A 40 nW CMOS-Based Temperature Sensor with Calibration Free Inaccuracy within ±0.6 °C
Abstract
1. Introduction
2. Design Implementaton
2.1. Resistor-Less Beta Multiplier Circuit
2.2. Temperature Sensing Core
2.3. Differential Sensing
2.4. Post Layout Simulation Results
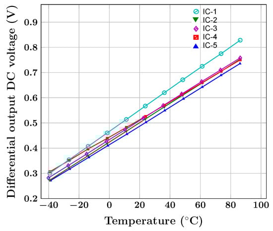
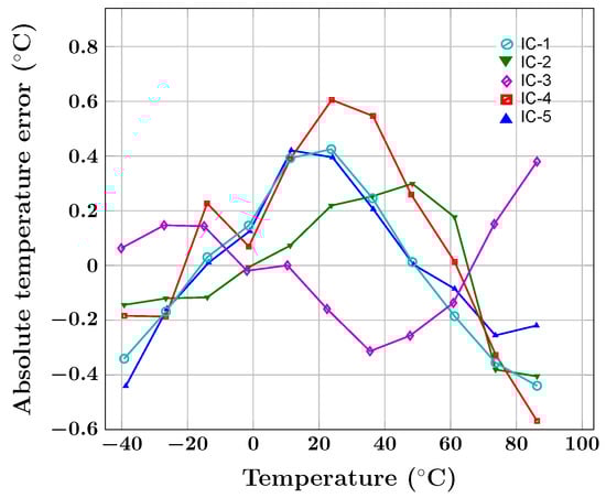
3. Measurement Results
4. Conclusions
Author Contributions
Funding
Acknowledgments
Conflicts of Interest
References
- Zanella, A.; Bui, N.; Castellani, A.; Vangelista, L.; Zorzi, M. Internet of Things for Smart Cities. IEEE Internet Things J. 2014, 1, 22–32. [Google Scholar] [CrossRef]
- Yu, R.; Watteyne, T. Reliable, Low Power Wireless Sensor Networks for the Internet of Things: Making Wireless Sensors as Accessible as Web Servers. Whitepaper No.WP003 by Linear Technology. Available online: http://cds.linear.com/docs/en/white-paper/wp003.pdf (accessed on 15 September 2019).
- Warneke, B.A.; Pister, K.S.J. An ultra-low energy microcontroller for Smart Dust wireless sensor networks. In Proceedings of the Digest of Technical Papers IEEE International Solid-State Circuits Conference, San Francisco, CA, USA, 15–19 February 2004; Volume 1, pp. 316–317. [Google Scholar]
- Law, M.K.; Lu, S.; Wu, T.; Bermak, A.; Mak, P.I.; Martins, R.P. A 1.1 μW CMOS Smart Temperature Sensor with an Inaccuracy of ±0.2 °C (3σ) for Clinical Temperature Monitoring. IEEE Sens. J. 2016, 16, 2272–2281. [Google Scholar] [CrossRef]
- Pertijs, M.A.P.; Makinwa, K.A.A.; Huijsing, J.H. A CMOS smart temperature sensor with a 3σ inaccuracy of ±0.1 °C from −55 °C to 125 °C. IEEE J. Solid-State Circuits 2005, 40, 2805–2815. [Google Scholar] [CrossRef]
- Yu, S.M.; Feng, P.; Wu, N.J. Passive and Semi-Passive Wireless Temperature and Humidity Sensors Based on EPC Generation-2 UHF Protocol. IEEE Sens. J. 2015, 15, 2403–2411. [Google Scholar] [CrossRef]
- Oshita, T.; Shor, J.; Duarte, D.E.; Kornfeld, A.; Zilberman, D. Compact BJT-Based Thermal Sensor for Processor Applications in a 14 nm tri-Gate CMOS Process. IEEE J. Solid-State Circuits 2015, 50, 799–807. [Google Scholar] [CrossRef]
- Souri, K.; Chae, Y.; Ponomarev, Y.; Makinwa, K.A.A. A precision DTMOST-based temperature sensor. In Proceedings of the ESSCIRC Helsinki, Helsinki, Finland, 12–16 September 2011; pp. 279–282. [Google Scholar]
- Chouhan, S.S.; Halonen, K. Nano-ampere PTAT current source with temperature inaccuracy <±1 °C. Electron. Lett. 2015, 51, 60–61. [Google Scholar]
- Ituero, P.; Ayala, J.L.; Lopez-Vallejo, M. A Nanowatt Smart Temperature Sensor for Dynamic Thermal Management. IEEE Sens. J. 2008, 8, 2036–2043. [Google Scholar] [CrossRef]
- Chen, P.; Chen, T.K.; Wang, Y.S.; Chen, C.C. A Time-Domain Sub-Micro Watt Temperature Sensor with Digital Set-Point Programming. IEEE Sens. J. 2009, 9, 1639–1646. [Google Scholar] [CrossRef]
- Christian, E. Verlag Moderne Industrie: Calibration Technology Basics, Reference Instruments for Pressure and Temperature, Professional Calibration. Published Online by WIKA Germany. Available online: http://de-de.wika.de/upload/Handbook_Calibration_en_co_46251.pdf (accessed on 15 September 2019).
- Pertijs, M.A.P.; Aita, A.L.; Makinwa, K.A.A.; Huijsing, J.H. Low-Cost Calibration Techniques for Smart Temperature Sensors. IEEE Sens. J. 2010, 10, 1098–1105. [Google Scholar] [CrossRef]
- Urban, S.; Ludersdorfer, M.; van der Smagt, P. Sensor Calibration and Hysteresis Compensation with Heteroscedastic Gaussian Processes. IEEE Sens. J. 2015, 15, 6498–6506. [Google Scholar] [CrossRef]
- Ramos, A.; Girbau, D.; Lázaro, A.; Collado, A.; Georgiadis, A. Solar-Powered Wireless Temperature Sensor Based on UWB RFID With Self-Calibration. IEEE Sens. J. 2015, 15, 3764–3772. [Google Scholar] [CrossRef]
- Ren, C.; Liu, Q.; Fu, T. A Novel Self-Calibration Method for MIMU. IEEE Sens. J. 2015, 15, 5416–5422. [Google Scholar] [CrossRef]
- Chung, C.C.; Yang, C.R. An all-digital smart temperature sensor with auto-calibration in 65 nm CMOS technology. In Proceedings of the IEEE International Symposium on Circuits and Systems, Paris, France, 30 May–2 June 2010; pp. 4089–4092. [Google Scholar]
- Samson, G.B.; Levasseur, M.A.; Gagnon, F.; Gagnon, G. Auto-calibration of Hall effect sensors for home energy consumption monitoring. Electron. Lett. 2014, 50, 403–405. [Google Scholar] [CrossRef]
- Goh, C.Z.D.; Georgiou, P.; Constandinou, T.G.; Prodromakis, T.; Toumazou, C. A CMOS-Based ISFET Chemical Imager with Auto-Calibration Capability. IEEE Sens. J. 2011, 11, 3253–3260. [Google Scholar] [CrossRef]
- Wireless Things Manufacturer of Wireless Ambient Temperature Sensor SB-CA-White. Available online: https://www.wirelessthings.net/wireless-temperature-sensor (accessed on 15 September 2019).
- Kanoun, O. Calibration-free temperature measurement with bipolar transistors. In Proceedings of the IEEE International Symposium on Circuits and Systems, Monterey, CA, USA, 31 May–3 June 1998; Volume 6, pp. 617–620. [Google Scholar]
- Fisk, R.P.; Hasan, S.M.R. A Calibration-Free Low-Cost Process-Compensated Temperature Sensor in 130 nm CMOS. IEEE Sens. J. 2011, 11, 3316–3329. [Google Scholar] [CrossRef]
- Maxim Integrated. Temperature Range Summary. Available online: https://www.maximintegrated.com/en/markets/military-aerospace/temperature-range-summary.html (accessed on 15 September 2019).
- Oguey, H.J.; Aebischer, D. CMOS current reference without resistance. IEEE J. Solid-State Circuits 1997, 32, 1132–1135. [Google Scholar] [CrossRef]
- Baker, R.J. CMOS Circuit Design, Layout, and Simulation, 3rd ed.; Wiley-IEEE Press: Hoboken, NJ, USA, 2010; Chapter 6; pp. 149–150. [Google Scholar]
- Filanovsky, I.M.; Allam, A. Mutual compensation of mobility and threshold voltage temperature effects with applications in CMOS circuits. IEEE Trans. Circuits Syst. I Fundam. Theory Appl. 2001, 48, 876–884. [Google Scholar] [CrossRef]
- Li, Y.; Xia, X.; Sun, W.; Lu, S. A 760 mV CMOS voltage reference with mobility and subthreshold slope compensation. In Proceedings of the IEEE 8th International Conference on ASIC, Changsha, China, 20–23 October 2009; pp. 1145–1148. [Google Scholar]
- Anand, T.; Makinwa, K.A.A.; Hanumolu, P.K. A self-referenced VCO-based temperature sensor with 0.034 °C/mV supply sensitivity in 65nm CMOS. In Proceedings of the Symposium on VLSI Circuits (VLSI Circuits), Kyoto, Japan, 17–19 June 2015; pp. C200–C201. [Google Scholar]
- Chouhan, S.S.; Halonen, K. A 0.67 μW, 177 ppm/°C all MOS Current Reference Circuit in 0.18 μm CMOS Technology. IEEE Trans. Circuits Syst. II Express Briefs 2016, 63, 723–727. [Google Scholar] [CrossRef]
- Lu, L.; Vosooghi, B.; Dai, L.; Li, C. A 0.7 V Relative Temperature Sensor With a Non-Calibrated ±1° C 3σ Relative Inaccuracy. IEEE Trans. Circuits Syst. I Regul. Pap. 2015, 62, 2434–2444. [Google Scholar] [CrossRef]
- Lu, L.; Vosooghi, B.; Chen, J.; Li, C. A Subthreshold-MOSFETs-Based Scattered Relative Temperature Sensor Front-End With a Non-Calibrated ±2.5 °C 3σ Relative Inaccuracy From −40 °C to 100 °C. IEEE Trans. Circuits Syst. I Regul. Pap. 2013, 60, 1104–1112. [Google Scholar] [CrossRef]
- Zhou, S.; Wu, N. A novel ultra low power temperature sensor for UHF RFID tag chip. In Proceedings of the IEEE Asian Solid-State Circuits Conference, Jeju, Korea, 12–14 November 2007; pp. 464–467. [Google Scholar]
- Chung, C.C.; Yang, C.R. An Autocalibrated All-Digital Temperature Sensor for On-Chip Thermal Monitoring. IEEE Trans. Circuits Syst. II Express Briefs 2011, 58, 105–109. [Google Scholar] [CrossRef]
- Jeong, S.; Sim, J.Y.; Blaauw, D.; Sylvester, D. 65 nW CMOS temperature sensor for ultra-low power microsystems. In Proceedings of the IEEE Custom Integrated Circuits Conference, San Jose, CA, USA, 22–25 September 2013; pp. 1–4. [Google Scholar]
- Lin, Y.-S.; Sylvester, D.; Blaauw, D. An ultra low power 1 V, 220 nW temperature sensor for passive wireless applications. In Proceedings of the IEEE Custom Integrated Circuits Conference, San Jose, CA, USA, 21–24 September 2008; pp. 507–510. [Google Scholar]
- Song, W.; Lee, J.; Cho, N.; Burm, J. An Ultra Low Power Time-Domain Temperature Sensor with Time-Domain Delta-Sigma TDC. IEEE Trans. Circuits Syst. II Express Briefs 2015, 64, 1117–1121. [Google Scholar] [CrossRef]










| Parameter | This Work | [10] | [30] | [31] | [32] | [33] | [34 | [35] | [36] |
|---|---|---|---|---|---|---|---|---|---|
| Process (nm) | 180 | 350 | 180 | 500 | 180 | 65 | 180 | 180 | 180 |
| Area (mm2) | 0.013 | 0.01 | - | 0.26 | 0.2 | - | 0.09 | 0.05 | 0.089 |
| Temperature | |||||||||
| Range (°C) | −40 to 85 | 20 to 100 | −55 to 125 | −55 to 125 | 27 to 47 | 0 to 60 | 0 to 100 | 0 to 100 | −20 to 80 |
| Inaccuracy (°C) | ±0.6 | ±1.97 | ±0.6 | ±2.5 | ±1 | −5.1 to +3.4 | +1.3 to −1.4 | −1.6 to +3 | ±0.99 |
| Sensing | Vol. | Freq. | Vol. | Vol. | Freq. | Delay | Vol. | Current | Freq. |
| Supply voltage (V) | 1.2 | - | 0.7–1.8 | 1 (Min.) | - | 1 | 1.2 | 1 | 1.6 |
| Power dissipation (W) | 40n | 1.05n to 65.5n @ 5samples/s | 36 † μ @1V | 17 μW | 900n | 150 μ | 65n | 200n to 310n | 480n |
| Calibration | No | No | No | No | Auto | Auto | 2-point | 2-point | 2-point |
© 2019 by the authors. Licensee MDPI, Basel, Switzerland. This article is an open access article distributed under the terms and conditions of the Creative Commons Attribution (CC BY) license (http://creativecommons.org/licenses/by/4.0/).
Share and Cite
Chouhan, S.S.; Halonen, K. A 40 nW CMOS-Based Temperature Sensor with Calibration Free Inaccuracy within ±0.6 °C. Electronics 2019, 8, 1275. https://doi.org/10.3390/electronics8111275
Chouhan SS, Halonen K. A 40 nW CMOS-Based Temperature Sensor with Calibration Free Inaccuracy within ±0.6 °C. Electronics. 2019; 8(11):1275. https://doi.org/10.3390/electronics8111275
Chicago/Turabian StyleChouhan, Shailesh Singh, and Kari Halonen. 2019. "A 40 nW CMOS-Based Temperature Sensor with Calibration Free Inaccuracy within ±0.6 °C" Electronics 8, no. 11: 1275. https://doi.org/10.3390/electronics8111275
APA StyleChouhan, S. S., & Halonen, K. (2019). A 40 nW CMOS-Based Temperature Sensor with Calibration Free Inaccuracy within ±0.6 °C. Electronics, 8(11), 1275. https://doi.org/10.3390/electronics8111275

