Comparative Analysis of β-Carotene Production by Mucor circinelloides Strains CBS 277.49 and WJ11 under Light and Dark Conditions
Abstract
1. Introduction
2. Results and Discussion
2.1. The Impact of Light and Dark Conditions on Cell Dry Weight (CDW) of CBS 277.49 and WJ11 Strain
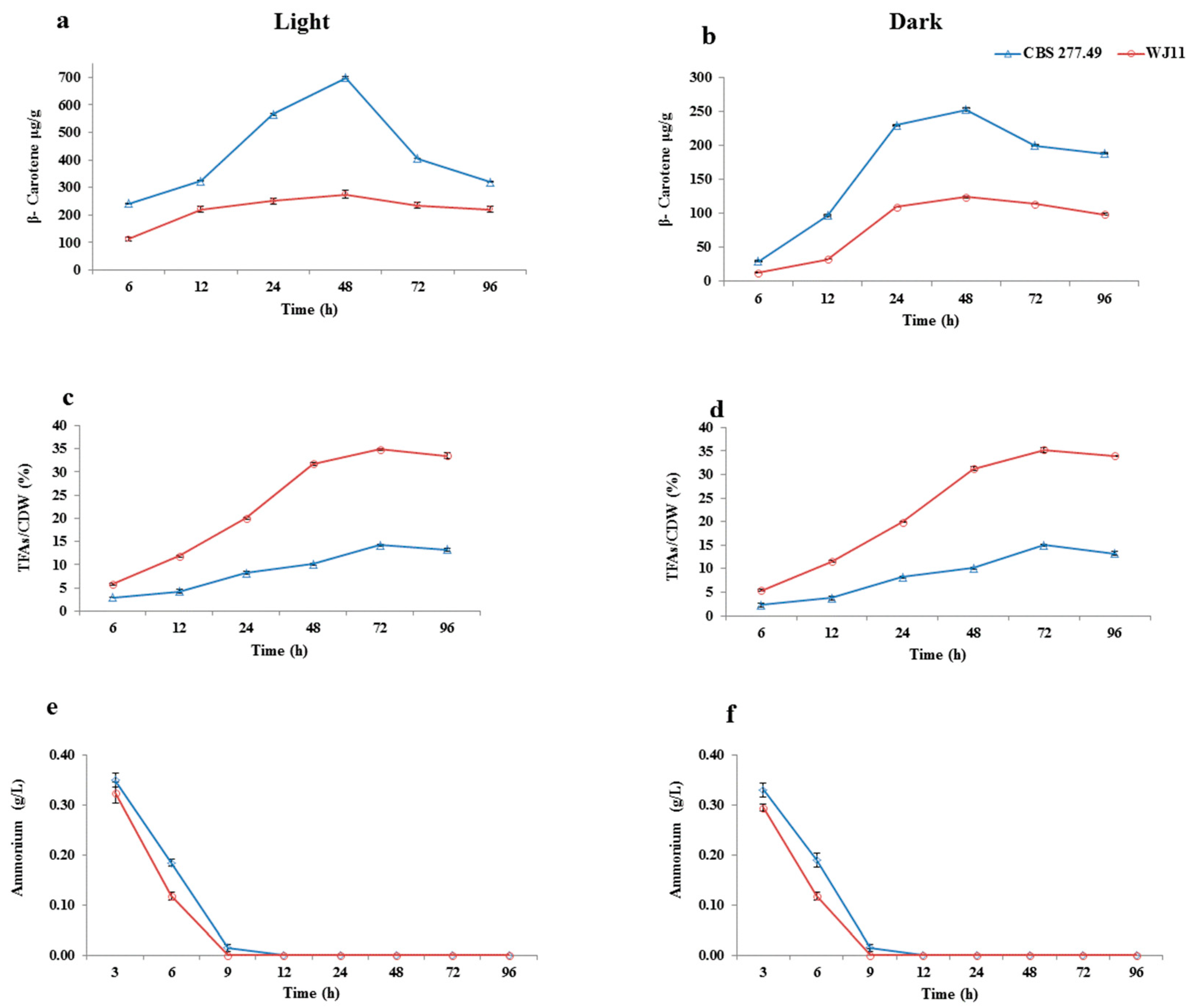
2.2. Mycelia Appearance and Analysis of β-Carotene Accumulation by HPLC
2.3. Yield of Biomass, β-Carotene, and LIPID by CBS 277.49 and WJ11, under Light and Dark Conditions
2.4. Expression Levels of Key Genes Involved in β-Carotene Accumulation
3. Materials and Methods
3.1. Microorganisms, Media, and Growth Condition
3.2. Cell Dry Weight Determination (CDW)
3.3. Estimation of Glucose and Nitrogen Consumption in the Culture Supernatant
3.4. Extraction and Analysis of Total Fatty Acids in Cell
3.5. Extraction and Analysis of β-Carotene
3.6. Blast Analysis
3.7. RNA Extraction and RT-qPCR
4. Conclusions
Supplementary Materials
Author Contributions
Funding
Acknowledgments
Conflicts of Interest
Ethics Approval and Consent to Participate
References
- Hughes, D.A. Effects of carotenoids on human immune function. Proc. Nutr. Soc. 1999, 58, 713–718. [Google Scholar] [CrossRef]
- Iturriaga, E.A.; Velayos, A.; Eslava, A.P. Structure and function of the genes involved in the biosynthesis of carotenoids in the mucorales. Biotechnol. Bioprocess Eng. 2000, 5, 263. [Google Scholar] [CrossRef]
- Sandmann, G. Carotenoids of biotechnological importance. Adv. Biochem. Eng. Biotechnol. 2015, 148, 449–467. [Google Scholar]
- Papp, T.; Nagy, G.; Csernetics, Á.; Szekeres, A.; Vágvölgyi, C. Beta-Carotene Production By Mucoralean Fungi. J. Eng. Anim. 2015, 2–6. [Google Scholar]
- Papp, T.; Velayos, A.; Bartók, T.; Eslava, A.P.; Vágvölgyi, C.; Iturriaga, E.A. Heterologous expression of astaxanthin biosynthesis genes in Mucor circinelloides. Appl. Microbiol. Biotechnol. 2006, 69, 526–531. [Google Scholar] [CrossRef]
- Enrique, A.; Papp, T.; Breum, J.; Arnau, J.; Arturo, P. Strain and Culture Conditions Improvement for β-Carotene Production with Mucor. In Microbial Processes and Products; Humana Press: Totowa, NJ, USA, 2005; Volume 18, pp. 239–256. [Google Scholar]
- Zhang, Y.; Navarro, E.; Cánovas-Márquez, J.T.; Almagro, L.; Chen, H.; Chen, Y.Q.; Zhang, H.; Torres-Martínez, S.; Chen, W.; Garre, V. A new regulatory mechanism controlling carotenogenesis in the fungus Mucor circinelloides as a target to generate β-carotene over-producing strains by genetic engineering. Microb. Cell Fact. 2016, 15, 99. [Google Scholar] [CrossRef]
- Spatafora, J.; Stajich, J.; Benny, G.; Smith, M.; Berbee, M.; Corradi, N.; Grigoriev, I.; James, T.; Donnell, K.; Roberson, R. A phylum-level phylogenetic classification of zygomycete fungi based on genome-scale data. Mycologia 2016, 108, 1028–1046. [Google Scholar] [CrossRef]
- Morin-Sardin, S.; Jany, J.L.; Artigaud, S.; Pichereau, V.; Bernay, B.; Coton, E.; Madec, S. Proteomic analysis of the adaptative response of Mucor spp. to cheese environment. J. Proteom. 2017, 154, 30–39. [Google Scholar] [CrossRef]
- Shelest, E.; Wolf, T.; Voigt, K.; Nagy, G.; Ochsenreiter, K.; Papp, T.; Kaerger, K. 15 Genetic and Metabolic Aspects of Primary and Secondary Metabolism of the Zygomycetes. In Biochemistry and Molecular Biology; Springer: Cham, Switzerland, 2016; pp. 361–385. [Google Scholar]
- Ferreira, J.A.; Lennartsson, P.R.; Edebo, L.; Taherzadeh, M.J. Zygomycetes-based biorefinery: Present status and future prospects. Bioresour. Technol. 2013, 135, 523–532. [Google Scholar] [CrossRef]
- Ratledge, C. Microbial Production of gamma-Linolenic Acid. In Handbook of Functional Lipids; CRC Press: Boca Raton, FL, USA, 2005; pp. 19–45. [Google Scholar]
- Matthäus, F.; Ketelhot, M.; Gatter, M.; Barth, G. Production of lycopene in the non-carotenoid-producing yeast Yarrowia lipolytica. Appl. Environ. Microbiol. 2014, 80, 1660–1669. [Google Scholar] [CrossRef]
- Zhang, Z.; Zhang, X.; Tan, T. Lipid and carotenoid production by Rhodotorula glutinis under irradiation/high-temperature and dark/low-temperature cultivation. Bioresour. Technol. 2014, 157, 149–153. [Google Scholar] [CrossRef]
- Klok, A.J.; Martens, D.E.; Wijffels, R.H.; Lamers, P.P. Simultaneous growth and neutral lipid accumulation in microalgae. Bioresour. Technol. 2013, 134, 233–243. [Google Scholar] [CrossRef]
- Csernetics, Á.; Nagy, G.; Iturriaga, E.A.; Szekeres, A.; Eslava, A.P.; Vágvölgyi, C.; Papp, T. Expression of three isoprenoid biosynthesis genes and their effects on the carotenoid production of the zygomycete Mucor circinelloides. Fungal Genet. Biol. 2011, 48, 696–703. [Google Scholar] [CrossRef]
- Velayos, A.; Papp, T.; Aguilar-Elena, R.; Fuentes-Vicente, M.; Eslava, A.P.; Iturriaga, E.A.; Álvarez, M.I. Expression of the carG gene, encoding geranylgeranyl pyrophosphate synthase, is up-regulated by blue light in Mucor circinelloides. Curr. Genet. 2003, 43, 112–120. [Google Scholar] [CrossRef]
- Silva, F.; Torres-Martínez, S.; Garre, V. Distinct white collar-1 genes control specific light responses in Mucor circinelloides. Mol. Microbiol. 2006, 61, 1023–1037. [Google Scholar] [CrossRef]
- Sanz, C.; Velayos, A.; Álvarez, M.I.; Benito, E.P.; Eslava, A.P. Functional analysis of the phycomyces carRA gene encoding the enzymes phytoene synthase and lycopene cyclase. PLoS ONE 2011, 6, e23102. [Google Scholar] [CrossRef]
- Ootaki, T.; Lighty, A.C.; Delbrück, M.; Hsu, W.J. Complementation between mutants of Phycomyces deficient with respect to carotenogenesis. MGG Mol. Gen. Genet. 1973, 121, 57–70. [Google Scholar] [CrossRef]
- Velayos, A.; Blasco, J.L.; Alvarez, M.I.; Iturriaga, E.A.; Eslava, A.P. Blue-light regulation of phytoene dehydrogenase (carB) gene expression in Mucor circinelloides. Planta 2000, 210, 938–946. [Google Scholar] [CrossRef]
- Velayos, A.; Eslava, A.P.; Iturriaga, E.A. A bifunctional enzyme with lycopene cyclase and phytoene synthase activities is encoded by the carRP gene of Mucor circinelloides. Eur. J. Biochem. 2000, 267, 5509–5519. [Google Scholar] [CrossRef]
- Jayaram, M.; Presti, D.; Delbrück, M. Light-induced carotene synthesis in Phycomyces. Exp. Mycol. 1979, 3, 42–52. [Google Scholar] [CrossRef]
- Belozerskaya, T.A.; Gessler, N.N.; Isakova, E.P.; Deryabina, Y.I. Neurospora crassa Light Signal Transduction Is Affected by ROS. J. Signal Transduct. 2011, 2012, 791963. [Google Scholar] [PubMed]
- Harding, R.W.; Turner, R.V. Photoregulation of the Carotenoid Biosynthetic Pathway in Albino and White Collar Mutants of Neurospora crassa. Plant Physiol. 2008, 68, 745–749. [Google Scholar] [CrossRef] [PubMed]
- Linden, H. Blue Light Perception and Signal Transduction in Neurospora crassa. In Molecular Biology of Fungal Development, 1st ed.; CRC Press: Boca Raton, FL, USA, 2010; Chapter 7. [Google Scholar]
- Avalos, J.; Pardo-Medina, J.; Parra-Rivero, O.; Ruger-Herreros, M.; Rodríguez-Ortiz, R.; Hornero-Méndez, D.; Limón, M.C. Carotenoid biosynthesis in Fusarium. J. Fungi 2017, 3, 39. [Google Scholar] [CrossRef] [PubMed]
- Tang, X.; Zhao, L.; Chen, H.; Chen, Y.Q.; Chen, W.; Song, Y.; Ratledge, C. Complete genome sequence of a high lipid-producing strain of Mucor circinelloides WJ11 and comparative genome analysis with a low lipid-producing strain CBS 277.49. PLoS ONE 2015, 10, e0137543. [Google Scholar] [CrossRef]
- Tang, X.; Chen, H.; Chen, Y.Q.; Chen, W.; Garre, V.; Song, Y.; Ratledge, C. Comparison of biochemical activities between high and low lipid-producing strains of Mucor circinelloides: An explanation for the high oleaginicity of strain WJ11. PLoS ONE 2015, 10, e0128396. [Google Scholar] [CrossRef]
- Sánchez-Pujante, P.J.; Miras-Moreno, B.; Soluyanova, P.; Garre, V.; Pedreño, M.A.; Almagro, L. Production of fatty acid methyl esters and other bioactive compounds in elicited cultures of the fungus Mucor circinelloides. Mycol. Prog. 2017, 16, 507–512. [Google Scholar] [CrossRef]
- Gao, S.; Tong, Y.; Zhu, L.; Ge, M.; Zhang, Y.; Chen, D.; Jiang, Y.; Yang, S. Iterative integration of multiple-copy pathway genes in Yarrowia lipolytica for heterologous β-carotene production. Metab. Eng. 2017, 41, 192–201. [Google Scholar] [CrossRef]
- Navarro, E.; Lorca-Pascual, J.; Quiles-Rosillo, M.; Nicolás, F.; Garre, V.; Torres-Martínez, S.; Ruiz-Vázquez, R. A negative regulator of light-inducible carotenogenesis in Mucor circinelloides. Mol. Genet. Genom. 2001, 266, 463–470. [Google Scholar] [CrossRef]
- Khanafari, A.; Tayari, K.; Emami, M. Light requirement for the carotenoids production by Mucor hiemalis. Iran. J. Basic Med. Sci. 2008, 11, 25–32. [Google Scholar]
- Rau, W. Untersuchungen Über Die Lichtabhängige Carotinoidsynthese—I. Das Wirkungsspektrum von Fusarium aquaeductuum. Planta 1966, 72, 14–28. [Google Scholar] [CrossRef]
- Khan, M.A.K.; Yang, J.; Hussain, S.A.; Zhang, H.; Liang, L.; Garre, V.; Song, Y. Construction of DGLA producing cell factory by genetic modification of Mucor circinelloides. Microb. Cell Fact. 2019, 18, 64. [Google Scholar] [CrossRef]
- Shigenaga, M.K.; Hagen, T.M.; Ames, B.N. Oxidative damage and mitochondrial decay in aging. Proc. Natl. Acad. Sci. USA 1994, 91, 10771–10778. [Google Scholar] [CrossRef]
- Zhang, J.; Li, Q.R.; Zhang, M.H.; You, Y.; Wang, Y.; Wang, Y.H. Enhancement of carotenoid biosynthesis in Phaffia rhodozyma PR106 under stress conditions. Biosci. Biotechnol. Biochem. 2019, 83, 2375–2385. [Google Scholar] [CrossRef]
- An, G.H. Improved growth of the red yeast, Phaffia rhodozyma (Xanthophyllomyces dendrorhous), in the presence of tricarboxylic acid cycle intermediates. Biotechnol. Lett. 2001, 23, 1005–1009. [Google Scholar] [CrossRef]
- HARRIS, H.A. Heterothallic antibiosis in Mucor racemosus. Mycologia 1948, 40, 347–351. [Google Scholar] [CrossRef]
- Hameed, A.; Hussain, S.A.; Yang, J.; Ijaz, M.U.; Liu, Q.; Suleria, H.A.R.; Song, Y. Antioxidants potential of the filamentous fungi (Mucor circinelloides). Nutrients 2017, 9, 1101. [Google Scholar] [CrossRef]
- Chaney, A.L.; Marbach, E.P. Modified reagents for determination of urea and ammonia. Clin. Chem. 1962, 8, 130–132. [Google Scholar]
- Khan, M.A.K.; Yang, J.; Hussain, S.A.; Zhang, H.; Garre, V.; Song, Y. Genetic modification of Mucor circinelloides to construct stearidonic acid producing cell factory. Int. J. Mol. Sci. 2019, 20, 1683. [Google Scholar] [CrossRef]






| H | Light-CBS 277.49 | Light-WJ11 | ||||
| Y Biomass | Y β-Carotene | Y Lipid | Y Biomass | Y β-Carotene | Y Lipid | |
| 6 | 0.10 | 17.90 | 0.003 | 0.26 | 9.80 | 0.01 |
| 12 | 0.11 | 11.71 | 0.005 | 0.25 | 10.12 | 0.03 |
| 24 | 0.16 | 17.76 | 0.01 | 0.28 | 7.53 | 0.06 |
| 48 | 0.16 | 12.07 | 0.02 | 0.22 | 5.33 | 0.07 |
| 72 | 0.14 | 5.59 | 0.02 | 0.21 | 4.04 | 0.07 |
| 96 | 0.14 | 4.04 | 0.02 | 0.19 | 3.22 | 0.06 |
| H | Dark-CBS 277.49 | Dark-WJ11 | ||||
| Y Biomass | Y β-Carotene | Y Lipid | Y Biomass | Y β-Carotene | Y Lipid | |
| 6 | 0.13 | 2.0 | 0.003 | 0.24 | 0.91 | 0.01 |
| 12 | 0.13 | 3.3 | 0.005 | 0.29 | 1.45 | 0.03 |
| 24 | 0.22 | 7.2 | 0.02 | 0.29 | 3.25 | 0.06 |
| 48 | 0.18 | 4.2 | 0.02 | 0.25 | 2.33 | 0.08 |
| 72 | 0.16 | 2.7 | 0.02 | 0.24 | 1.92 | 0.08 |
| 96 | 0.16 | 2.4 | 0.02 | 0.21 | 1.41 | 0.07 |
| Gene | CBS 277.49 (Id) | WJ11 (Scaffold) | % Identity | % Similarity |
|---|---|---|---|---|
| HMG-CoA synthase-hmgS | 51849 | scaffold00204.8 | 86.06 | 79 |
| GGPP synthase-carG | 155025 | scaffold00277.10 | 81.82 | 85 |
| Phytoene dehydrogenase-carB | 31317 | scaffold00226.18 | 85.86 | 82 |
| Phytoene-synthase/Lycopene cyclase-carRP | 154743 | scaffold00226.19 | 81.34 | 95 |
© 2020 by the authors. Licensee MDPI, Basel, Switzerland. This article is an open access article distributed under the terms and conditions of the Creative Commons Attribution (CC BY) license (http://creativecommons.org/licenses/by/4.0/).
Share and Cite
Naz, T.; Nosheen, S.; Li, S.; Nazir, Y.; Mustafa, K.; Liu, Q.; Garre, V.; Song, Y. Comparative Analysis of β-Carotene Production by Mucor circinelloides Strains CBS 277.49 and WJ11 under Light and Dark Conditions. Metabolites 2020, 10, 38. https://doi.org/10.3390/metabo10010038
Naz T, Nosheen S, Li S, Nazir Y, Mustafa K, Liu Q, Garre V, Song Y. Comparative Analysis of β-Carotene Production by Mucor circinelloides Strains CBS 277.49 and WJ11 under Light and Dark Conditions. Metabolites. 2020; 10(1):38. https://doi.org/10.3390/metabo10010038
Chicago/Turabian StyleNaz, Tahira, Shaista Nosheen, Shaoqi Li, Yusuf Nazir, Kiren Mustafa, Qing Liu, Victoriano Garre, and Yuanda Song. 2020. "Comparative Analysis of β-Carotene Production by Mucor circinelloides Strains CBS 277.49 and WJ11 under Light and Dark Conditions" Metabolites 10, no. 1: 38. https://doi.org/10.3390/metabo10010038
APA StyleNaz, T., Nosheen, S., Li, S., Nazir, Y., Mustafa, K., Liu, Q., Garre, V., & Song, Y. (2020). Comparative Analysis of β-Carotene Production by Mucor circinelloides Strains CBS 277.49 and WJ11 under Light and Dark Conditions. Metabolites, 10(1), 38. https://doi.org/10.3390/metabo10010038

