222) |
| HBV (n = 134) |
| Cholestatic liver disease (n = 133) |
| Alcohol-related liver disease (n = 113) |
| Autoimmune hepatitis (n = 53) |
| Hemochromatosis (n = 19) |
| Wilson disease (n = 6) |
| Cryptogenic (n = 74) |
| Females (n = 637) | Males (n = 558) | All (n = 1195) | p-Value | |
|---|---|---|---|---|
| Age (years) | 58.0 [48.0; 68.0] | 57.0 [48.0; 65.0] | 57.0 [48.0; 66.0] | 0.194 |
| Obesity | 245 (38.5%) | 223 (40%) | 468 (39.2%) | 0.637 |
| Dyslipidemia | 248 (38.9%) | 214 (38.4%) | 462 (38.7%) | 0.884 |
| High blood pressure | 212 (33.3%) | 231 (41.4%) | 443 (37.1%) | 0.005 |
| Diabetes mellitus | 137 (21.5%) | 153 (27.4%) | 290 (24.3%) | 0.021 |
| NAFLD | 255 (40.0%) | 186 (33.3%) | 441 (36.9%) | 0.020 |
| Liver fibrosis (kPa) | 6.1 [4.7; 9.5] | 7.3 [5.23; 11.8] | 6.5 [4.9; 10.3] | <0.001 |
| F4 stage | 77 (12.1%) | 116 (20.8%) | 193 (16.2%) | <0.001 |
| CAP (dB/m) | 257 [214; 316] | 274 [227; 330] | 265 [221; 323] | <0.001 |
| Vitamin B12 (pg/mL) | 314 [236; 418] | 290 [227; 393] | 303 [232; 406] | 0.059 |
| Folic acid (ng/mL) | 7.95 [5.66; 11.2] | 7.00 [5.3; 10.1] | 7.5 [5.5; 10.7] | <0.001 |
| Hemoglobin (g/dL) | 13.7 [12.8; 14.4] | 14.8 [13.9; 15.7] | 14.2 [13.2; 15.1] | <0.001 |
| MCV (fL) | 89.7 [86.2; 93.5] | 91.5 [88.1; 95.0] | 90.5 [86.8; 94.3] | <0.001 |
| MCH (pg) | 33.3 [31.9; 34.0] | 33.6 [32.7; 34.3] | 33.5 [32.2; 34.2] | <0.001 |
| NAFLD Group (n = 441) | Non-NAFLD Group (n = 754) | p-Value | |
|---|---|---|---|
| Age (years) | 56.0 [47.0; 64.0] | 58.0 [49.0; 67.0] | 0.002 |
| Obesity | 256 (58.0%) | 212 (28.1%) | <0.001 |
| Dyslipidemia | 213 (48.3%) | 249 (33.0%) | <0.001 |
| High blood pressure | 188 (42.6%) | 255 (33.8%) | 0.003 |
| Diabetes mellitus | 149 (33.8%) | 141 (18.7%) | <0.001 |
| CAP (dB/m) | 321 [273; 361] | 237 [204; 284] | <0.001 |
| Liver fibrosis (kPa) | 6.50 [4.90; 9.80] | 6.50 [4.90; 10.9] | 0.505 |
| Vitamin B12 (pg/mL) | 289 [220; 384] | 313 [240; 420] | <0.001 |
| Folic acid (ng/mL) | 7.61 [5.55; 10.8] | 7.42 [5.39; 10.6] | 0.711 |
| MCV (fL) | 89.4 [86.0; 93.0] | 91.2 [87.7; 94.9] | <0.001 |
| MCH (pg) | 33.5 [32.2; 34.2] | 33.5 [32.3; 34.2] | 0.546 |
| NAFLD | Non-NAFLD (n = 754) | p-Value (Mann–Whitney) | ||||
|---|---|---|---|---|---|---|
| F0–F1 (n = 259) | F2–F3 (n = 124) | F4 (n = 58) | F0–F1 vs. F4 | Non-NAFLD vs. F0–F1 | ||
| Age (years) | 54.0 [45.0; 62.0] | 57.0 [48.0; 65.0] | 62.0 [53.0; 69.0] | 58.0 [49.0; 67.0] | <0.001 | <0.001 |
| Liver fibrosis (kPa) | 5.20 [4.40; 6.05] | 9.65 [8.60; 10.6] | 20.8 [17.2; 28.8] | 6.50 [4.90; 10.9] | <0.001 | <0.001 |
| CAP (dB/m) | 312 [270; 355] | 328 [276; 363] | 332 [297; 379] | 237 [204; 284] | 0.020 | <0.001 |
| Folic acid (ng/mL) | 7.60 [5.67; 10.9] | 7.21 [5.45; 10.5] | 8.45 [5.50; 10.6] | 7.42 [5.39; 10.6] | 0.650 | 0.565 |
| Vitamin B12 (pg/mL) | 273 [218; 370] | 295 [220; 389] | 312 [238; 437] | 313 [240; 420] | 0.070 | <0.001 |
Disclaimer/Publisher’s Note: The statements, opinions and data contained in all publications are solely those of the individual author(s) and contributor(s) and not of MDPI and/or the editor(s). MDPI and/or the editor(s) disclaim responsibility for any injury to people or property resulting from any ideas, methods, instructions or products referred to in the content. |
© 2024 by the authors. Licensee MDPI, Basel, Switzerland. This article is an open access article distributed under the terms and conditions of the Creative Commons Attribution (CC BY) license (https://creativecommons.org/licenses/by/4.0/).
Share and Cite
Espina, S.; Casas-Deza, D.; Bernal-Monterde, V.; Royo-Esteban, A.; García-Sobreviela, M.P.; Calmarza, P.; Martinez-Martinez, A.B.; Osada, J.; Arbones-Mainar, J.M. Unraveling the Association of Liver Steatosis and Fibrosis with Vitamin B12: A Cross-Sectional Study. Metabolites 2024, 14, 618. https://doi.org/10.3390/metabo14110618
Espina S, Casas-Deza D, Bernal-Monterde V, Royo-Esteban A, García-Sobreviela MP, Calmarza P, Martinez-Martinez AB, Osada J, Arbones-Mainar JM. Unraveling the Association of Liver Steatosis and Fibrosis with Vitamin B12: A Cross-Sectional Study. Metabolites. 2024; 14(11):618. https://doi.org/10.3390/metabo14110618
Chicago/Turabian StyleEspina, Silvia, Diego Casas-Deza, Vanesa Bernal-Monterde, Ana Royo-Esteban, Maria Pilar García-Sobreviela, Pilar Calmarza, Ana B. Martinez-Martinez, Jesús Osada, and Jose M. Arbones-Mainar. 2024. "Unraveling the Association of Liver Steatosis and Fibrosis with Vitamin B12: A Cross-Sectional Study" Metabolites 14, no. 11: 618. https://doi.org/10.3390/metabo14110618
APA StyleEspina, S., Casas-Deza, D., Bernal-Monterde, V., Royo-Esteban, A., García-Sobreviela, M. P., Calmarza, P., Martinez-Martinez, A. B., Osada, J., & Arbones-Mainar, J. M. (2024). Unraveling the Association of Liver Steatosis and Fibrosis with Vitamin B12: A Cross-Sectional Study. Metabolites, 14(11), 618. https://doi.org/10.3390/metabo14110618

