Employing a Laser Headlight Electrical System to Measure and Calculate Electro-Optic Conversion Efficiencies of Blue-Beam Laser Diodes
Abstract
1. Introduction
- ▪
- measured and observed OOP variations under driving different average currents at 0 °C;
- ▪
- measured and observed OOP variations by using low-frequency PDCM from low to high temperatures;estimated and observed the electro-optic conversion (EOC) efficiencies of laser diodes;
- ▪
- established and showed a complete measurement system for the LHES;
- ▪
- elaborated on measurement methods for the LHES; and
- ▪
- discussed these electro-optic characteristics and experimental results.The present article was hence conducted to fill these lacks.
2. Laser Headlight Electrical System
2.1. EOC Efficiency of Average Current Modulation
2.2. EOC Efficiency of PDCM
2.3. Root Mean Square (RMS) Calculation
2.4. Mean-Value Calculation
2.5. Human–Machine Interface
2.6. Software Flowchart for Human–Machine Interface of LabVIEW
2.7. Software Flowchart of MCU
3. Measurement System and LHES Specification
3.1. Measurement System
3.2. LHES Specification
4. Experimental Results
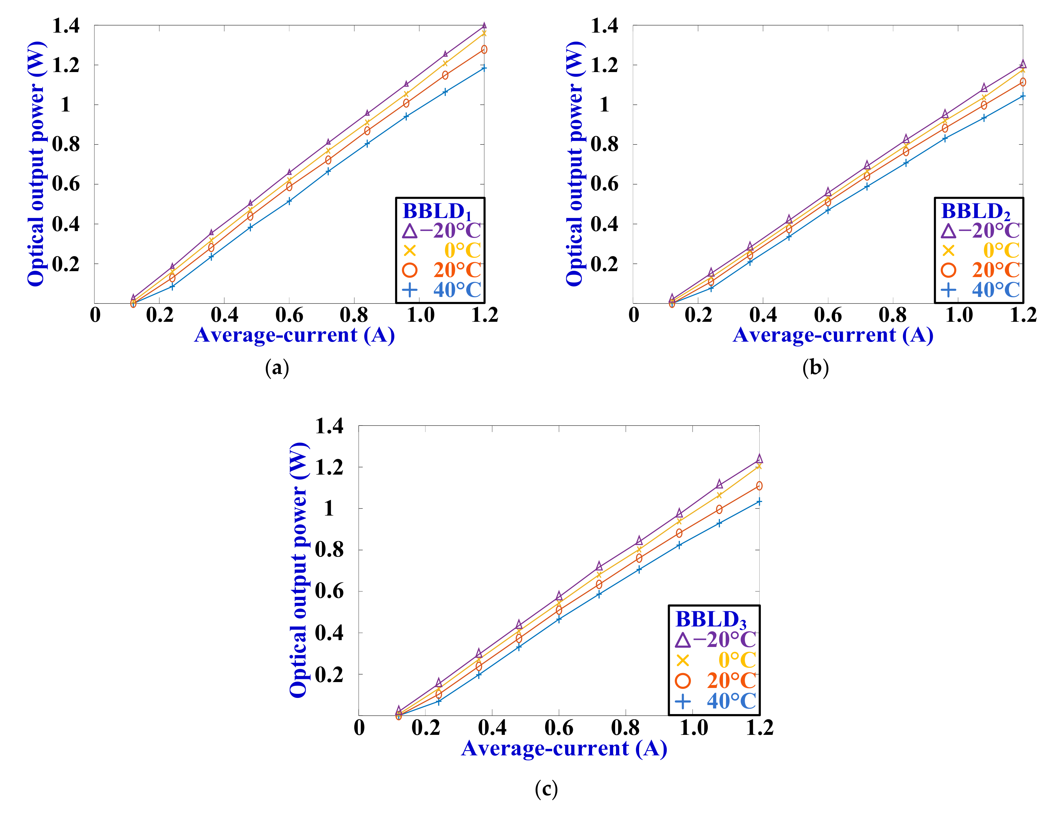
4.1. OOP of Average-Current Modulation
- ▪
- The OOPs and average currents presented a linear increase, and the OOPs were proportional to the average currents.
- ▪
- The three BBLDs exhibited maximum OOP at the maximum average current of 1.2 A and the lowest temperature of −20 °C.
- ▪
- At an equivalent average current, when the temperatures were increased, the OOPs at the highest temperature of 40 °C were lower than those at the lowest temperature of −20 °C.
4.2. EOC Efficiency of Average Current Modulation
- ▪
- The EOC efficiencies of the three BBLDs can be retained between 17.9% and 21.1% when BBLDs’ driving average currents were higher than 0.6 A;The EOC efficiencies were abruptly reduced when the average driving currents of the BBLDs were lower than 0.6 A;
- ▪
- The minimum OOP was approximately 0 at the minimum average currents of 0.12 A; this result was highly unfavorable for headlight lighting applications.
4.3. OOP of PDCM at Frequency of 400 Hz
4.4. EOC Efficiency Estimation Using Electrical Power Mean Value
4.5. EOC Efficiency Estimation Using Electrical Power RMS Value
4.6. OOP and EOC Efficiency of PDCM at Frequency of 250 Hz
4.7. OOP and EOC Efficiency of PDCM at Frequency of 100 Hz
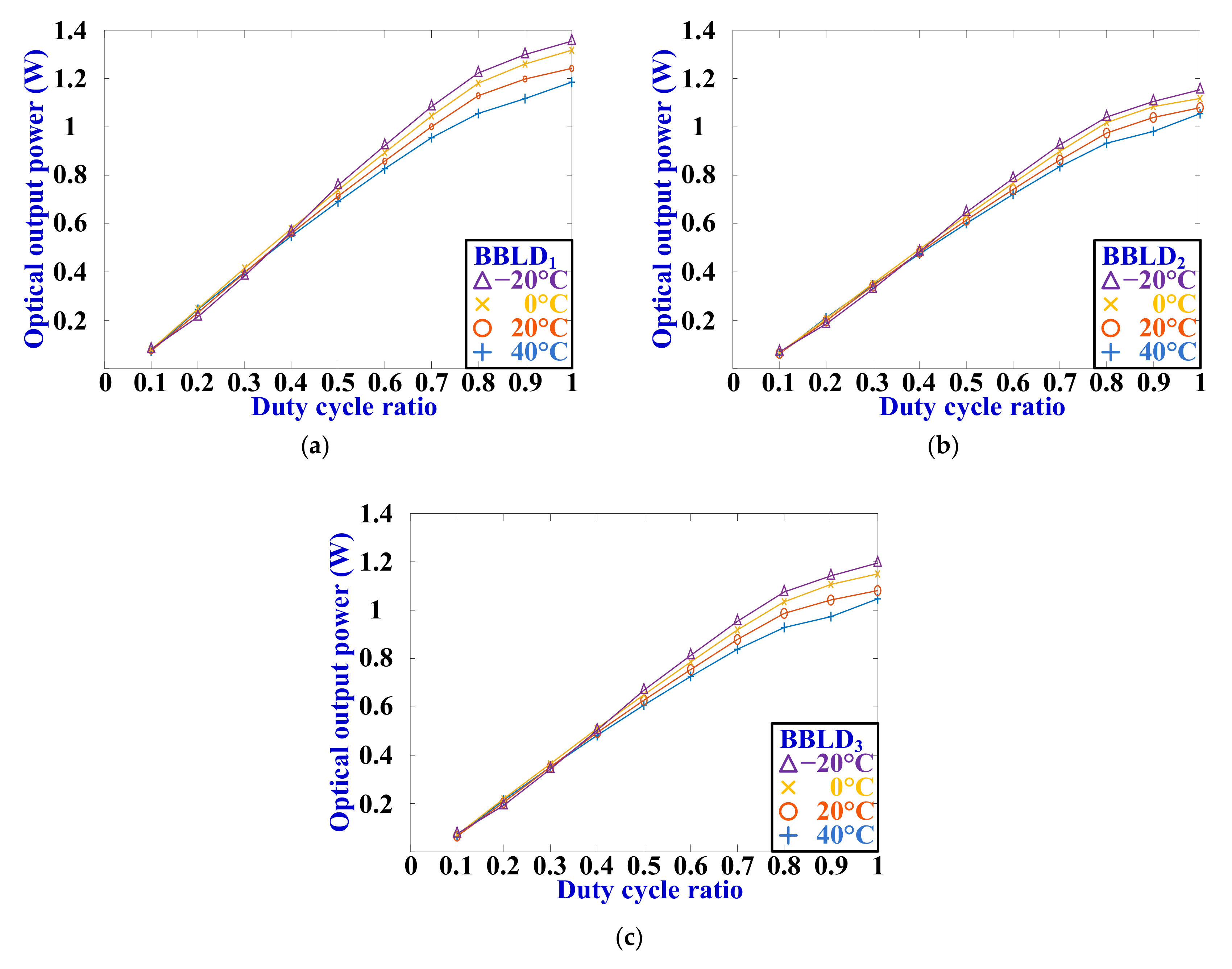
- ▪
- According to Equation (3), when Dpdcm was adjusted between 0.5 and 0.9, the OOP presented a nonlinear variation with Dpdcm. For the identical Dpdcm range at different temperatures, the OOPs were different.
- ▪
- When Dpdcm was adjusted between 0.1 and 0.4, the OOP presented a linear variation with Dpdcm. For the identical Dpdcm range at 400 Hz and different temperatures, the OOPs were identical approximately.
- ▪
- Dpdcm was adjusted between 0.5 and 0.9; the EOC efficiencies can be greater than 0.15.
- ▪
- When Dpdcm was adjusted between 0.1 and 0.5, the EOC efficiency presented drastic change with the different temperatures, especially in the PDCM of 100 Hz.
- ▪
- When PDCMs of 100 Hz, 250 Hz and 400 Hz were employed for OOP adjustment, the EOC efficiency variation at different temperatures presented a convincing result because the EOC efficiencies of PDCM were similar to the average current modulation.
- ▪
- Employing the low-frequency PDCM, all efficiencies were higher than 0.1.
- ▪
- The EOC efficiencies in the low OOPs were excellent using the PDCM.
- ▪
- The high-frequency PDCM can obtain a smooth EOC efficiency curve.
- ▪
- Using the PDCM, the EOC efficiencies can be maintained in a stable range because they were not much difference between the normal and high temperatures (20 °C and 40 °C).
- ▪
- Using the average current modulation, the OOPs following the average currents presented linear variation (Figure 8).
4.8. Human–Machine Interface Manipulation and Motoring
4.9. Waveform of PDCM
4.10. LHES Prototype and Practical Measurement System
5. Conclusions
Author Contributions
Funding
Acknowledgments
Conflicts of Interest
References
- Aoike, N.; Hoshino, M.; Iwabuchi, A. Automotive HID headlamps producing compact electronic ballasts using power ICs. IEEE Trans. Ind. Appl. Mag. 2002, 8, 37–41. [Google Scholar] [CrossRef]
- Cheng, H.; Moo, C.; Yang, C.; Huang, C. Analysis and implementation of an HPF electronic ballast for HID lamps with LFSW voltage. IEEE Trans. Power Electron. 2012, 27, 4584–4593. [Google Scholar] [CrossRef]
- Chiu, H.; Lo, Y.; Yao, C.; Cheng, S. Design and implementation of a photovoltaic high-intensity-discharge street lighting system. IEEE Trans. Ind. Appl. Mag. 2011, 26, 3464–3471. [Google Scholar] [CrossRef]
- Abu-Ageel, N.; Aslam, D. Laser-driven visible solid-state light source for etendue-limited applications. IEEE Trans. Ind. Appl. Mag. 2014, 10, 700–703. [Google Scholar] [CrossRef]
- Longa, X.; Heb, J.; Zhouc, J.; Fangc, L.; Zhoub, X.; Renb, F.; Xu, T. A review on light-emitting diode based automotive headlamps. Renew. Sustain. Energy Rev. 2015, 41, 29–41. [Google Scholar] [CrossRef]
- Qu, X.; Wong, S.; Tse, C. Temperature measurement technique for stabilizing the light output of RGB LED lamps. IEEE Trans. Instrum. Meas. 2009, 59, 661–670. [Google Scholar]
- Górecki, K.; Ptak, P. New method of measurements transient thermal impedance and radial power of power LEDs. IEEE Trans. Instrum. Meas. 2020, 69, 212–220. [Google Scholar] [CrossRef]
- Ulrich, L. White brights with lasers. IEEE Spectr. 2013, 50, 36–56. [Google Scholar] [CrossRef]
- Pai, K. Depressing start-up current overshoot for a laser leadlight driver in high-temperature and forward voltage drift conditions. IEEE Trans. Ind. Electron. 2018, 165, 815–826. [Google Scholar]
- Pai, K.; Qin, L.; Lin, C.; Tang, S. Start-up current spike mitigation of high-power laser diode driving controller for vehicle headlamp applications. Appl. Sci. 2018, 8, 532. [Google Scholar] [CrossRef]
- Xu, J.; Shen, Q.; Zhang, Y.; Deng, L. A Laser Headlamp Control System Brightness Adjustable Color Temperature. Available online: https://patents.google.com/patent/CN207995474U/en?oq=cn+207995474+u (accessed on 12 October 2018).
- Stam, J.S. System for Controlling Exterior Vehicle Lights. Available online: https://patents.google.com/patent/US7653215B2/en?oq=US+7%2c653%2c215+B2 (accessed on 15 January 2010).
- Tiefenbacher, E. Safety Device for Headlights with Laser Light Sources and Method for Shutting Down Laser Light Sources in Case of Safety-Critical Conditions. Available online: https://patents.google.com/patent/WO2013096984A1/en?oq=WO+2013%2f096984+AI (accessed on 18 July 2013).
- Gacio, D.; Marcos-Alonso, J.; Garcia, J.; Campa, L.; Crespo, M.; Rico-Secades, M. PWM series dimming for slow-dynamics HPF LED drivers: The high-frequency approach. IEEE Trans. Ind. Electron. 2014, 59, 1717–1727. [Google Scholar] [CrossRef]
- Wang, J.; Wu, S.; Su, W.; Lin, Y. Study and implementation of the LED headlight driver with auto-start function in specific location. IET Intell. Transp. Syst. 2016, 10, 623–634. [Google Scholar] [CrossRef]
- Ahn, H.; Hong, S.; Kwon, O. A fast switching current regulator using slewing time reduction method for high dimming ratio of LED backlight drivers. IEEE Trans. Circuits Syst. II Express Briefs 2016, 11, 1014–1018. [Google Scholar] [CrossRef]
- Liu, X.; Zhou, Q.; Xu, J.; Lei, Y.; Wang, P.; Zhu, Y. High-efficiency resonant LED backlight driver with passive current balancing and dimming. IEEE Trans. Ind. Electron. 2018, 6, 5476–5486. [Google Scholar] [CrossRef]
- Hanna, B.; Alfons, S. Using OSRAM OS Visible InGaN Laser Diodes. Available online: https://dammedia.osram.info/media/resource/hires/osram-dam-2496571/Using%20OSRAM%20OS%20Visible%20InGaN%20Laser%20Diodes.pdf (accessed on 22 March 2018).
- Lin, C.; Pai, K.; Chen, P. Development and implementation of a laser headlight system for electro-optic characteristic measurement and comparison. Int. J. Circuit Theory Appl. 2020, 48, 294–307. [Google Scholar] [CrossRef]
































| [8] | [9,10] | [11] | [12] | [13] | This Work | |
|---|---|---|---|---|---|---|
| Power converter topology | Undescribed | Buck–boost converter | Undescribed | Undescribed | Undescribed | Buck–boost converter |
| Dimming method | Undescribed | Undescribed | PDCM | Undescribed | Undescribed | PDCM |
| Temperature variation test | Undescribed | Analysis of ignition current spike | Undescribed | Undescribed | Undescribed | Comparisons of OP and efficiency |
| Communication | Undescribed | Undescribed | CAN-bus | Undescribed | Undescribed | CAN-bus |
| [14] | [15] | [16] | [17] | This Work | |
|---|---|---|---|---|---|
| Application | Undescribed | Headlight | LEDBacklight | LEDBacklight | Headlight |
| Dimming technology | PDCM and average current | PDCM | PDCM | PDCM and average current | PDCM |
| Temperature variation test | Undescribed | Undescribed | Undescribed | Undescribed | Comparisons of OOP and efficiency |
| Brightness or OOP measurement | Undescribed | Undescribed | Undescribed | Undescribed | Implementation |
| Function Module | Description | Notation | Specification |
|---|---|---|---|
| Buck converter | Input voltage range | Vin | 9 to 16 V |
| Output voltage | Vbk | 5 V | |
| Buck–boost converter | Input voltage range | Vin | 9 to 16 V |
| Output voltage range | Vld | 14 to 18 V | |
| Output current range | Ild | 1.08 to 1.32 A |
| Electronic Elements | Model Number |
|---|---|
| Buck converter controller | LT3505IMS8E#PBF |
| Buck–Boost converter controller | LTC3780EG#PBF |
| MCU | S9S12G48F1MLC |
| CAN-bus transceiver | TJA1040T |
| Gate driver | TPS2819DBV |
| CC controller | LM258ADR |
| SW | KSH41CTF |
| BBLD | PL TB405B |
| CAN-bus/USB transform interface | NI USB-8473 |
Publisher’s Note: MDPI stays neutral with regard to jurisdictional claims in published maps and institutional affiliations. |
© 2020 by the authors. Licensee MDPI, Basel, Switzerland. This article is an open access article distributed under the terms and conditions of the Creative Commons Attribution (CC BY) license (http://creativecommons.org/licenses/by/4.0/).
Share and Cite
Pai, K.-J.; Lin, C.-H.; Chen, P.-H. Employing a Laser Headlight Electrical System to Measure and Calculate Electro-Optic Conversion Efficiencies of Blue-Beam Laser Diodes. Electronics 2020, 9, 1902. https://doi.org/10.3390/electronics9111902
Pai K-J, Lin C-H, Chen P-H. Employing a Laser Headlight Electrical System to Measure and Calculate Electro-Optic Conversion Efficiencies of Blue-Beam Laser Diodes. Electronics. 2020; 9(11):1902. https://doi.org/10.3390/electronics9111902
Chicago/Turabian StylePai, Kai-Jun, Chang-Hua Lin, and Po-Hsun Chen. 2020. "Employing a Laser Headlight Electrical System to Measure and Calculate Electro-Optic Conversion Efficiencies of Blue-Beam Laser Diodes" Electronics 9, no. 11: 1902. https://doi.org/10.3390/electronics9111902
APA StylePai, K.-J., Lin, C.-H., & Chen, P.-H. (2020). Employing a Laser Headlight Electrical System to Measure and Calculate Electro-Optic Conversion Efficiencies of Blue-Beam Laser Diodes. Electronics, 9(11), 1902. https://doi.org/10.3390/electronics9111902

