Investigation on Temperature Dependency of Recessed-Channel Reconfigurable Field-Effect Transistor
Abstract
:1. Introduction
2. Device Structure and Simulation
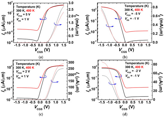
3. Results and Discussion
4. Conclusions
Author Contributions
Funding
Conflicts of Interest
References
- Ferain, I.; Colinge, C.A.; Colinge, J.P. Multigate transistors as the future of classical metal-oxide-semiconductor field-effect transistors. Nature 2011, 479, 310–316. [Google Scholar] [CrossRef] [PubMed]
- International Roadmap for Devices and Systems (IRDSTM) 2018 Edition. Available online: https://irds.ieee. org/editions/2018 (accessed on 5 October 2019).
- Cristoloveanu, S.; Wan, J.; Zaslavsky, A. A review of sharp-switching devices for ultra-low power applications. IEEE J. Electron Devices Soc. 2016, 4, 215–226. [Google Scholar] [CrossRef]
- Javey, A.; Tu, R.; Farmer, D.B.; Guo, J.; Gordon, R.G.; Dai, H. High performance n-type carbon nanotube field-effect transistors with chemically doped contacts. Nano Lett. 2005, 5, 345–348. [Google Scholar] [CrossRef] [PubMed]
- Trommer, J.; Heinzig, A.; Baldauf, T.; Slesazeck, S.; Mikolajick, T.; Weber, W.M. Functionality-Enhanced Logic Gate Design Enabled by Symmetrical Reconfigurable Silicon Nanowire Transistors. IEEE Trans. Nanotechnol. 2015, 14, 689–698. [Google Scholar] [CrossRef]
- Lin, Y.F.; Xu, Y.; Wang, S.T.; Li, S.L.; Yamamoto, M.; Aparecido-Ferreira, A.; Li, W.; Sun, H.; Nakaharai, S.; Jian, W.B.; et al. Ambipolar MoTe2 transistors and their applications in logic circuits. Adv. Mater. 2014, 26, 3263–3269. [Google Scholar] [CrossRef] [PubMed]
- Heinzig, A.; Mikolajick, T.; Trommer, J.; Grimm, D.; Weber, W.M. Dually active silicon nanowire transistors and circuits with equal electron and hole transport. Nano Lett. 2013, 13, 4176–4181. [Google Scholar] [CrossRef] [PubMed]
- Crupi, G.; Schreurs, D.M.M.P.; Raskin, J.P.; Caddemi, A. A comprehensive review on microwave FinFET modeling for progressing beyond the state of art. Solid. State. Electron. 2013, 80, 81–95. [Google Scholar] [CrossRef]
- Crupi, G.; Schreurs, D.M.M.P.; Caddemi, A. Effects of gate-length scaling on microwave mosfet performance. Electronics 2017, 6, 62. [Google Scholar] [CrossRef]
- Weber, W.M.; Heinzig, A.; Trommer, J.; Martin, D.; Grube, M.; Mikolajick, T. Reconfigurable nanowire electronics—A review. Solid. State. Electron. 2014, 102, 12–24. [Google Scholar] [CrossRef]
- Kim, S.; Kim, S.W. Recessed-channel reconfigurable field-effect transistor. Electron. Lett. 2016, 52, 1640–1642. [Google Scholar] [CrossRef]
- Appenzeller, J.; Radosavljević, M.; Knoch, J.; Avouris, P. Tunneling versus thermionic emission in one-dimensional semiconductors. Phys. Rev. Lett. 2004, 92, 4. [Google Scholar] [CrossRef] [PubMed]
- Synopsys Inc. Sentaurus Device User Guide-v.K-2015.06; Synopsys Inc.: Mountain View, CA, USA, 2009. [Google Scholar]
- Kim, J.Y.; Oh, H.J.; Woo, D.S.; Lee, Y.S.; Kim, D.H.; Kim, S.E.; Ha, G.W.; Kim, H.J.; Kang, N.J.; Park, J.M.; et al. S-RCAT (Sphere-shaped-Recess-Channel-Array Transistor) Technology for 70nm DRAM feature size and beyond. In Proceedings of the Digest of Technical Papers—Symposium on VLSI Technology, Kyoto, Japan, 14–16 June 2005; Volume 2005, pp. 34–35. [Google Scholar]
- Park, S.; Seo, H.; Oh, J.; Kim, I.; Hong, H.; Jin, G.; Roh, Y. Roles of residual stress in dynamic refresh failure of a buried-recessed-channel-array transistor (B-CAT) in DRAM. IEEE Electron Device Lett. 2016, 37, 859–861. [Google Scholar] [CrossRef]
- Lombardi, C.; Manzini, S.; Saporito, A.; Vanzi, M. A Physically Based Mobility Model for Numerical Simulation of Nonplanar Devices. IEEE Trans. Comput. Des. Integr. Circuits Syst. 1988, 7, 1164–1171. [Google Scholar] [CrossRef]






| Definition | Abbreviation | Value |
|---|---|---|
| Silicon body thickness | TB | 20 nm |
| Gate oxide thickness Gate length | TOX LG | 1 nm 50 nm |
| Program gate thickness Control gate thickness Oxide thickness between PG and CG | TPG TCG TGAP | 20 nm 20 nm 10 nm |
© 2019 by the authors. Licensee MDPI, Basel, Switzerland. This article is an open access article distributed under the terms and conditions of the Creative Commons Attribution (CC BY) license (http://creativecommons.org/licenses/by/4.0/).
Share and Cite
Kim, J.H.; Kim, S. Investigation on Temperature Dependency of Recessed-Channel Reconfigurable Field-Effect Transistor. Electronics 2019, 8, 1124. https://doi.org/10.3390/electronics8101124
Kim JH, Kim S. Investigation on Temperature Dependency of Recessed-Channel Reconfigurable Field-Effect Transistor. Electronics. 2019; 8(10):1124. https://doi.org/10.3390/electronics8101124
Chicago/Turabian StyleKim, Jang Hyun, and Sangwan Kim. 2019. "Investigation on Temperature Dependency of Recessed-Channel Reconfigurable Field-Effect Transistor" Electronics 8, no. 10: 1124. https://doi.org/10.3390/electronics8101124
APA StyleKim, J. H., & Kim, S. (2019). Investigation on Temperature Dependency of Recessed-Channel Reconfigurable Field-Effect Transistor. Electronics, 8(10), 1124. https://doi.org/10.3390/electronics8101124

