Social-Aware Peer Selection for Device-to-Device Communications in Dense Small-Cell Networks
Abstract
:1. Introduction and Contribution
- Presents a hybrid architecture that combines two emerging technologies, i.e., D2D and SCN, to facilitate the D2D peer selection process. Unlike traditional methods that either consider direct or legacy MCBS-assisted device discovery, the proposed method assumes assistance from the SCBS.
- Proposes a social-aware peer selection algorithm for D2D communications using a modified version of a well-known multi-attribute decision modeling (MADM) algorithm known as the technique for order of preference by similarity to ideal solution (TOPSIS) [7]. This algorithm efficiently exploits UEs’ physical and social attributes and determines their cumulative closeness coefficients based on which it selects a D2D peer. When there is no friendly user in proximity, the proposed method performs peer selection based on the similarity in the users’ interest.
- Utilizes the cumulative closeness coefficient to compute the signal-to-noise ratio, data rate, and finally the throughput of D2D communications.
- Shows the performance of the proposed scheme in terms of the algorithm’s computational time, best peer selection, throughput, and the energy efficiency of the D2D communications.
2. Related Works
3. System Description
3.1. System Model
3.1.1. Social Proximity Layer
3.1.2. Physical Proximity Layer
- Tx and Rx are connected to the same SCBS.
- Tx and Rx are connected to different SCBSs.
- Tx is connected to the SCBS and Rx to the MCBS.
- Tx and Rx are connected to MCBS.
3.2. Parameters’ Definition
3.2.1. SPL Parameters
Social Friendship Index
Social Closeness Index
Interest Similarity Index
3.2.2. PPL Parameters
Encounter Duration
Distance between DUEs
Number of DUEs
4. Formulation of Social-Aware D2D Peer Selection Algorithm and Performance Indicators
4.1. Social-Aware D2D Peer Selection Algorithm
4.2. Performance Indicators
4.2.1. Signal to Noise Ratio
4.2.2. Data Rate
4.2.3. Throughput
4.2.4. Energy Efficiency
5. Simulations and Numerical Results
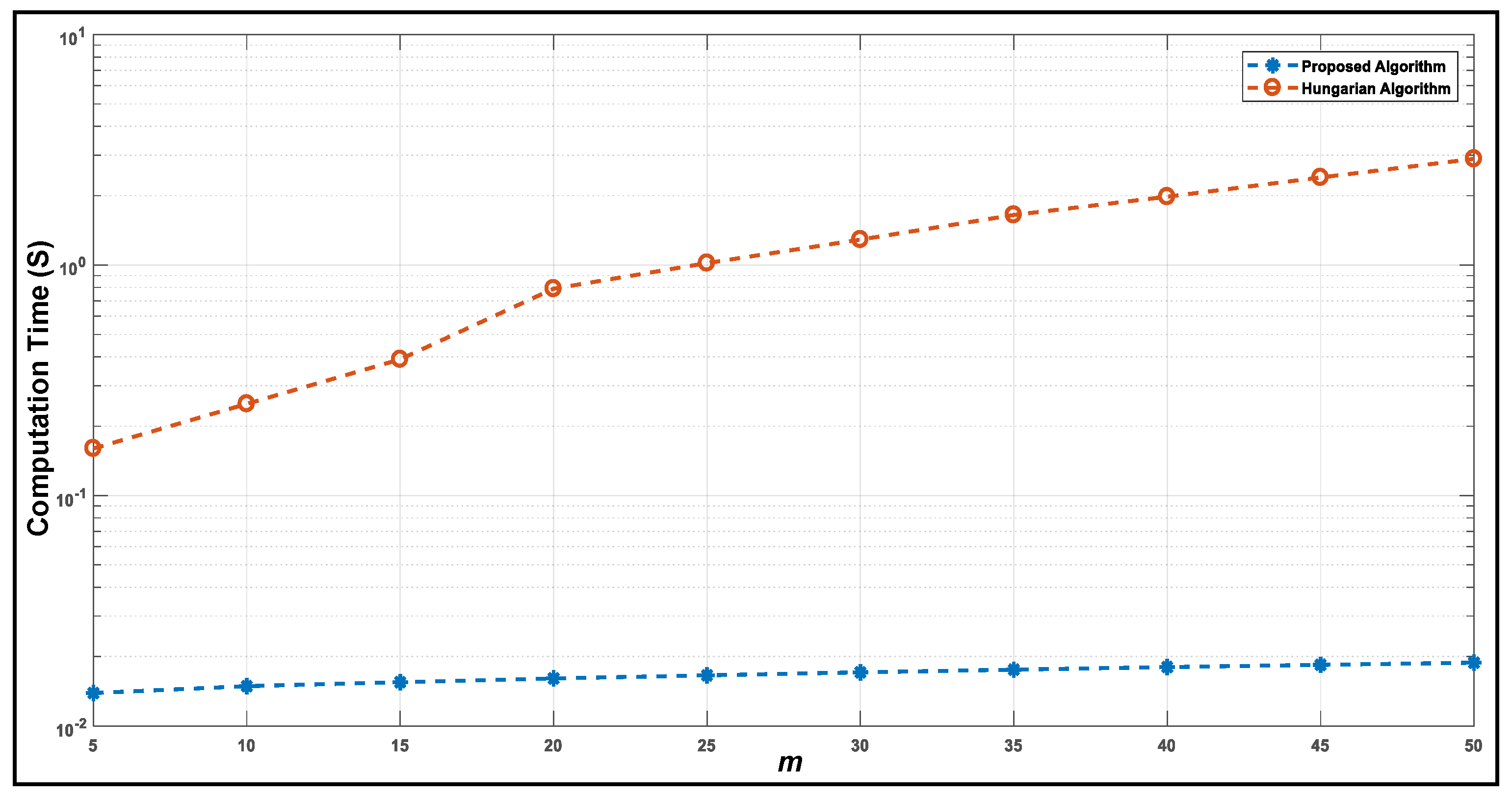
5.1. Computation Time
5.2. Best Peer Selection
5.3. Throughput
5.4. Energy Efficiency
6. Conclusions and Future Work
Author Contributions
Funding
Conflicts of Interest
References
- Zhang, Z.; Zeng, T.; Yu, X.; Sun, S. Social-aware D2D Pairing for Cooperative Video Transmission Using Matching Theory. Mob. Netw. Appl. 2018, 23, 639–649. [Google Scholar] [CrossRef]
- Cisco. Cisco Visual Networking Index: Global Mobile Data Traffic Forecast Update, 2016–2021 White Paper. 28 March 2017. Available online: https://www.cisco.com/c/en/us/solutions/collateral/service-provider/visual-networking-index-vni/mobile-white-paper-c11-520862.html (accessed on 15 October 2018).
- Laya, A.; Wang, K.; Widaa, A.A.; Alonso-Zarate, J.; Markendahl, J.; Alonso, L. Device-to-device communications and small cells: Enabling spectrum reuse for dense networks. IEEE Wirel. Commun. 2014, 21, 105–2014. [Google Scholar] [CrossRef]
- Diaz, C.G.; Saad, W.; Maham, B.; Niyato, D.; Madhukumar, A.S. Strategic device-to-device communications in backhaul-constrained wireless small cell networks. In Proceedings of the 2014 IEEE Wireless Communications and Networking Conference (WCNC), Istanbul, Turkey, 6–9 April 2014. [Google Scholar]
- Tsolkas, D.; Passas, N.; Merakos, L. Device discovery in LTE networks: A radio access perspective. Comput. Netw. 2016, 106, 259–2016. [Google Scholar] [CrossRef]
- Radwan, A.; Domingues, M.F.; Rodriguez, J. Mobile Caching-enabled Small-cells for Delay-tolerant e-Health Apps. In Proceedings of the IEEE International Conference on Communications Workshops (ICC Workshops), Paris, France, 21–25 May 2017. [Google Scholar]
- Tzeng, G.-H.; Huang, J.-J. TOPSIS and Vikor. In Multiple Attribute Decision Making: Methods and Applications; CRC Press: New York, NY, USA, 2011; pp. 69–79. [Google Scholar]
- Wang, L.; Stuber, G.L. Pairing for resource sharing in cellular device-to-device underlays. IEEE Netw. 2016, 30, 128–2016. [Google Scholar] [CrossRef]
- Liu, C.-P.; He, C.-G.; Meng, W.-X.; Han, S. A design of D2D-pairing scheme on Voronoi diagram. In Proceedings of the 2017 13th International Wireless Communications and Mobile Computing Conference (IWCMC), Valencia, Spain, 26–30 June 2017. [Google Scholar]
- Mao, H.; Feng, W.; Zhao, Y.; Ge, N. Joint Social-Position Relationship Based Cooperation among Mobile Terminals. IEEE Commun. Lett. 2014, 18, 2165–2168. [Google Scholar] [CrossRef]
- Prasad, A.; Samdanis, K.; Kunz, A.; Song, J. Energy efficient device discovery for social cloud applications in 3GPP LTE-advanced networks. In Proceedings of the IEEE Symposium on Computers and Communications (ISCC), Funchal, Portugal, 23–26 June 2014. [Google Scholar]
- Gao, Y.; Xiao, Y.; Wu, M.; Xiao, M.; Shao, J. Dynamic Social-Aware Peer Selection for Cooperative Relay Management with D2D Communications. IEEE Trans. Commun. 2019. [CrossRef]
- Yan, J.; Wu, D.; Zhang, C.; Wang, H.; Wang, R. Socially aware D2D cooperative communications for enhancing Internet of Things application. EURASIP J. Wirel. Commun. Netw. 2018, 2018, 132. [Google Scholar] [CrossRef]
- Chen, X.; Proulx, B.; Gong, X.; Zhang, J. Exploiting Social Ties for Cooperative D2D Communications: A Mobile Social Networking Case. IEEE/ACM Trans. Netw. 2015, 23, 1484–2015. [Google Scholar] [CrossRef]
- Niwattanakul, S.; Singthongchai, J.; Naenudorn, E.; Wanapu, S. Using of Jaccard Coefficient for Keywords Similarity. In Proceedings of the International MultiConference of Engineers and Computer Scientists, Hong Kong, China, 13–15 March 2013. [Google Scholar]
- Li, Y.; Zhang, Z.; Wang, H. Transmission Mode Selection and Interference Mitigation for Social Aware D2D Communication. In Proceedings of the IEEE Global Communications Conference (GLOBECOM), Washington, DC, USA, 4–8 December 2016. [Google Scholar]
- Zhu, K.; Zhi, W.; Zhang, L.; Chen, X.; Fu, X. Social-Aware Incentivized Caching for D2D Communications. IEEE Access 2016, 4, 7585–7593. [Google Scholar] [CrossRef]
- Chiti, F.; Fantacci, R.; Pierucci, L. Social-Aware Relay Selection for Cooperative Multicast Device-to-Device Communications. Future Internet 2017, 9, 92. [Google Scholar] [CrossRef]
- Zhang, M.; Chen, X.; Zhang, J. Social-aware Relay Selection for Cooperative Networking: An Optimal Stopping Approach. In Proceedings of the 2014 IEEE International Conference on Communications Workshops (ICC), Sydney, Australia, 10–14 June 2014. [Google Scholar]
- Chen, X.; Gong, X.; Yang, L.; Zhang, J. A Social Group Utility Maximization Framework with Applications in Database Assisted Spectrum Access. In Proceedings of the 33rd Annual IEEE International Conference on Computer Communications (IEEE INFOCOM), Toronto, ON, Canada, 27 April–2 May 2014. [Google Scholar]
- Yang, L.; Wu, D.; Xu, S.; Cai, Y. Social-aware energy-efficient joint mode selection and link allocation in D2D communications. In Proceedings of the International Conference on Wireless Communications & Signal Processing (WCSP), Yangzhou, China, 13–15 October 2016. [Google Scholar]
- Wang, R.; Wu, J.; Yan, J. Resource Allocation for D2D-Enabled Communications in Vehicle Platooning. IEEE Access 2018, 6, 50537–52018. [Google Scholar] [CrossRef]
- Wang, Y.; Chen, X.; Jin, Q.; Ma, J. LIP3: A Lightweighted Fine-Grained Privacy-Preserving Profile Matching Mechanism for Mobile Social Networks in Proximity. In Proceedings of the International Conference on Algorithms and Architectures for Parallel Processing, Zhangjiajie, China, 18–20 November 2015. [Google Scholar]
- Bui, M.-P.; Vo, N.-S.; Nguyen, T.-T.; Tran, Q.-N.; Tran, A.-T. Social-Aware Caching and Resource Sharing Optimization for Video Delivering in 5G Networks. In Proceedings of the Qshine 2018: Quality, Reliability, Security and Robustness in Heterogeneous Systems, Ho Chi Minh City, Vietnam, 3–4 December 2018. [Google Scholar]
- Wang, Z.; Shen, C. Small Cell Transmit Power Assignment Based on Correlated Bandit Learning. IEEE J. Sel. Areas Commun. 2017, 35, 1045–2017. [Google Scholar] [CrossRef]
- Wu, D.; Wu, J.; Wang, H.; Wang, R. User Satisfaction-Aware Resource Allocation for D2D Enhanced Communication. IEEE Access 2018, 7, 539–2018. [Google Scholar] [CrossRef]










| Symbol/Acronym | Description |
|---|---|
| Q | Number of attributes (social/physical) |
| αQs/p | Qth social/physical attribute |
| A(i,j) | Value of attribute αj for UEi |
| Normalized weighted desired/undesired attribute value | |
| MD | Decision matrix |
| MDS/DP | Decision matrix for social/physical attributes |
| Tx/Rx | Transmitter/Receiver DUE |
| D(Tx, Rx) | Distance between Tx and Rx |
| dth | Distance threshold |
| m | Number of UEs |
| W | Weight of the attribute |
| Ideal positive and negative solution for αj | |
| Distance of αj from positive/negative ideal solutions | |
| δi(s,p) | Closeness coefficient for social/physical attributes of UEi |
| H(Tx,Rx) | Channel model between Tx and Rx |
| h(Tx,RX) | Rayleigh coefficient |
| β | Path loss exponent |
| ΩUE | Set of UEs |
| GSPL/PPL | Weighted directional graph for social/physical proximity layer |
| VSPL/PPL | Vertex set for social/physical proximity layer |
| εSPL/PPL | Edge set for social/physical proximity layer |
| SFI | Social friendship index |
| SCI | Social closeness index |
| ΦTx/RX | Friend list of Tx/Rx |
| ISI | Interest similarity index |
| ΨTx/Rx | Interest list of Tx/Rx (individual) |
| ΨTxRx | Mutual interest list of Tx and Rx |
| ϒ(Tx,Rx) | Encounter duration between Tx and Rx |
| e | Number of encounters |
| ti(Tx,Rx) | Time of ith encounter between Tx and Rx |
| Γ | Total sample time |
| XTx/Rx, θTx/Rx | Polar coordinates of Tx and Rx |
| γ | Signal-to-noise ratio |
| P(Tx) | Transmission power of Tx |
| Δ(Tx,Rx) | Cumulative closeness coefficient between Tx and Rx |
| σ | Variance |
| R(Tx,Rx) | Data rate for D2D communications between Tx and Rx |
| BW | Available bandwidth |
| (Tx, Rx) | Throughput of D2D communication between Tx and Rx |
| TTx | Tx transmission time |
| n | Number of UEs probed |
| τ | D2D probing time |
| εε(Tx,Rx) | Energy efficiency of D2D communication between Tx and Rx |
| εεInit(Tx,Rx) | Initial εε of D2D communication between Tx and Rx |
| ρ(Tx, Rx) | Power consumption co-efficient between Tx and Rx |
| P(ckt) | Power dissipated in the circuit |
| N | Upper limit for Φ, Ψ, and t(i(Tx,Rx)) |
| Set of natural numbers |
| Friendship Class | SFI Value |
|---|---|
| Close friend | 1 ≥ SFI ≥ 0.75 |
| Colleague | 0.75 ≥ SFI ≥ 0.50 |
| Acquaintance | 0.50 ≥ SFI ≥ 0.25 |
| Stranger | SFI ≤ 0.25 |
| Parameter | Value |
|---|---|
| Network | Small- and macro-cell |
| m | 5 to 50 |
| Carrier frequency | 2 GHz [25] |
| Small-cell radius | 100 m [24] |
| Macro-cell radius | 1000 m |
| Q | 3 |
| dth | 50 m [26] |
| β | 3 [1] |
| SFI | 0 to 1 [17] |
| N | 1 to 20 [24] |
| TTx | 1 to 20 s [20] |
| Γ | 20 s [24] |
| τ | 0.01 s [20] |
| 1 Kbps/W [21] | |
| Pckt | 0.01 W [21] |
| UE P(Tx) | 23 dBm [26] |
| SCBS P(Tx) | 40 dBm [25] |
| MCBS P(Tx) | 46 dBm [26] |
| Fading | Rayleigh flat fading [13] |
| Number of experiments | 50 |
| User distribution | Uniform |
© 2019 by the authors. Licensee MDPI, Basel, Switzerland. This article is an open access article distributed under the terms and conditions of the Creative Commons Attribution (CC BY) license (http://creativecommons.org/licenses/by/4.0/).
Share and Cite
Nadeem, A.; Cho, H.-S. Social-Aware Peer Selection for Device-to-Device Communications in Dense Small-Cell Networks. Electronics 2019, 8, 670. https://doi.org/10.3390/electronics8060670
Nadeem A, Cho H-S. Social-Aware Peer Selection for Device-to-Device Communications in Dense Small-Cell Networks. Electronics. 2019; 8(6):670. https://doi.org/10.3390/electronics8060670
Chicago/Turabian StyleNadeem, Aamir, and Ho-Shin Cho. 2019. "Social-Aware Peer Selection for Device-to-Device Communications in Dense Small-Cell Networks" Electronics 8, no. 6: 670. https://doi.org/10.3390/electronics8060670
APA StyleNadeem, A., & Cho, H.-S. (2019). Social-Aware Peer Selection for Device-to-Device Communications in Dense Small-Cell Networks. Electronics, 8(6), 670. https://doi.org/10.3390/electronics8060670
