Machine Learning Based PEVs Load Extraction and Analysis
Abstract
1. Introduction
2. Methodologies
2.1. Generalized Regression Neural Network (GRNN)
2.2. Battery SoC Model
3. Performance Evaluation of GRNN
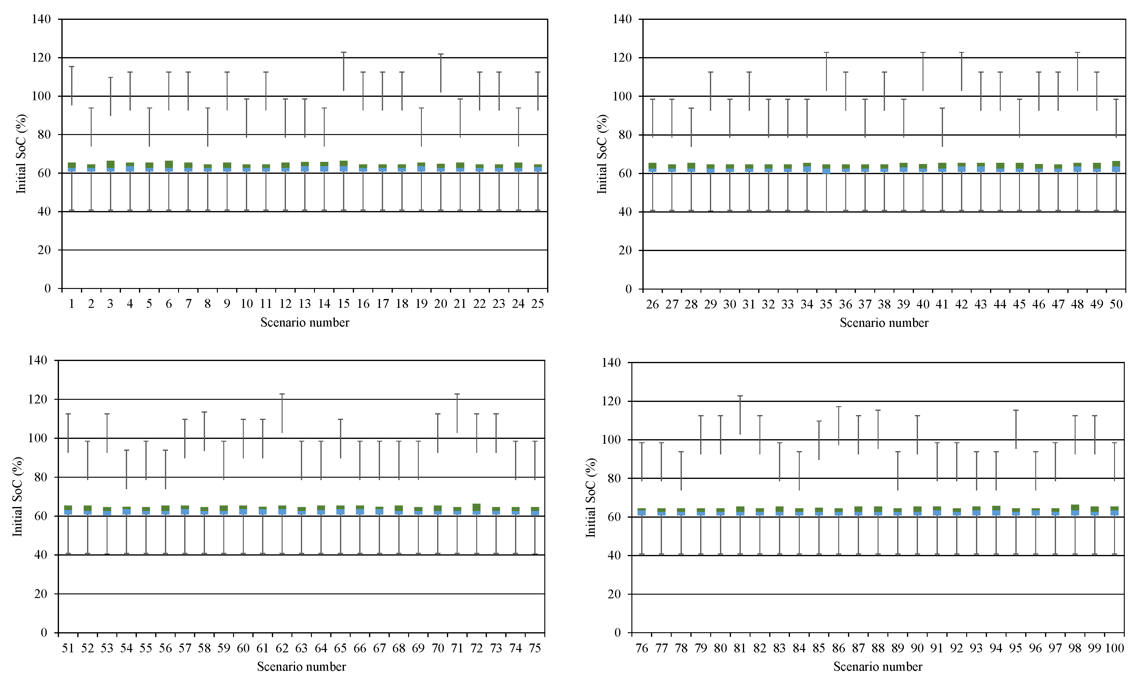
4. Simulation Results
5. Conclusions
Author Contributions
Funding
Conflicts of Interest
References
- Dunn, D.R. US Energy Information Administration Monthly Energy Review 2016. Available online: https://www.eia.gov/totalenergy/data/monthly/ (accessed on 12 July 2020).
- Ahmadian, A.; Sedghi, M.; Elkamel, A.; Fowler, M.; Aliakbar Golkar, M. Plug-in electric vehicle batteries degradation modeling for smart grid studies: Review, assessment and conceptual framework. Renew. Sustain. Energy Rev. 2018, 81, 2609–2624. [Google Scholar] [CrossRef]
- Xie, S.; Hu, X.; Qi, S.; Tang, X.; Lang, K.; Xin, Z.; Brighton, J. Model predictive energy management for plug-in hybrid electric vehicles considering optimal battery depth of discharge. Energy 2019, 173, 667–678. [Google Scholar] [CrossRef]
- Ahmadian, A.; Sedghi, M.; Aliakbar-Golkar, M.; Fowler, M.; Elkamel, A. Two-layer optimization methodology for wind distributed generation planning considering plug-in electric vehicles uncertainty: A flexible active-reactive power approach. Energy Convers. Manag. 2016, 124, 231–246. [Google Scholar] [CrossRef]
- Alipour, M.; Mohammadi-Ivatloo, B.; Moradi-Dalvand, M.; Zare, K. Stochastic scheduling of aggregators of plug-in electric vehicles for participation in energy and ancillary service markets. Energy 2017, 118. [Google Scholar] [CrossRef]
- Dai, Q.; Cai, T.; Duan, S.; Zhao, F. Stochastic modeling and forecasting of load demand for electric bus battery-swap station. IEEE Trans. Power Deliv. 2014, 29, 1909–1917. [Google Scholar] [CrossRef]
- Wang, Y.; Ding, W.; Huang, L.; Wei, Z.; Liu, H.; Stankovic, J.A. Toward urban electric taxi systems in smart cities: The battery swapping challenge. IEEE Trans. Veh. Technol. 2017, 67, 1946–1960. [Google Scholar] [CrossRef]
- Aliasghari, P.; Mohammadi-Ivatloo, B.; Alipour, M.; Abapour, M.; Zare, K. Optimal scheduling of plug-in electric vehicles and renewable micro-grid in energy and reserve markets considering demand response program. J. Clean. Prod. 2018, 186, 293–303. [Google Scholar] [CrossRef]
- Ahmadian, A.; Mohammadi-Ivatloo, B.; Elkamel, A. A Review on Plug-In Electric Vehicles: Introduction, Current Status, and Load Modeling Techniques. J. Mod. Power Syst. Clean Energy 2020, 8, 412–425. [Google Scholar] [CrossRef]
- Ahmadian, A.; Sedghi, M.; Aliakbar-Golkar, M. Stochastic modeling of plug-in electric vehicles load demand in residential grids considering nonlinear battery charge characteristic. In Proceedings of the 2015 20th Conference on Electrical Power Distribution Networks Conference (EPDC), Zahedan, Iran, 28–29 April 2015; IEEE: Piscataway, NJ, USA, 2015; pp. 22–26. [Google Scholar]
- Ahmadian, A.; Sedghi, M.; Aliakbar-Golkar, M.; Elkamel, A.; Fowler, M. Optimal probabilistic based storage planning in tap-changer equipped distribution network including PEVs, capacitor banks and WDGs: A case study for Iran. Energy 2016, 112, 984–997. [Google Scholar] [CrossRef]
- Ahmadian, A.; Sedghi, M.; Mohammadi-Ivatloo, B.; Elkamel, A.; Aliakbar Golkar, M.; Fowler, M. Cost-Benefit Analysis of V2G Implementation in Distribution Networks Considering PEVs Battery Degradation. IEEE Trans. Sustain. Energy 2018, 9, 961–970. [Google Scholar] [CrossRef]
- Zhou, Y.; Qi, B.; Zhang, B. Online prediction of electrical load for distributed management of PEV based on Grey-Markov model. In Proceedings of the 2017 29th Chinese Control And Decision Conference (CCDC), Chongqing, China, 28–30 May 2017; IEEE: Piscataway, NJ, USA, 2017; pp. 6911–6916. [Google Scholar]
- Sun, S.; Yang, Q.; Yan, W. A novel Markov-based temporal-SoC analysis for characterizing PEV charging demand. IEEE Trans. Ind. Informatics 2017, 14, 156–166. [Google Scholar] [CrossRef]
- Bremermann, L.E.; Matos, M.; Lopes, J.A.P.; Rosa, M. Electric vehicle models for evaluating the security of supply. Electr. Power Syst. Res. 2014, 111, 32–39. [Google Scholar] [CrossRef]
- Li, G.; Zhang, X.-P. Modeling of plug-in hybrid electric vehicle charging demand in probabilistic power flow calculations. IEEE Trans. Smart Grid 2012, 3, 492–499. [Google Scholar] [CrossRef]
- Zhou, Z.; Lin, T. Spatial and temporal model for electric vehicle rapid charging demand. In Proceedings of the 2012 IEEE Vehicle Power and Propulsion Conference, Seoul, South Korea, 9–12 October 2012; IEEE: Piscataway, NJ, USA, 2012; pp. 345–348. [Google Scholar]
- Mu, Y.; Wu, J.; Jenkins, N.; Jia, H.; Wang, C. A spatial–temporal model for grid impact analysis of plug-in electric vehicles. Appl. Energy 2014, 114, 456–465. [Google Scholar] [CrossRef]
- Zeng, F.; Dong, Y.; Tang, J. Feature extraction and severity assessment of partial discharge under protrusion defect based on fuzzy comprehensive evaluation. IET Gener. Transm. Distrib. 2015, 9, 2493–2500. [Google Scholar] [CrossRef]
- Wang, D.; Guan, X.; Wu, J.; Gao, J. Analysis of multi-location PEV charging behaviors based on trip chain generation. In Proceedings of the 2014 IEEE International Conference on Automation Science and Engineering (CASE), Taipei, Taiwan, 18–22 August 2014; IEEE: Piscataway, NJ, USA, 2014; pp. 151–156. [Google Scholar]
- Panahi, D.; Deilami, S.; Masoum, M.A.S.; Islam, S.M. Forecasting plug-in electric vehicles load profile using artificial neural networks. In Proceedings of the 2015 Australasian Universities Power Engineering Conference (AUPEC), Wollongong, NSW, Australia, 27–30 September 2015; IEEE: Piscataway, NJ, USA, 2015; pp. 1–6. [Google Scholar]
- Jahangir, H.; Tayarani, H.; Ahmadian, A.; Golkar, M.A.; Miret, J.; Tayarani, M.; Gao, H.O. Charging demand of Plug-in Electric Vehicles: Forecasting travel behavior based on a novel Rough Artificial Neural Network approach. J. Clean. Prod. 2019, 229, 1029–1044. [Google Scholar] [CrossRef]
- Vatanparvar, K.; Faezi, S.; Burago, I.; Levorato, M.; Al Faruque, M.A. Extended range electric vehicle with driving behavior estimation in energy management. IEEE Trans. Smart Grid 2018, 10, 2959–2968. [Google Scholar] [CrossRef]
- Verma, A.; Asadi, A.; Yang, K.; Maitra, A.; Asgeirsson, H. Analyzing household charging patterns of Plug-in electric vehicles (PEVs): A data mining approach. Comput. Ind. Eng. 2019, 128, 964–973. [Google Scholar] [CrossRef]
- Zhu, J.; Yang, Z.; Mourshed, M.; Guo, Y.; Zhou, Y.; Chang, Y.; Wei, Y.; Feng, S. Electric Vehicle Charging Load Forecasting: A Comparative Study of Deep Learning Approaches. Energies 2019, 12, 2692. [Google Scholar] [CrossRef]
- Moradzadeh, A.; Khaffafi, K. Comparison and evaluation of the performance of various types of neural networks for planning issues related to optimal management of charging and discharging electric cars in intelligent power grids. Emerg. Sci. J. 2017, 1, 201–207. [Google Scholar]
- Dai, Y.; Guo, J.; Yang, L.; You, W. A new approach of intelligent physical health evaluation based on GRNN and BPNN by using a wearable smart bracelet system. Procedia Comput. Sci. 2019, 147, 519–527. [Google Scholar] [CrossRef]
- Foroughi, M.; Azqhandi, M.H.A.; Kakhki, S. Bio-inspired, high, and fast adsorption of tetracycline from aqueous media using Fe3O4-g-CN@ PEI-β-CD nanocomposite: Modeling by response surface methodology (RSM), boosted regression tree (BRT), and general regression neural network (GRNN). J. Hazard. Mater. 2020, 388, 121769. [Google Scholar] [CrossRef] [PubMed]
- Heydari, A.; Garcia, D.A.; Keynia, F.; Bisegna, F.; De Santoli, L. Renewable energies generation and carbon dioxide emission forecasting in microgrids and national grids using GRNN-GWO methodology. Energy Procedia 2019, 159, 154–159. [Google Scholar] [CrossRef]
- Niu, D.; Wang, H.; Chen, H.; Liang, Y. The general regression neural network based on the fruit fly optimization algorithm and the data inconsistency rate for transmission line icing prediction. Energies 2017, 10, 2066. [Google Scholar]
- Huang, Y.W.; Chen, M.Q.; Li, Y.; Guo, J. Modeling of chemical exergy of agricultural biomass using improved general regression neural network. Energy 2016, 114, 1164–1175. [Google Scholar] [CrossRef]
- Antanasijević, D.; Pocajt, V.; Ristić, M.; Perić-Grujić, A. Modeling of energy consumption and related GHG (greenhouse gas) intensity and emissions in Europe using general regression neural networks. Energy 2015, 84, 816–824. [Google Scholar] [CrossRef]
- Li, W.; Yang, X.; Li, H.; Su, L. Hybrid forecasting approach based on GRNN neural network and SVR machine for electricity demand forecasting. Energies 2017, 10, 44. [Google Scholar] [CrossRef]
- Wang, Z.; Liu, X.; He, Z.; Su, L.; Lu, X. Intelligent detection of flip chip with the scanning acoustic microscopy and the general regression neural network. Microelectron. Eng. 2019, 217, 111127. [Google Scholar] [CrossRef]
- Rentziou, A.; Gkritza, K.; Souleyrette, R.R. VMT, energy consumption, and GHG emissions forecasting for passenger transportation. Transp. Res. Part A Policy Pract. 2012, 46, 487–500. [Google Scholar] [CrossRef]
- Moradzadeh, A.; Sadeghian, O.; Pourhossein, K.; Mohammadi-Ivatloo, B.; Anvari-Moghaddam, A. Improving Residential Load Disaggregation for Sustainable Development of Energy via Principal Component Analysis. Sustainability 2020, 12, 3158. [Google Scholar] [CrossRef]
- Moradzadeh, A.; Pourhossein, K. Early Detection of Turn-to-Turn faults in Power Transformer Winding: An Experimental Study. In Proceedings of the 2019 International Aegean Conference on Electrical Machines and Power Electronics (ACEMP) & 2019 International Conference on Optimization of Electrical and Electronic Equipment (OPTIM), Istanbul, Turkey, 27–29 August 2019; IEEE: Piscataway, NJ, USA, 2019; pp. 199–204. [Google Scholar]
- Moradzadeh, A.; Mansour-Saatloo, A.; Mohammadi-Ivatloo, B.; Anvari-Moghaddam, A. Performance Evaluation of Two Machine Learning Techniques in Heating and Cooling Loads Forecasting of Residential Buildings. Appl. Sci. 2020, 10, 3829. [Google Scholar] [CrossRef]














| Charging Level | Selected Charging Level (kW) |
|---|---|
| Level I | 1.5 |
| Level II | 4 |
| Level III | 8 |
| Methods | R | MSE | RMSE | MAE |
|---|---|---|---|---|
| GRNN in this paper | 0.9899 | 1.3165 | 1.1474 | 0.8199 |
| ANN [21] | - | 3.275 | 1.809 | - |
| k-nearest neighbor (k-NN) [24] | 0.8928 | - | - | - |
| Random forest algorithm (RFA) [24] | 0.9459 | - | - | - |
| Classification and regression trees (CHART) [24] | 0.9186 | - | - | - |
| Chi-square automatic interaction detector (CHAID) [24] | 0.9151 | - | - | - |
| Conventional Error Back Propagation (CEBP) [22] | 0.8364 | - | 15.90 | 11.33 |
| Levenberg Marquardt (LM) [22] | 0.8683 | - | 12.56 | 9.09 |
| Rough based CEBP (R-CEBP) [22] | 0.8969 | - | 11.27 | 7.84 |
| Rough based LM (R-LM) [22] | 0.9447 | - | 8.11 | 5.87 |
| Recurrent rough network with CEBP (RR-CEBP) [22] | 0.9099 | - | 9.04 | 6.42 |
| Recurrent Rough network with (RR-LM) [22] | 0.9588 | - | 8.10 | 5.48 |
© 2020 by the authors. Licensee MDPI, Basel, Switzerland. This article is an open access article distributed under the terms and conditions of the Creative Commons Attribution (CC BY) license (http://creativecommons.org/licenses/by/4.0/).
Share and Cite
Mansour-Saatloo, A.; Moradzadeh, A.; Mohammadi-Ivatloo, B.; Ahmadian, A.; Elkamel, A. Machine Learning Based PEVs Load Extraction and Analysis. Electronics 2020, 9, 1150. https://doi.org/10.3390/electronics9071150
Mansour-Saatloo A, Moradzadeh A, Mohammadi-Ivatloo B, Ahmadian A, Elkamel A. Machine Learning Based PEVs Load Extraction and Analysis. Electronics. 2020; 9(7):1150. https://doi.org/10.3390/electronics9071150
Chicago/Turabian StyleMansour-Saatloo, Amin, Arash Moradzadeh, Behnam Mohammadi-Ivatloo, Ali Ahmadian, and Ali Elkamel. 2020. "Machine Learning Based PEVs Load Extraction and Analysis" Electronics 9, no. 7: 1150. https://doi.org/10.3390/electronics9071150
APA StyleMansour-Saatloo, A., Moradzadeh, A., Mohammadi-Ivatloo, B., Ahmadian, A., & Elkamel, A. (2020). Machine Learning Based PEVs Load Extraction and Analysis. Electronics, 9(7), 1150. https://doi.org/10.3390/electronics9071150

