Privacy-Preserving Consensus over a Distributed Network against Eavesdropping Attacks
Abstract
1. Introduction
- We propose a criterion to measure the degree of privacy leaks. Under the criterion, when the eavesdropper is with limited power, we find a suboptimal eavesdropping strategy in ring and small-world network.
- We explore the convergence performance of our proposed privacy preserving consensus scheme under different noise distributions. We reveal the relationship between the convergence step and variances of the noises by numerical simulations. Besides, we also show that the privacy disclosure of our scheme is smaller than that of the scheme in [24] under certain condition.
2. Problem Formulation
2.1. Preliminaries
2.2. Analysis of Privacy Disclosure
2.3. Privacy Preserving Scheme
- Each node i generates a random integer , with and M being a given positive integer.
- Mark the real initial state of node i as , and reset the initial state of each node as for state update, and denote .
- Each node generates numbers . These numbers can be arbitrary as long as and
- At time step k, inject the number into the state of each node, where
3. Main Results
3.1. Analysis of Privacy Preserving
3.2. Privacy Preservation in the Presence of an Eavesdropper
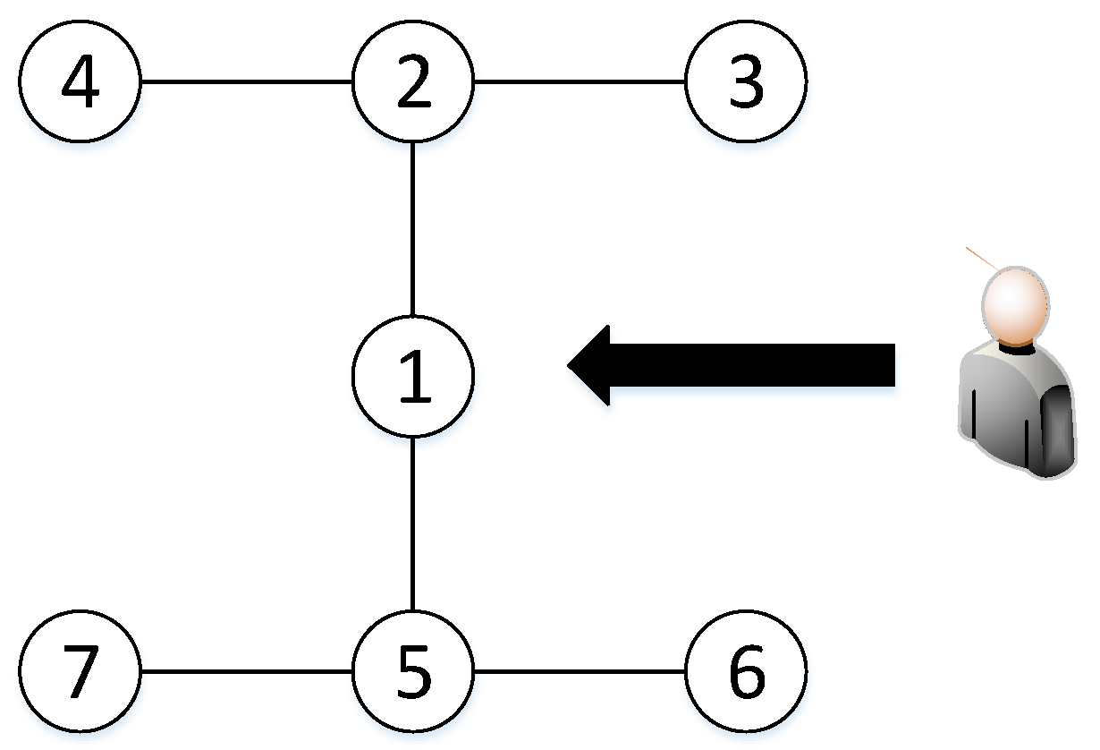
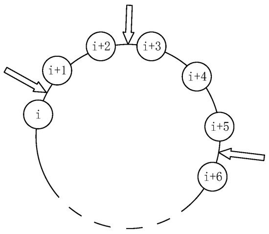
- At time step k, when the information transmitted on edge and is exposed, the eavesdropper can easily utilize the obtained information to predict the state of node 1 at time step , denoted as , which does not contain the offset . According to the information transmitted from node 1 to node 5 at time step , , the eavesdropper can further obtain the injected value which equals . The eavesdropper can derive the injected value at each step, then the initial state of node 1 can be deduced after several interactions.
- At time step k, when the information passed on edge and have been exposed, because the information sent from node 5 to its neighbors are identical, the eavesdropper can speculate all the information sent to node 1, then it can complete the speculation in a similar way.
4. Privacy Preserving in Two Typical Networks
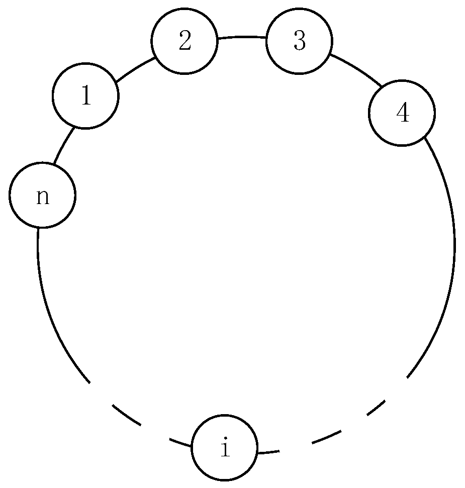
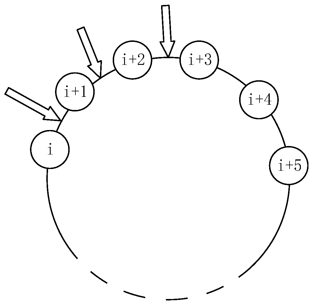
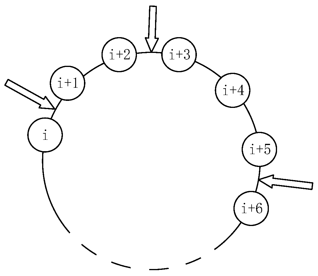
4.1. Ring Network
4.2. Small-World Network
| Algorithm 1 Suboptimal attacking strategy in arbitrary network |
where is generated by the following procedure:
|
5. Numerical Examples
5.1. An Example of Privacy Disclosure
5.2. Convergence and Exact Average Consensus Evaluation
5.3. Privacy Preserving Performance Comparison
6. Conclusions
Author Contributions
Funding
Conflicts of Interest
Appendix A. Proofs of Theorems
References
- Olfati-Saber, R.; Murray, R.M. Consensus problems in networks of agents with switching topology and time-delays. IEEE Trans. Autom. Control 2004, 49, 1520–1533. [Google Scholar] [CrossRef]
- Miao, G.; Li, G.; Li, T.; Liu, Y. H∞ consensus control for heterogeneous multi-agent via output under markov switching topologies. Electronics 2018, 7, 453. [Google Scholar] [CrossRef]
- Shi, L.; Xie, L. Optimal sensor power scheduling for state estimation of Gauss–Markov systems over a packet-dropping network. IEEE Trans. Signal Process. 2012, 60, 2701–2705. [Google Scholar] [CrossRef]
- Chen, Z.; Zhang, H.T. Analysis of joint connectivity condition for multiagents with boundary constraints. IEEE Trans. Cybern. 2013, 43, 437–444. [Google Scholar] [CrossRef] [PubMed]
- Yang, W.; Wang, X.; Shi, H. Fast consensus seeking in multi-agent systems with time delay. Syst. Control Lett. 2013, 62, 269–276. [Google Scholar] [CrossRef]
- Yang, W.; Wang, Z.; Zuo, Z.; Yang, C.; Shi, H. Nodes selection strategy in cooperative tracking problem. Automatica 2016, 74, 118–125. [Google Scholar] [CrossRef]
- Hu, W.; Liu, L.; Feng, G. Consensus of linear multi-agent systems by distributed event-triggered strategy. IEEE Trans. Cybern. 2015, 46, 148–157. [Google Scholar] [CrossRef]
- Gray, J.; Lamport, L. Consensus on transaction commit. ACM Trans. Database Syst. 2006, 31, 133–160. [Google Scholar] [CrossRef]
- Lamport, L.; Shostak, R.; Pease, M. The Byzantine generals problem. ACM Trans. Program. Lang. Syst. 1982, 4, 382–401. [Google Scholar] [CrossRef]
- Kefayati, M.; Talebi, M.S.; Khalaj, B.H.; Rabiee, H.R. Secure consensus averaging in sensor networks using random offsets. In Proceedings of the 2007 IEEE International Conference on Telecommunications and Malaysia International Conference on Communications, Penang, Malaysia, 14–17 May 2007; pp. 556–560. [Google Scholar]
- Zhang, H.; Cheng, P.; Wu, J.; Shi, L.; Chen, J. Online deception attack against remote state estimation. IFAC Proc. Vol. 2014, 47, 128–133. [Google Scholar] [CrossRef]
- Qi, Y.; Cheng, P.; Shi, L.; Chen, J. Event-based attack against remote state estimation. In Proceedings of the 2015 54th IEEE Conference on Decision and Control (CDC), Osaka, Japan, 15–18 December 2015; pp. 6844–6849. [Google Scholar]
- Lei, L.; Yang, W.; Yang, C.; Shi, H. False data injection attack on consensus-based distributed estimation. Int. J. Robust Nonlinear Control 2017, 27, 1419–1432. [Google Scholar] [CrossRef]
- Zhao, C.; He, J.; Cheng, P.; Chen, J. Analysis of consensus-based distributed economic dispatch under stealthy attacks. IEEE Trans. Ind. Electron. 2016, 64, 5107–5117. [Google Scholar] [CrossRef]
- Kolesnikov, V. Advances and impact of secure function evaluation. Bell Labs Tech. J. 2009, 14, 187–192. [Google Scholar] [CrossRef]
- Qin, J.; Ma, Q.; Shi, Y.; Wang, L. Recent advances in consensus of multi-agent systems: A brief survey. IEEE Trans. Ind. Electron. 2016, 64, 4972–4983. [Google Scholar] [CrossRef]
- Fan, C.I.; Huang, S.Y.; Lai, Y.L. Privacy-enhanced data aggregation scheme against internal attackers in smart grid. IEEE Trans. Ind. Inform. 2013, 10, 666–675. [Google Scholar] [CrossRef]
- Li, S.; Xue, K.; Yang, Q.; Hong, P. PPMA: Privacy-preserving multisubset data aggregation in smart grid. IEEE Trans. Ind. Inform. 2017, 14, 462–471. [Google Scholar] [CrossRef]
- Kishida, M. Encrypted Average Consensus with Quantized Control Law. In Proceedings of the 2018 IEEE Conference on Decision and Control (CDC), Miami Beach, FL, USA, 17–19 December 2018; pp. 5850–5856. [Google Scholar]
- Guo, S.; Zeng, D.; Xiang, Y. Chameleon hashing for secure and privacy-preserving vehicular communications. IEEE Trans. Parallel Distrib. Syst. 2013, 25, 2794–2803. [Google Scholar] [CrossRef]
- Lu, Y.; Zhu, M. Privacy preserving distributed optimization using homomorphic encryption. Automatica 2018, 96, 314–325. [Google Scholar] [CrossRef]
- Zhou, Y.; Liu, T.; Tang, F.; Wang, F.; Tinashe, M. A Privacy-preserving authentication and key agreement scheme with deniability for IoT. Electronics 2019, 8, 450. [Google Scholar] [CrossRef]
- Huang, Z.; Mitra, S.; Dullerud, G. Differentially private iterative synchronous consensus. In Proceedings of the 2012 ACM Workshop on Privacy in the Electronic Society, Raleigh, NC, USA, 15 October 2012; ACM: New York, NY, USA, 2012; pp. 81–90. [Google Scholar]
- Manitara, N.E.; Hadjicostis, C.N. Privacy-preserving asymptotic average consensus. In Proceedings of the 2013 European Control Conference (ECC), Zurich, Switzerland, 17–19 July 2013; pp. 760–765. [Google Scholar]
- Mo, Y.; Murray, R.M. Privacy preserving average consensus. IEEE Trans. Autom. Control 2016, 62, 753–765. [Google Scholar] [CrossRef]
- He, J.; Cai, L.; Guan, X. Preserving data-privacy with added noises: Optimal estimation and privacy analysis. IEEE Trans. Inf. Theory 2018, 64, 5677–5690. [Google Scholar] [CrossRef]
- Petrillo, A.; Pescape, A.; Santini, S. A collaborative approach for improving the security of vehicular scenarios: The case of platooning. Comput. Commun. 2018, 122, 59–75. [Google Scholar] [CrossRef]
- Santini, S.; Salvi, A.; Valente, A.; Pescape, A.; Segata, M.; Cigno, R. Platooning Maneuvers in Vehicular Networks: A Distributed and Consensus-Based Approach. IEEE Trans. Intell. Veh. 2019, 4, 59–72. [Google Scholar] [CrossRef]
- Zhou, H.; Yang, W.; Yang, C.; Tang, Y.; Shi, H. Optimal eavesdropping problem in privacy preserving consensus. In Proceedings of the IECON 2017-43rd Annual Conference of the IEEE Industrial Electronics Society, Beijing, China, 29 October–1 November 2017; pp. 5929–5934. [Google Scholar]
- Xiao, L.; Boyd, S. Fast linear iterations for distributed averaging. Syst. Control Lett. 2004, 53, 65–78. [Google Scholar] [CrossRef]
- Horn, R.A.; Johnson, C.R. Matrix Analysis; Cambrige Univeristy Press: Cambrige, UK, 2012. [Google Scholar]
- Zappone, A.; Lin, P.H.; Jorswieck, E. Optimal energy-efficient design of confidential multiple-antenna systems. IEEE Trans. Inf. Forensics Secur. 2017, 13, 237–252. [Google Scholar] [CrossRef]
- Wang, X.F.; Chen, G. Complex networks: small-world, scale-free and beyond. IEEE Circuits Syst. Mag. 2003, 3, 6–20. [Google Scholar] [CrossRef]
- Gale, D.; Kuhn, H.W.; Tucker, A.W. Linear programming and the theory of games. Act. Anal. Prod. Alloc. 1951, 13, 317–335. [Google Scholar]
- Kraft, D. Algorithm 733: TOMP–Fortran modules for optimal control calculations. ACM Trans. Math. Softw. (TOMS) 1994, 20, 262–281. [Google Scholar] [CrossRef]
- Watts, D.J.; Strogatz, S.H. Collective dynamics of small-world networks. Nature 1998, 393, 440–442. [Google Scholar] [CrossRef]
- Hong, H.; Choi, M.Y.; Kim, B.J. Collective synchronization on small-world networks. Phys. Rev. E 2002, 65, 026139. [Google Scholar] [CrossRef]
- Wang, X.F.; Chen, G. Synchronization in small-world dynamical networks. Int. J. Bifurc. Chaos 2002, 12, 187–192. [Google Scholar] [CrossRef]






















| Distribution | Convergence Step |
|---|---|
| Exponential | 374.188 |
| Normal | 374.357 |
| Uniform | 374.440 |
© 2019 by the authors. Licensee MDPI, Basel, Switzerland. This article is an open access article distributed under the terms and conditions of the Creative Commons Attribution (CC BY) license (http://creativecommons.org/licenses/by/4.0/).
Share and Cite
Li, D.; Zhou, H.; Yang, W. Privacy-Preserving Consensus over a Distributed Network against Eavesdropping Attacks. Electronics 2019, 8, 966. https://doi.org/10.3390/electronics8090966
Li D, Zhou H, Yang W. Privacy-Preserving Consensus over a Distributed Network against Eavesdropping Attacks. Electronics. 2019; 8(9):966. https://doi.org/10.3390/electronics8090966
Chicago/Turabian StyleLi, Dengke, Han Zhou, and Wen Yang. 2019. "Privacy-Preserving Consensus over a Distributed Network against Eavesdropping Attacks" Electronics 8, no. 9: 966. https://doi.org/10.3390/electronics8090966
APA StyleLi, D., Zhou, H., & Yang, W. (2019). Privacy-Preserving Consensus over a Distributed Network against Eavesdropping Attacks. Electronics, 8(9), 966. https://doi.org/10.3390/electronics8090966

