Subthreshold Characteristics of AlGaN/GaN MIS-FinFETs with Controlling Threshold Voltages
Abstract
1. Introduction
2. Device Fabrication
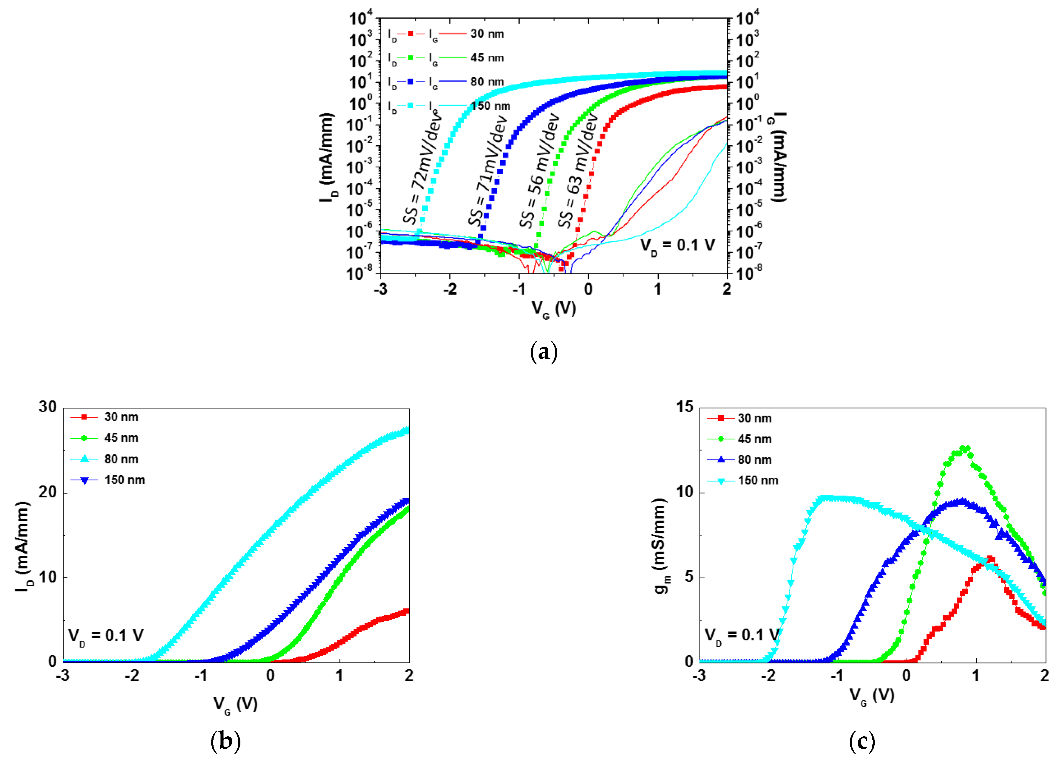
3. Results and Discussion
4. Conclusions
Author Contributions
Funding
Conflicts of Interest
References
- Chen, K.J.; Häberlen, O.; Lidow, A.; Tsai, C.L.; Ueda, T.; Uemoto, Y.; Wu, Y. GaN-on-Si power technology: Devices and applications. IEEE Trans. Electron Devices 2017, 64, 779–795. [Google Scholar] [CrossRef]
- Khandelwal, S.; Chauhan, Y.S.; Fjeldly, T.A.; Ghosh, S.; Pampori, A.; Mahajan, D.; Dangi, R.; Ahsan, S.A. ASM GaN: Industry Standard Model for GaN RF and Power Devices—Part 1: DC, CV, and RF Model. IEEE Trans. Electron Devices 2019, 66, 80–86. [Google Scholar] [CrossRef]
- Flack, T.J.; Pushpakaran, B.N.; Bayne, S.B. GaN Technology for Power Electronic Applications: A Review. J. Electron Mater. 2016, 45, 2673–2682. [Google Scholar] [CrossRef]
- Tang, Z.; Jiang, Q.; Lu, Y.; Huang, S.; Yang, S.; Tang, X.; Chen, K.J. 600-V Normally off SiNx/AlGaN/GaN MIS-HEMT with large gate swing and low current collapse. IEEE Electron Device Lett. 2013, 34, 1373–1375. [Google Scholar] [CrossRef]
- Im, K.S.; Kim, R.H.; Kim, K.W.; Kim, D.S.; Lee, C.S.; Cristoloveanu, S.; Lee, J.H. Normally off single-nanoribbon Al2O3/GaN MISFET. IEEE Electron Device Lett. 2013, 34, 27–29. [Google Scholar] [CrossRef]
- Zhang, H.S.; Ma, X.H.; Zhang, M.; Lu, Y.; Zhu, Q.; Zhao, Z.Y.; Yi, C.P.; Yang, L.A.; Ma, P.J.; Hao, Y. Influence of Different Fin Configurations on Small-Signal Performance and Linearity for AlGaN/GaN Fin-HEMTs. IEEE Trans. Electron Devices 2019, 66, 3302–3309. [Google Scholar] [CrossRef]
- Zhu, M.; Ma, J.; Nela, L.; Erine, C.; Matioli, E. High-Voltage Normally-off Recessed Tri-Gate GaN Power MOSFETs with Low on-Resistance. IEEE Electron Device Lett. 2019, 40, 1289–1292. [Google Scholar] [CrossRef]
- Jo, Y.W.; Son, D.H.; Won, C.H.; Im, K.S.; Seo, J.W.; Kang, I.M.; Lee, J.H. AlGaN/GaN FinFET with Extremely Broad Transconductance by Side-Wall Wet Etch. IEEE Electron Device Lett. 2015, 36, 1008–1010. [Google Scholar] [CrossRef]
- Tamura, T.; Kotani, J.; Kasai, S.; Hashizume, T. Nearly Temperature-Independent Saturation Drain Current in a Multi-Mesa-Channel AlGaN/GaN High Electron Mobility Transistor. Appl. Phys. Express 2008, 1, 023001. [Google Scholar] [CrossRef][Green Version]
- Ohi, K.; Asubar, J.T.; Nishiguchi, K.; Hashizume, T. Current Stability in Multi-Mesa-Channel AlGaN/GaN HEMTs. IEEE Trans. Electron Devices 2013, 60, 2997–3004. [Google Scholar] [CrossRef][Green Version]
- Ohi, K.; Hashizume, T. Drain Current Stability and Controllability of Threshold Voltage and Subthreshold Current in a Multi-Mesa-Channel AlGaN/GaN High Electron Mobility Transistor. Jpn. J. Appl. Phys. 2009, 48, 081002. [Google Scholar] [CrossRef]
- Im, K.S.; Won, C.H.; Jo, Y.W.; Lee, J.H.; Bawedin, M.; Cristoloveanu, S.; Lee, J.H. High-performance GaN-based nanochannel FinFETs With/Without AlGaN/GaN heterostructure. IEEE Trans. Electron Devices 2013, 60, 3012–3018. [Google Scholar] [CrossRef]
- Choi, W.; Seok, O.; Ryu, H.; Cha, H.Y.; Seo, K.S. High-voltage and low-leakage-current gate recessed normally-Off GaN MIS-HEMTs with dual gate insulator employing PEALD-SiNx/RF-Sputtered-HfO2. IEEE Electron Device Lett. 2014, 35, 175–177. [Google Scholar] [CrossRef]
- Uemoto, Y.; Hikita, M.; Ueno, H.; Matsuo, H.; Ishida, H.; Yanagihara, M.; Ueda, T.; Tanaka, T.; Ueda, D. Gate Injection Transistor (GIT)—A Normally-Off Conductivity Modulation. IEEE Trans. Electron Devices 2007, 54, 3393–3399. [Google Scholar] [CrossRef]
- Ohmaki, Y.; Tanimoto, M.; Akamatsu, S.; Mukai, T. Enhancement-mode AlGaN/AlN/GaN high electron mobility transistor with low on-state resistance and high breakdown voltage. Jpn. J. Appl. Phys. 2006, 45, 1168–1170. [Google Scholar] [CrossRef]
- Huang, X.; Liu, Z.; Li, Q.; Lee, F.C. Evaluation and application of 600 V GaN HEMT in cascode structure. IEEE Trans. Power Electron. 2014, 29, 2453–2461. [Google Scholar] [CrossRef]
- Dai, Q.; Son, D.H.; Yoon, Y.J.; Kim, J.G.; Jin, X.; Kang, I.M.; Kim, D.H.; Xu, Y.; Cristoloveanu, S.; Lee, J.H. Deep Sub-60 mV/decade Subthreshold Swing in AlGaN/GaN FinMISHFETs with M-Plane Sidewall Channel. IEEE Trans. Electron Devices 2019, 66, 1699–1703. [Google Scholar] [CrossRef]
- Chu, Y.; Lu, S.C.; Chowdhury, N.; Povolotskyi, M.; Klimeck, G.; Mohamed, M.; Palacios, T. Superior Performance of 5-nm Gate Length GaN Nanowire nFET for Digital Logic Applications. IEEE Electron Device Lett. 2019, 40, 874–877. [Google Scholar] [CrossRef]
- Son, D.H.; Jo, Y.W.; Seo, J.H.; Won, C.H.; Im, K.S.; Lee, Y.S.; Jang, H.S.; Kim, D.H.; Kang, I.M.; Lee, J.H. Low voltage operation of GaN vertical nanowire MOSFET. Solid-State Electron. 2018, 145, 1–7. [Google Scholar] [CrossRef]
- Xu, Y.; Cristoloveanu, S.; Bawedin, M.; Im, K.S.; Lee, J.H. Performance Improvement and Sub-60 mV/Decade Swing in AlGaN/GaN FinFETs by Simultaneous Activation of 2DEG and Sidewall MOS Channels. IEEE Trans. Electron Devices 2018, 65, 915–920. [Google Scholar] [CrossRef]
- Hao, R.; Fu, K.; Yu, G.; Li, W.; Yuan, J.; Song, L.; Zhang, Z.; Sun, S.; Li, X.; Cai, Y.; et al. Normally-off p-GaN/AlGaN/GaN high electron mobility transistors using hydrogen plasma treatment. Appl. Phys. Lett. 2016, 109, 152106. [Google Scholar] [CrossRef]
- Song, B.; Zhu, M.; Hu, Z.; Qi, M.; Nomoto, K.; Yan, X.; Cao, Y.; Jena, D.; Xing, H.G. Ultralow-Leakage AlGaN/GaN High Electron Mobility Transistors on Si With Non-Alloyed Regrown Ohmic Contacts. IEEE Electron Device Lett. 2016, 37, 16–19. [Google Scholar] [CrossRef]
- Ahn, H.K.; Kim, H.C.; Kang, D.M.; Kim, S.L.; Lee, J.M.; Lee, S.H.; Min, B.G.; Yoon, H.S.; Kim, D.Y.; Lim, J.W.; et al. Effect of Fluoride-based Plasma Treatment on the Performance of AlGaN/GaN MISHFET. ETRI J. 2016, 38, 675–684. [Google Scholar]
- Zhang, K.; Kong, Y.; Zhu, G.; Zhou, J.; Yu, X.; Kong, C.; Li, Z.; Chen, T. High-Linearity AlGaN/GaN FinFETs for Microwave Power Applications. IEEE Electron Device Lett. 2017, 38, 615–618. [Google Scholar] [CrossRef]
- Matocha, K.; Tilak, V.; Dunne, G. Comparison of metal-oxide-semiconductor capacitors on c- and m-plane gallium nitride. Appl. Phys. Lett. 2007, 90, 123511. [Google Scholar] [CrossRef]
- Son, D.H.; Jo, Y.W.; Sindhuri, V.; Im, K.S.; Seo, J.H.; Kim, Y.T.; Kang, I.M.; Cristoloveanu, S.; Bawedin, M.; Lee, J.H. Effects of sidewall MOS channel on performance of AlGaN/GaN FinFET. Microelectron. Eng. 2015, 147, 155–158. [Google Scholar] [CrossRef]
- Jo, Y.W.; Son, D.H.; Won, C.H.; Sindhuri, V.; Kim, J.H.; Seo, J.H.; Kang, I.M.; Lee, J.H. Control of Transconductance in High Performance AlGaN/GaN FinFETs. In Proceedings of the IEEE 11th International Conference on Power Electronics and Drive Systems, Sydney, Australia, 9–12 June 2015. [Google Scholar]
- Lu, B. AlGaN/GaN-Based Power Semiconductor Switches. Ph.D. Thesis, Massachusetts Institute of Technology, Cambridge, MA, USA, June 2013. [Google Scholar]




| Wfin (nm) | VTH (V) | SS (mV/dec) | gm Peak (mS/mm) | FWHM of gm (V) | Hysteresis (mV) |
|---|---|---|---|---|---|
| 30 | 0.3 | 63 | 6.1 | 0.92 | 400 |
| 45 | −0.2 | 54 | 12.6 | 1.52 | 320 |
| 80 | −0.9 | 71 | 9.5 | 2.40 | 240 |
| 150 | −1.9 | 72 | 9.8 | 3.12 | 120 |
| Wfin (nm) | Sidewall Type | VTH (V) | SS (mV/dec) | gm Peak (mS/mm) | FWHM of gm (V) |
|---|---|---|---|---|---|
| 30 | sloped | 0.3 | 63 | 6.1 | 0.92 |
| 30 | steep | 0.6 | 37 | 15.6 | 0.60 |
| Wfin (nm) | VTH (V) | SS (mV/dec) | gm Peak (mS/mm) | FWHM of gm (V) | Hysteresis (mV) |
|---|---|---|---|---|---|
| 40 | 2.3 | 52 | 17 | 0.88 | 400 |
| 50 | 1.8 | 61 | 19.5 | 1.04 | 480 |
| 100 | 0.8 | 63 | 13.9 | 2.12 | 400 |
| 130 | 0 | 68 | 14.4 | 2.44 | 400 |
Publisher’s Note: MDPI stays neutral with regard to jurisdictional claims in published maps and institutional affiliations. |
© 2020 by the authors. Licensee MDPI, Basel, Switzerland. This article is an open access article distributed under the terms and conditions of the Creative Commons Attribution (CC BY) license (http://creativecommons.org/licenses/by/4.0/).
Share and Cite
Dai, Q.; Lee, J.-H. Subthreshold Characteristics of AlGaN/GaN MIS-FinFETs with Controlling Threshold Voltages. Electronics 2020, 9, 1967. https://doi.org/10.3390/electronics9111967
Dai Q, Lee J-H. Subthreshold Characteristics of AlGaN/GaN MIS-FinFETs with Controlling Threshold Voltages. Electronics. 2020; 9(11):1967. https://doi.org/10.3390/electronics9111967
Chicago/Turabian StyleDai, Quan, and Jung-Hee Lee. 2020. "Subthreshold Characteristics of AlGaN/GaN MIS-FinFETs with Controlling Threshold Voltages" Electronics 9, no. 11: 1967. https://doi.org/10.3390/electronics9111967
APA StyleDai, Q., & Lee, J.-H. (2020). Subthreshold Characteristics of AlGaN/GaN MIS-FinFETs with Controlling Threshold Voltages. Electronics, 9(11), 1967. https://doi.org/10.3390/electronics9111967
