Optimization Considerations for Short Channel Poly-Si 1T-DRAM
Abstract
1. Introduction
2. Materials and Methods
3. Results and Discussion
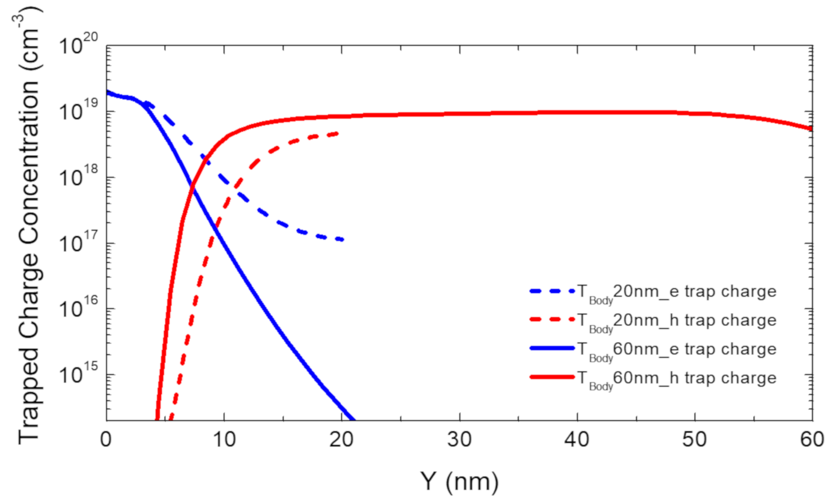
3.1. Transient Characteristics of a Poly-Si 1T-DRAM
3.2. Operating Performance of a Poly-Si 1T-DRAM
4. Conclusions
Author Contributions
Funding
Conflicts of Interest
References
- Nitayama, A.; Kohyama, Y.; Hieda, K. Future directions for DRAM memory cell technology. In Proceedings of the International Electron Devices Meeting 1998. Technical Digest (Cat. No.98CH36217), San Francisco, CA, USA, 6–9 December 1998; pp. 355–358. [Google Scholar] [CrossRef]
- Okhonin, S.; Nagoga, M.; Sallese, J.M.; Fazan, P. A SOI capacitor-less 1T-DRAM concept. In Proceedings of the 2001 IEEE International SOI Conference. Proceedings (Cat. No.01CH37207), Durango, CO, USA, 1–4 October 2001; pp. 153–154. [Google Scholar] [CrossRef]
- Okhonin, S.; Nagoga, M.; Sallese, J.M.; Fazan, P. A capacitor-less 1T-DRAM cell. IEEE Electron Device Lett. 2002, 23, 85–87. [Google Scholar] [CrossRef]
- Ohsawa, T.; Fujita, K.; Higashi, T.; Iwata, Y.; Kajiyama, T.; Asao, Y.; Sunouchi, K. Memory design using a one-transistor gain cell on SOI. IEEE J. Solid State Circuits 2002, 37, 1510–1522. [Google Scholar] [CrossRef]
- Ranica, R.; Villaret, A.; Malinge, P.; Gasiot, G.; Mazoyer, P.; Roche, P.; Candelier, P.; Jacquet, F.; Masson, P.; Bouchakour, R.; et al. Scaled IT-Bulk devices built with CMOS 90 nm technology for low-cost eDRAM applications. In Proceedings of the Digest of Technical Papers. 2005 Symposium on VLSI Technology, Kyoto, Japan, 14–16 June 2005; pp. 38–39. [Google Scholar] [CrossRef]
- Tack, M.R.; Gao, M.; Claeys, C.L.; Declerck, G.J. The multistable charge-controlled memory effect in SOI MOS transistors at low temperatures. IEEE Trans. Electron Devices 1990, 37, 1373–1382. [Google Scholar] [CrossRef]
- Jeong, H.; Song, K.-W.; Park, I.H.; Kim, T.-H.; Lee, Y.S.; Kim, S.-G.; Seo, J.; Cho, K.; Lee, K.; Shin, H.; et al. A New Capacitorless 1T DRAM Cell: Surrounding Gate MOSFET With Vertical Channel (SGVC Cell). IEEE Trans. Nanotechnol. 2007, 6, 352–357. [Google Scholar] [CrossRef]
- Song, K.W.; Jeong, H.; Lee, J.W.; Hong, S.I.; Tak, N.K.; Kim, Y.T.; Choi, Y.L.; Joo, H.S.; Kim, S.H.; Song, H.J. 55 nm capacitor-less 1T DRAM cell transistor with non-overlap structure. In Proceedings of the 2008 IEEE International Electron Devices Meeting, San Francisco, CA, USA, 15–17 December 2008. [Google Scholar] [CrossRef]
- Lee, C.-W.; Ran, Y.; Ferain, I.; Kranti, A.; Akhvan, N.D.; Razavi, P.; Yu, R.; Colinge, J.P. Nanowire Zero-Capacitor DRAM Transistors with and without Junctions. In Proceedings of the 10th IEEE International Conference on Nanotechnology, Seoul, Korea, 7–20 August 2010; pp. 242–245. [Google Scholar] [CrossRef]
- Chen, Y.-T.; Sun, H.-C.; Huang, C.-F.; Wu, T.-Y.; Liu, C.W.; Hsu, Y.-J.; Chen, J.-S. Capacitorless 1T Memory Cells Using Channel Traps at Grain Boundaries. IEEE Electron Device Lett. 2010, 31, 1125–1127. [Google Scholar] [CrossRef]
- Kim, M.-S.; Cho, W.-J. Capacitorless 1T-DRAM on Crystallized Poly-Si TFT. J. Nanosci. Nanotechnol. 2011, 11, 5608–5611. [Google Scholar] [CrossRef] [PubMed]
- Baek, M.-H.; Lee, S.-H.; Kwon, D.W.; Seo, J.Y.; Park, B.-G. Hole Trapping Phenomenon at the Grain Boundary of Thin Poly-Si Floating-Body MOSFET and Its Capacitor-Less DRAM. Appl. J. Nanosci. Nanotechnol. 2017, 17, 2906–2990. [Google Scholar] [CrossRef]
- Kim, H.-J.; Kang, I.-M.; Cho, S.-J.; Sun, W.-K.; Shin, H.-S. Analysis of operation characteristics of junctionless poly-Si 1T-DRAM in accumulation mode. Semicond. Sci. Technol. 2019, 34, 105007. [Google Scholar] [CrossRef]
- Kim, H.-J.; Yoo, S.-Y.; Kang, I.-M.; Cho, S.-J.; Sun, W.-K.; Shin, H.-S. Analysis of the Sensing Margin of Silicon and Poly-Si 1T-DRAM. Micromachines 2020, 2, 228. [Google Scholar] [CrossRef] [PubMed]
- Jang, W.-D.; Yoon, Y.-J.; Cho, M.-S.; Jung, J.-H.; Lee, S.-H.; Jang, J.-W.; Bae, J.-H.; Kang, I.-M. Polycrystalline silicon metal-oxide-semiconductor field-effect transistor-based stacked multi-layer one-transistor dynamic random-access memory with double-gate structure for the embedded systems. Jpn. Soc. Appl. Phys. 2020, 59. [Google Scholar] [CrossRef]
- Yoon, Y.-J.; Seo, J.-H.; Cho, S.-J.; Lee, J.-H.; Kang, I.-M. A polycrystalline-silicon dual-gate MOSFET-based 1T-DRAM using grain boundary-induced variable resistance. Appl. Phys. Lett. 2019, 114. [Google Scholar] [CrossRef]
- Seo, J.-H.; Yoon, Y.-J.; Yu., E.-S.; Sun, W.-K.; Shin, H.-S.; Kang, I.-M.; Lee, J.-H.; Cho, S.-J. Fabrication and Characterization of a Thin-Body Poly-Si 1T DRAM with Charge-Trap Effect. IEEE Electron Device Lett. 2019, 40. [Google Scholar] [CrossRef]










| Parameter | Value |
|---|---|
| Gate Length (Lg) | 70 nm |
| Body Thickness (Tbody) | 20 nm/60 nm |
| Buried Oxide Thickness (Tbox) | 100 nm |
| Substrate Thickness (Tsub) | 800 nm |
| Gate Oxide Thickness (Tox) | 40 Å |
| Source/Drain Doping Concentration (Arsenic) | |
| Channel Doping Concentration (Boron) | |
| Substrate Doping Concentration (Boron) |
| Write“1” | Write“0” | Read | Hold | |
|---|---|---|---|---|
| Vg (V) | −2 | 0 | 1.1 (Tbody20 nm) 1.2 (Tbody60 nm) | 0 |
| Vd (V) | 0.1/1/2 | −1.5 | 0.1 | 0 |
| Time (ns) | 500 | 150 | 10 | - |
| TBody | 20 nm | 60 nm | ||
| Vd | 1.0 V | 2.0 V | 1.0 V | 2.0 V |
| DIBL [V] | 0.135 | 0.303 | 0.162 | 0.806 |
| Ioff [A] | 9.23 × 10−11 | 6.28 × 10−9 | 7.7 × 10−10 | 4.917 × 10−7 |
© 2020 by the authors. Licensee MDPI, Basel, Switzerland. This article is an open access article distributed under the terms and conditions of the Creative Commons Attribution (CC BY) license (http://creativecommons.org/licenses/by/4.0/).
Share and Cite
Yoo, S.; Sun, W.-K.; Shin, H. Optimization Considerations for Short Channel Poly-Si 1T-DRAM. Electronics 2020, 9, 1051. https://doi.org/10.3390/electronics9061051
Yoo S, Sun W-K, Shin H. Optimization Considerations for Short Channel Poly-Si 1T-DRAM. Electronics. 2020; 9(6):1051. https://doi.org/10.3390/electronics9061051
Chicago/Turabian StyleYoo, Songyi, Woo-Kyung Sun, and Hyungsoon Shin. 2020. "Optimization Considerations for Short Channel Poly-Si 1T-DRAM" Electronics 9, no. 6: 1051. https://doi.org/10.3390/electronics9061051
APA StyleYoo, S., Sun, W.-K., & Shin, H. (2020). Optimization Considerations for Short Channel Poly-Si 1T-DRAM. Electronics, 9(6), 1051. https://doi.org/10.3390/electronics9061051

