SoC Design Based on a FPGA for a Configurable Neural Network Trained by Means of an EKF
Abstract
:1. Introduction
2. Configurable FPGA Implementation of MFNN
- Validation mode, allows replicating the transfer function of the previously configured MFNN.
- Training mode uses the first dataset to process the EKF.
- Testing mode (debugger) extracts information that was processed and stored by the hardware, i.e., sums and threshold functions. The information is correlated by a personal computer for validation of the MFNN functionality. This step is performed once.
- the number of layers (up to 256);
- the number of perceptrons per layer (up to 32);
- selection of input vectors up to 4, each one with dimension 16; and
- selection of threshold function per layer, where the hardware has embedded the five most common threshold functions: linear, hard-limit, sigmoid, tangent hyperbolic, and Gaussian.
2.1. Forwardpropagation
2.2. Jacobian Matrix
2.3. Kalman Gain and Error Covariance Matrices
2.4. Weight Update
2.5. Stop Criteria
3. FPGA Implementations
3.1. Implementation Based on HIL Technique
3.2. Full FPGA Implementation
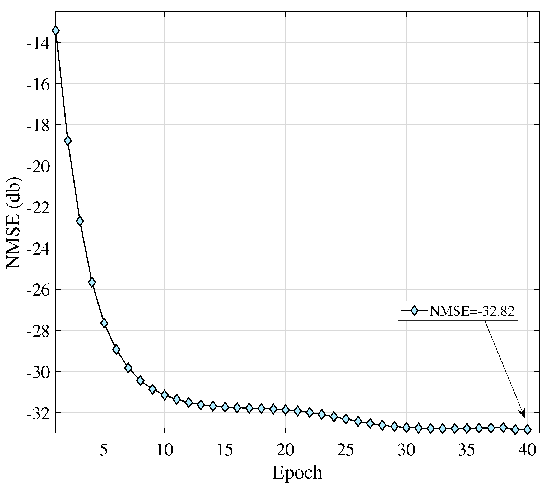
4. Experimental Results
5. Conclusions
Author Contributions
Funding
Conflicts of Interest
References
- Turajlic, E.; Begović, A.; Škaljo, N. Application of Artificial Neural Network for Image Noise Level Estimation in the SVD domain. Electronics 2019, 8, 163. [Google Scholar] [CrossRef]
- Reynaldi, A.; Lukas, S.; Margaretha, H. Backpropagation and Levenberg-Marquardt Algorithm for Training Finite Element Neural Network. In Proceedings of the 2012 Sixth UKSim/AMSS European Symposium on Computer Modeling and Simulation, Valetta, Malta, 14–16 November 2012; pp. 89–94. [Google Scholar]
- Vo, H.M. Implementing the on-chip backpropagation learning algorithm on FPGA architecture. In Proceedings of the 2017 International Conference on System Science and Engineering (ICSSE), Ho Chi Minh City, Vietnam, 21–23 July 2017; pp. 538–541. [Google Scholar]
- Haykin, S.; Haykin, S. Adaptive Filter Theory; Pearson: Essex, UK, 2014. [Google Scholar]
- Mercorelli, P. A Motion-Sensorless Control for Intake Valves in Combustion Engines. IEEE Trans. Ind. Electron. 2017, 64, 3402–3412. [Google Scholar] [CrossRef]
- Li, S. Comparative analysis of backpropagation and extended Kalman filter in pattern and batch forms for training neural networks. In Proceedings of the IJCNN’01 International Joint Conference on Neural Networks. Proceedings (Cat. No. 01CH37222), Washington, DC, USA, 15–19 July 2001; Volume 1, pp. 144–149. [Google Scholar]
- Mathews, V.J. Adaptive polynomial filters. IEEE Signal Process. Mag. 1991, 8, 10–26. [Google Scholar] [CrossRef]
- Rigatos, G.G. A Derivative-Free Kalman Filtering Approach to State Estimation-Based Control of Nonlinear Systems. IEEE Trans. Ind. Electron. 2012, 59, 3987–3997. [Google Scholar] [CrossRef]
- Afshari, H.; Gadsden, S.; Habibi, S. Gaussian filters for parameter and state estimation: A general review of theory and recent trends. Signal Process. 2017, 135, 218–238. [Google Scholar] [CrossRef]
- Ahmed, R.; El Sayed, M.; Gadsden, S.A.; Tjong, J.; Habibi, S. Artificial neural network training utilizing the smooth variable structure filter estimation strategy. Neural Comput. Appl. 2016, 27, 537–548. [Google Scholar] [CrossRef]
- Young, K.D.; Utkin, V.I.; Ozguner, U. A control engineer’s guide to sliding mode control. IEEE Trans. Control Syst. Technol. 1999, 7, 328–342. [Google Scholar] [CrossRef]
- Mercorelli, P. An Adaptive and Optimized Switching Observer for Sensorless Control of an Electromagnetic Valve Actuator in Camless Internal Combustion Engines. Asian J. Control 2014, 16, 959–973. [Google Scholar] [CrossRef]
- Frances-Villora, J.; Rosado-Munoz, A.; Bataller-Mompean, M.; Barrios-Aviles, J.; Guerrero-Martinez, J. Moving Learning Machine towards Fast Real-Time Applications: A High-Speed FPGA-Based Implementation of the OS-ELM Training Algorithm. Electronics 2018, 7, 308. [Google Scholar] [CrossRef]
- Wang, L.; Lu, D.; Liu, Q.; Liu, L.; Zhao, X. State of charge estimation for LiFePO4 battery via dual extended kalman filter and charging voltage curve. Electrochim. Acta 2019, 296, 1009–1017. [Google Scholar] [CrossRef]
- Lu, C.; Wu, S.; Jiang, C.; Hu, J. Weak harmonic signal detection method in chaotic interference based on extended Kalman filter. Digit. Commun. Netw. 2019, 5, 51–55. [Google Scholar] [CrossRef]
- Neda, C.E.C.; López-Mancilla, D.; Chiu, R.; na Rauda, E.V.; Orozco-López, O.; Casillas-Rodríguez, F.; Sevilla-Escoboza, R. Discrete-time neural synchronization between an Arduino microcontroller and a Compact Development System using multiscroll chaotic signals. Chaos Solitons Fractals 2019, 119, 269–275. [Google Scholar]
- Joukov, V.; Bonnet, V.; Karg, M.; Venture, G.; Kulić, D. Rhythmic Extended Kalman Filter for Gait Rehabilitation Motion Estimation and Segmentation. IEEE Trans. Neural Syst. Rehabil. Eng. 2018, 26, 407–418. [Google Scholar] [CrossRef] [PubMed]
- Ergen, T.; Kozat, S.S. Online Training of LSTM Networks in Distributed Systems for Variable Length Data Sequences. IEEE Trans. Neural Networks Learn. Syst. 2018, 29, 5159–5165. [Google Scholar] [CrossRef] [PubMed]
- Romero-Aragon, J.C.; Sanchez, E.N.; Alanis, A.Y. Glucose level regulation for diabetes mellitus type 1 patients using FPGA neural inverse optimal control. In Proceedings of the 2014 IEEE Symposium on Computational Intelligence in Control and Automation (CICA), Orlando, FL, USA, 9–12 December 2014; pp. 1–7. [Google Scholar]
- Dávalos, U.; Castaneda, C.; Esquivel, P.; Jurado, F.; Morfín, O.A. Recurrent Neural Identification on Xilinx system generator using V7 FPGA for a 2DOF robot manipulator. In Proceedings of the 2016 International Joint Conference on Neural Networks (IJCNN), Vancouver, BC, Canada, 24–29 July 2016; pp. 2359–2365. [Google Scholar]
- IEEE Standard for Verilog Hardware Description Language; IEEE Std 1364–2005; IEEE: Piscataway, NJ, USA, 2006.
- IEEE Standard for Floating-Point Arithmetic; IEEE Std 754–2008; IEEE: Piscataway, NJ, USA, 2008.
- Wakhle, G.B.; Aggarwal, I.; Gaba, S. Synthesis and Implementation of UART Using VHDL Codes. In Proceedings of the 2012 International Symposium on Computer, Consumer and Control, Taichung, Taiwan, 4–6 June 2012; pp. 1–3. [Google Scholar]
- Iiguni, Y.; Sakai, H.; Tokumaru, H. A real-time learning algorithm for a multilayered neural network based on the extended Kalman filter. IEEE Trans. Signal Process. 1992, 40, 959–966. [Google Scholar] [CrossRef]
- Ruck, D.W.; Rogers, S.K.; Kabrisky, M.; Maybeck, P.S.; Oxley, M.E. Comparative analysis of backpropagation and the extended Kalman filter for training multilayer perceptrons. IEEE Trans. Pattern Anal. Mach. Intell. 1992, 14, 686–691. [Google Scholar] [CrossRef]
- Rawat, M.; Rawat, K.; Ghannouchi, F.M. Adaptive Digital Predistortion of Wireless Power Amplifiers/Transmitters Using Dynamic Real-Valued Focused Time-Delay Line Neural Networks. IEEE Trans. Microw. Theory Tech. 2010, 58, 95–104. [Google Scholar] [CrossRef]
- Qian, M. Application of CORDIC Algorithm to Neural Networks VLSI Design. In Proceedings of the Multiconference on “Computational Engineering in Systems Applications”, Beijing, China, 4–6 October 2006; Volume 1, pp. 504–508. [Google Scholar]
- Alimohammad, A.; Fard, S.F.; Cockburn, B.F. Hardware Implementation of Nakagami and Weibull Variate Generators. IEEE Trans. Very Large Scale Integr. (VLSI) Syst. 2012, 20, 1276–1284. [Google Scholar] [CrossRef]
- Trejo-Arellano, J.; Castillo, J.V.; Longoria-Gandara, O.; Carrasco-Alvarez, R.; Gutiérrez, C.; Atoche, A.C. Adaptive segmentation methodology for hardware function evaluators. Comput. Electr. Eng. 2018, 69, 194–211. [Google Scholar] [CrossRef]
- Aguilar-Lobo, L.M.; Loo-Yau, J.R.; Rayas-Sánchez, J.E.; Ortega-Cisneros, S.; Moreno, P.; Reynoso-Hernández, J.A. Application of the NARX neural network as a digital predistortion technique for linearizing microwave power amplifiers. Microw. Opt. Technol. Lett. 2015, 57, 2137–2142. [Google Scholar] [CrossRef]
- Marks, N.D.; Kong, W.Y.; Birt, D.S. Stability of a Switched Mode Power Amplifier Interface for Power Hardware-in-the-Loop. IEEE Trans. Ind. Electron. 2018, 65, 8445–8454. [Google Scholar] [CrossRef]
- Renteria-Cedano, J.A.; Aguilar-Lobo, L.M.; Loo-Yau, J.R.; Ortega-Cisneros, S. Implementation of a NARX neural network in a FPGA for modeling the inverse characteristics of power amplifiers. In Proceedings of the 2014 IEEE 57th International Midwest Symposium on Circuits and Systems (MWSCAS), College Station, TX, USA, 3–6 August 2014; pp. 209–212. [Google Scholar]
- Barradas, F.M.; Nunes, L.C.; Cunha, T.R.; Lavrador, P.M.; Cabral, P.M.; Pedro, J.C. Compensation of Long-Term Memory Effects on GaN HEMT-Based Power Amplifiers. IEEE Trans. Microw. Theory Tech. 2017, 65, 3379–3388. [Google Scholar] [CrossRef]

















| Logical Resources | Custom Architecture [32] | Configurable Architecture (HIL) | Extended Kalman Filter | Logical Resources Available |
|---|---|---|---|---|
| Slice | 38,572 | 28,800 | 52,186 | 301,440 |
| Registers | ||||
| Slice | 29,057 | 24,149 | 36579 | 150,720 |
| LUTs | ||||
| Block | 225 | 277 | 316 | 416 |
| RAM | ||||
| DSP | 64 | 156 | 180 | 768 |
| Maximum operation frequency | 95.511 MHz | 85.6 MHz | 85.6 MHz | — |
| Execution time | (RVNARX) 6.23 s | (RVNARX and Jacobian matrix) 410.38 s | (EFK) 41.76 ms | |
| Power | ||||
| Consumption | 1.24 W | 2.1 W | 2.75 W | — |
© 2019 by the authors. Licensee MDPI, Basel, Switzerland. This article is an open access article distributed under the terms and conditions of the Creative Commons Attribution (CC BY) license (http://creativecommons.org/licenses/by/4.0/).
Share and Cite
Renteria-Cedano, J.; Rivera, J.; Sandoval-Ibarra, F.; Ortega-Cisneros, S.; Loo-Yau, R. SoC Design Based on a FPGA for a Configurable Neural Network Trained by Means of an EKF. Electronics 2019, 8, 761. https://doi.org/10.3390/electronics8070761
Renteria-Cedano J, Rivera J, Sandoval-Ibarra F, Ortega-Cisneros S, Loo-Yau R. SoC Design Based on a FPGA for a Configurable Neural Network Trained by Means of an EKF. Electronics. 2019; 8(7):761. https://doi.org/10.3390/electronics8070761
Chicago/Turabian StyleRenteria-Cedano, Juan, Jorge Rivera, F. Sandoval-Ibarra, Susana Ortega-Cisneros, and Raúl Loo-Yau. 2019. "SoC Design Based on a FPGA for a Configurable Neural Network Trained by Means of an EKF" Electronics 8, no. 7: 761. https://doi.org/10.3390/electronics8070761
APA StyleRenteria-Cedano, J., Rivera, J., Sandoval-Ibarra, F., Ortega-Cisneros, S., & Loo-Yau, R. (2019). SoC Design Based on a FPGA for a Configurable Neural Network Trained by Means of an EKF. Electronics, 8(7), 761. https://doi.org/10.3390/electronics8070761

