Abstract
The planar parallel robots are widely employed in industrial applications due to simple geometry, few linkage interferences, and a large, reachable workspace. The symmetric geometry can bring significant convenience to parallel robots. The complexity of the mathematic models can be simplified since only one calculation method can be proposed to deal with various kinematic limbs in a parallel manipulator. The symmetric geometry can ease the assembly and maintenance procedures due to the modular design of linkages/joints. A novel 2-translation and 1-rotation (2T1R) parallel robot with symmetric geometry is proposed in this research. There is one closed loop in each kinematic limb, and 18 revolute joints are applied in its planar structure. Both the inverse and direct kinematic models are explored. The first-order relationship between robot inputs and outputs are constructed. Various singularity configurations are obtained based on the Jacobian matrix. The reachable workspace is resolved by the discrete spatial searching methodology, followed by the impacts originating from various linkages. The dexterity analysis of the parallel robot is conducted.
1. Introduction
The parallel robot consists of fixed platform and mobile platform connected by several kinematic chains. Compared with its counterpart, the serial robot contains one open kinematic chain to bridge the fixed platform and mobile platform (also called as end-effector in a serial robot), while the parallel robot generally owns high speed, high acceleration, large stiffness and payload performances, low inertia, and high precision. The intrinsic shortcomings include coupled movements among several chains, limited and irregular reachable workspace, complicated singularities that may divide the workspace into several sub-workspaces, and high demands for the controller [,]. The parallel robot is widely employed for pick-and-place tasks [], tactile sensors [], a spot welding operation [], flight simulator [], parallel kinematic machine [], and an exoskeleton [].
The planar parallel robot has gained significant interest in recent years. The screw theory was implemented to obtain a family of planar parallel robots with a constrained moving platform []. Unlike the common planar parallel robots with prismatic joints or revolute joints, the spatial joints (university joints, spherical joints) were also adopted to enhance the diversity, and five different constraints on the mobile platform were categorized for the purpose of all feasible parallel structures. A family of redundant 2T1R parallel manipulators with closed-loop modules was designed according to the Atlas approach and the Grassmann line geometry in []. Only the planar kinematic joints, prismatic (P) joint, and revolute (R, R can stand for revolute joint or rotational motion) joints were adopted for parallel robot architectures. A planar pure-translational parallel robot 2-P(R-R)2 was integrated into a five-degrees-of-freedom (DOFs) hybrid machine []. Two kinematic chains were identical, and the sliding shafts of both active prismatic joints were parallel. A novel 2T1R parallel robot with two kinematic chains was proposed in [], and only two active sliding joints were required to actuate its whole movements. A 3-DOF parallel mechanism [] was constructed with different kinematic limbs. Two identical chains were in the configuration of (RPR-RR)R, and the remaining chain was in the configuration of RPR. The screw theory was utilized to develop a group of planar parallel mechanisms with a single kinematic loop [].
The common symmetric parallel robots are composed of several identical chains, and the first kinematic joint locations of all kinematic chain could form equilateral polygons where there are at least three kinematic limbs (a straight line can be formed where there are only two kinematic limbs). Only one methodology was sufficient to solve the kinematic/dynamic models of all kinematic chains within the symmetric robot, which saved significant computation cost for the robot. Symmetrical parallel robots tend to possess a symmetric reachable workspace due to the same kinematic chains. For example, the reachable workspace diagrams of the linear Delta robot [], the 1-translation and 2-rotation parallel structure within the hybrid machine RAVASH [] was symmetrical. The same kinematic joints and linkages among various kinematic chains simplified the exchange and maintenance work.
There are four primary functions of the closed-loop unit employed in parallel robots: (i) more diverse configurations [], (ii) simple calculations and control t [], (iii) special spatial relation among linkages and proper constraints on the mobile platform [], (iv) and scaled (expanded or reduced) motion [].
Kinematic performance evaluations are critical and fundamental once a parallel robot structure is selected. A metamorphic parallel robot [U-(R-R)2]-R-[U-(R-R)2] (U indicates universal joint) with two kinematic limbs was reported in []. Its singularity configurations were discussed on the basis of the Jacobian matrix obtained by the screw theory. Its singularity-free reachable workspace was determined based on the kinematic model. The singularity configuration of a redundant parallel robot was outlined comprehensively based on the Jacobian matrix []. Its singularity loci were further compared with those of a non-redundant parallel robot. The novel hybrid robot 3-RRR+3-CPR (C indicates cylindrical joint) with high orientational capability was proposed in []. Multiple motion/force transmission-related indices, including good-transmission workspace and local transmission index, were implemented and compared for two parallel modules of this robot. Cuan–Urquizo and Rodriguez–Leal [] mentioned a symmetric parallel robot 3-CUP. The two unexpected parasite movements were discovered. All types of singularity configurations were explored comprehensively. Both the orientational workspace and translational workspace were investigated.
The main contributions of this research consist of
- Propose a novel planar parallel robot with three identical kinematic chains and pure rotational joints. The parallelogram linkage unit in each kinematic chain contributes two pairs of parallel rods and mitigates the complexity of kinematic models.
- Ten inverse singularity configurations are resolved for singularity avoidance.
- Both the reachable workspace and local condition index are conducted. The impacts from various linkages or directions are, respectively, studied.
It is a crucial task to design a proper parallel robot structure since it is the fundamental step in a robotic system, and all the following mathematical kinematic/dynamic models and controllers are established based on this robot structure. More parallel robot structures will enhance the richness in future industrial options and widen the applications of parallel robots. The remainder of this paper is organized as follows. Section 2 proposes this parallel robot, and both inverse and direct position problems are computed. The velocity mapping relationship is constructed, and the singularities are described in Section 3. The detailed workspace analysis is conducted in Section 4, followed by Section 5, which investigates the dexterity performance. The whole research work is discussed in Section 6 and concluded in Section 7.
2. Structural Description and Kinematic Models
The novel parallel robot illustrated in Figure 1 is composed of three identical kinematic chains. The global coordinate system is constructed for this parallel robot, as demonstrated in Figure 1. Each kinematic chain contains four linkages, and only the R joint is utilized in this design. Compared to spatial joints (spherical joint, universal joint), revolute joints are beneficial to a larger reachable workspace, higher stiffness, and payload capacity for parallel robots. The revolute joint can lower the manufacturing cost compared to spatial joints. All linkages lie in the XOY plane, and the revolute joint shafts are parallel to the Z direction (perpendicular to the XOY plane). The X axis is along the horizontal direction, and the Y axis is along the vertical direction. The origin O coincides with point A1 in Figure 1. In each kinematic limb, there are two categories of linkages, one category with three kinematic pairs (linkage AiBiCi and DiEiFi, i = 1, 2, 3), while another category includes two kinematic pairs (linkage BiDi and CiEi). The revolute joint at point Ai is attached to the fixed platform, while the revolute joint at point Fi is connected to the mobile platform. The single-loop four-bar linkage mechanism BiCiEiDi is included in the i-th kinematic chain. This single-loop mechanism, BiCiEiDi, is in the shape of a parallelogram for the purpose of parallel relations between two opposite linkages. (If this characteristic is not preferred in an application, a general four-bar linkage mechanism can be utilized in this parallel robot, and the mobile platform can still possess planar movements.) The proposed parallel robot is in the architecture of 3-R(R-R)2R, considering its joint configuration.
Figure 1.
Schematic diagram of the planar parallel robot 3-R(R-R)2R.
The linkage dimensions are provided as follows: AiBi = Li1, BiCi = Li2, BiDi = Li3, CiEi = Li4, DiEi = Li5, and EiFi = Li6. The moving platform is an equilateral triangle, and each side is denoted by L4. The position of point Ai is defined as (xAi, yAi). (The z components of all points are zero and, therefore, are neglected.)
The modified Grübler–Kutzbach formula is utilized to explore the degrees of freedom of this parallel structure, as seen below:
where M indicates the degrees of freedom. describes the total number of common constraints of all kinematic limbs, and it is equal to 3 for planar mechanisms and 6 for spatial mechanisms in general. (The common constraints of special parallel mechanisms can be checked by the screw theory []). d is the order of the parallel mechanism. n represents the total number of fixed and moving linkages. g denotes the total number of kinematic joints. fi is the degree of freedom for the i-th kinematic joint. means the number of independent redundant constraints besides the common constraints mentioned in . is zero for this symmetric parallel structure.
The degrees of freedom of this parallel mechanism is 3 on the basis of Equation (1). The mobile platform can achieve two translations (2T) along X/Y axes and one rotation (1R) about the Z direction. The point P represents the geometric center of the mobile platform F1F2F3, and its location is (xP, yP). The rotational motion is defined by the angle α between the linkage F1F2 and the positive X direction. Three actuators mounted for the revolute joints at points A1, A2, and A3 are sufficient for its movement. The i-th actuator’s angular position is defined as θi, and the reference is the positive X-axis. All angles are measured in a counter-clockwise direction.
2.1. Inverse Kinematic Model
The input and output of this parallel robot are described as and , separately. The inverse kinematic model is established to solve for the input Q with a predefined output X.
It is necessary to relate three vertices’ coordinates and the center point location of the mobile platform considering its geometric shape. The mobile platform is indicated in Figure 2. Three medians, F1G1, F2G2, and F3G3, are perpendicular medians. The center point P is the common intersection of these three medians. According to Figure 2, the following vector-loop equations can be obtained,
Figure 2.
The equilateral triangle geometry of the mobile platform.
Equation (2) can be split into two orthogonal directions (parallel to the X axis and Y axis), and the relationships are expressed as
A generic closed-loop formula can be employed for each kinematic limb,
where and .
Taking the first kinematic limb as an example, Equation (5) can be generated as
where and .
Equation (6) can be further arranged in the following format
where
The active joint angle can be expressed as a function of the parameter , as seen below
Utilizing to substitute in Equation (7) leads to the following expression
Therefore, the active joint angle can be resolved as
The calculation procedures for the remaining kinematic limbs are similar to that (Equations (6)–(10)) of the first kinematic limb. Equation (5) can be expressed in the following format corresponding to the second and third kinematic chains,
where and (i = 2, 3).
The actuation joint angles and are formulated as follows
where
It is noteworthy that there are generally two solutions corresponding to Equations (10) and (12). There are at most eight (23 = 8) sets of solutions for a predefined mobile platform pose X.
2.2. Direct Kinematic Model
The mobile platform pose X is to be determined with the predefined actuation joint angles Q in the direct kinematic problem.
Rearranging Equation (5) in the following format
where
Equation (13) can be further derived as
where
The elements and can be eliminated from three expressions in Equation (14). For example, the expression when i = 1 separately subtracts the expressions when i = 2 and i = 3 yields
where
Two expressions in Equation (15) are sufficient to substitute parameters, and , with the rotational parameter , as seen below,
where
Combining Equation (16) and the first expression in Equation (14) leads to
The half-tangent angle formulas can be employed into Equation (17), which can be deduced as an eighth-degree equation. It indicates the maximal possible solutions of is eight for a set of particular actuation joint angles. There are, at most, eight different configurations in the direct kinematic model.
The comparison between inverse and forward kinematic models can also be revealed from Equations (6) and (11). The forward kinematic model is more challenging since there are three desired elements for the mobile platform pose and one particular input actuation angle in each equation, compared with the inverse kinematic model where three particular variables for the mobile platform pose, as well as only one unknown input actuation angle.
3. Velocity Relationship and Singularity Configurations
The section aims to explore the relation between the actuation joints angular velocities and the mobile platform linear and angular velocities for this planar parallel robot. Taking the time differential on both sides of Equation (13) results in
where
Equation (18) is written in the following format
where
Equation (19) can be rewritten as
where J is the Jacobian matrix and .
The singularity configurations can be explored by the Jacobian matrix. The first singularity type is the inverse kinematic singularity when det(JQ) = 0. There are 10 cases under this condition.
(i) and . The first expression means , which implies that line F1P is not permitted to be parallel to line A1C1.
(ii) and and .
(iii) and and .
(iv) and .
(v) and and .
(vi) and .
(vii) and and .
(viii) and and .
(ix) and and .
(x) .
The second singularity type is the direct kinematic singularity when det(JX) = 0. There are some simple cases by observing the matrix JX although the equation det(JX) = 0 is complicated. For example, there are dependent relationships between any two rows or columns (e.g., W11/W21 = W12/W22 = W13/W23), or three elements in the same row or column are zero simultaneously.
All the above singularity configurations and their adjacent areas should be circumvented for the purpose of smooth and safe movement.
4. Workspace Determination
The reachable workspace of this planar parallel manipulator is defined as all possible poses the mobile platform center point P can reach. The widely used discrete spatial searching algorithm [,] indicated in Figure 3 is utilized to explore its reachable workspace. The overall procedure is summarized as
Figure 3.
Schematic diagram of the workspace determination methodology.
(I) Identify the current robot configuration (as seen in Figure 1), all linkage dimensions, and the locations of all fixed points.
(II) Define the upper and lower boundaries for all three elements in mobile platform pose X. All elements start from the lower boundaries.
(III) Use the analytic inverse kinematic model from Section 2.1 to obtain the corresponding solution. If the solution is within the predefined active joint strokes, this pose is marked. Otherwise, this pose is not feasible and should be discarded.
(IV) Move to the next pose by or or .
(V) Repeat steps (III) and (IV) until all poses are thoroughly examined and all three elements reach their upper boundaries respectively.
The robot configuration in Figure 1 is employed in this section. Three fixed points Ai (i = 1, 2, 3) can form any two-dimensional shape for its motion, and an equilateral triangle with a side length of 1300 mm is taken as an example in this section. The positions of point Ai are solved as (0, 0), (1300, 0), and (650, 650) (unit is millimeter), separately. The linkage dimensions of three kinematic chains of this planar parallel robot are identical for the purpose of symmetrical features and modular design. The virtual prototype size is defined as: Li1 = 250 mm, Li2 = Li5 = 200 mm, Li3 = Li4 = 300 mm, and Li6 = 150 mm (i = 1, 2, 3). The side length L4 of the moving platform F1F2F3 is defined as 150 mm.
The initial estimated boundaries of three elements in X are predefined. The lower and upper boundaries of the element are [−200 mm, 1500 mm]. The element ranges from 100 mm to (650 − 100) mm. The orientational angle of the mobile platform ranges from to . Both the and are set as 4 mm. is defined as .
The angular position ranges of three actuation joints are predefined with the consideration of singularity configurations avoidance mentioned in Section 3. The range is for the first and second actuation joints. The third driving joint ranges from to .
The reachable workspace of this planar parallel manipulator is determined and illustrated in Figure 4 according to the aforementioned discrete approach, parameters, and constraints. From Figure 4, each cross section along rotational angle is close to a Reuleaux triangle, and the size of each cross-section shape parallel to the XOY plane is not identical. The feasible ranges from 336 mm to 964 mm. The qualified ranges from 140 mm to 732 mm. The feasible ranges from to . When or is close to the midpoint of the corresponding feasible range, the mobile platform is capable of rotating half a round. When or approaches the boundary of the corresponding feasible range, the mobile platform tends to have reduced rotational capacity.

Figure 4.
Reachable workspace layout of the parallel manipulator. (a) Top view; (b) 3D view; (c) front view; (d) right-side view.
Parametric analysis is provided in this section to compare the impacts from various linkages. The initial set of linkage dimensions (predefined dimensions) is mentioned in the second paragraph of this section and employed as a reference. The other workspace plots are obtained by changing one linkage length, while the other dimensions remain the same. Four different values are selected for Li1, Li2 (or Li5), Li3 (or Li4), Li6, and L4 (i = 1, 2, 3). The various three-dimensional reachable workspaces are demonstrated in Figure 5, Figure 6, Figure 7, Figure 8 and Figure 9. The feasible strokes of the mobile platform movement under various conditions are listed in Table 1. The workspace volume is defined as the total feasible poses using the discrete approach and is summarized in Table 1 for different sets of linkage dimensions. To further compare the impact originated from various linkages, the workspace volume ratio indicating the volume ratio using selected set of linkage dimensions to using predefined dimensions is supplemented in Table 1.
Figure 5.
Impacts of Li1 on the reachable workspace layout. (a) Li1 = 150 mm; (b) Li1 = 200 mm; (c) Li1 = 300 mm; and (d) Li1 = 350 mm.

Figure 6.
Impacts of Li2 on the reachable workspace layout. (a) Li2 = 100 mm; (b) Li2 = 150 mm; (c) Li2 = 250 mm; and (d) Li2 = 300 mm.
Figure 7.
Impacts of Li3 on the reachable workspace layout. (a) Li3 = 100 mm; (b) Li3 = 200 mm; (c) Li3 = 400 mm; and (d) Li3 = 500 mm.
Figure 8.
Impacts of Li6 on the reachable workspace layout. (a) Li6 = 50 mm; (b) Li6 = 100 mm; (c) Li6 = 200 mm; and (d) Li6 = 250 mm.

Figure 9.
Impacts of L4 on the reachable workspace layout. (a) L4 = 10 mm; (b) L4 = 80 mm; (c) L4 = 220 mm; and (d) L4 = 290 mm.
Table 1.
Researchable workspace comparisons under various conditions.
According to Table 1 and Figure 4, Figure 5, Figure 6, Figure 7, Figure 8 and Figure 9, the reachable workspace shapes are similar to Figure 4b. In each group of plots from Figure 4, Figure 5, Figure 6, Figure 7, Figure 8 and Figure 9, the last two reachable workspace plots (the chosen linkage dimension is longer than that in predefined dimensions) are truncated in three side directions, but the workspace ranges along both the X and Y directions are larger than that of the predefined dimensions. The corresponding workspace volume ratios are higher than 100%, while the ratios of the first two scenarios (the chosen linkage dimension is shorter than that in predefined dimensions) are smaller than 100%. The longer the selected linkage in the single variable comparison, the larger the workspace, as observed from four subplots in each figure. Among all these scenarios, the scenario where Li3 = 100 mm has the smallest orientational range [−0.79, 0.79], while the orientational range of the other scenarios are the same. The workspace in Figure 6a is the smallest since it has 4334 feasible poses, and the workspace volume ratio is 1.05%. The workspace in Figure 6d is the largest because it owns 1,295,064 qualified poses, and the workspace volume ratio is 312.63%.
5. Local Condition Index Evaluation
The singularity analysis in Section 3 provides these singularity configurations the robot should avoid during its motion. In addition, the robot should also prevent the poses close to the singularity configurations. The dexterity analysis has the ability to describe the motion distortion between active joints and the mobile platform, which is suitable to identify the motion transmission performance of each single pose and singularities, and their adjacent regions could be refrained with predefined requirements in applications. The most widely employed index for dexterity is the local condition index (LCI) [], as defined below
where is the condition number of Jacobian matrix. . The symbol indicates the Frobenius norm of a square matrix. represents the maximal singular value of the Jacobian matrix J, and is the multiplicative inverse of the minimal singular value of the Jacobina matrix J.
The maximum and minimum values of the local condition index are 1 and 0, respectively. The larger this index, the better the motion transmission performance between the mobile platform and three driving joints.
The distributions of the local condition index within the reachable workspace are demonstrated in Figure 10. One element in the mobile platform pose is set as a constant number in each subplot for the purpose of illustration. = 0 in Figure 10a, yP is set as 400 mm in Figure 10b, and xP is 700 mm in Figure 10c.
Figure 10.
Layout of the local condition index. (a) = 0; (b) yP = 400 mm; and (c) xP = 700 mm.
Three subplots in Figure 10 are not regular surfaces, and there are no symmetrical planes. The minimal value in any subplot is larger than zero, which indicates there are no singularity configurations within its reachable workspace due to predefined dimensions. In Figure 10a, the maximal value happens when xP =648 mm and yP = 724 mm. Another peak point occurs when both the xP and yP values are smallest. In the right portion of Figure 10b, the performance improves when the xP value is larger and the orientational angle is close to zero. In the remaining portion of Figure 10b, the performance is better when the xP value approaches 730 mm. The highest performance happens when yP = 330 mm and = 0.87 in Figure 10c.
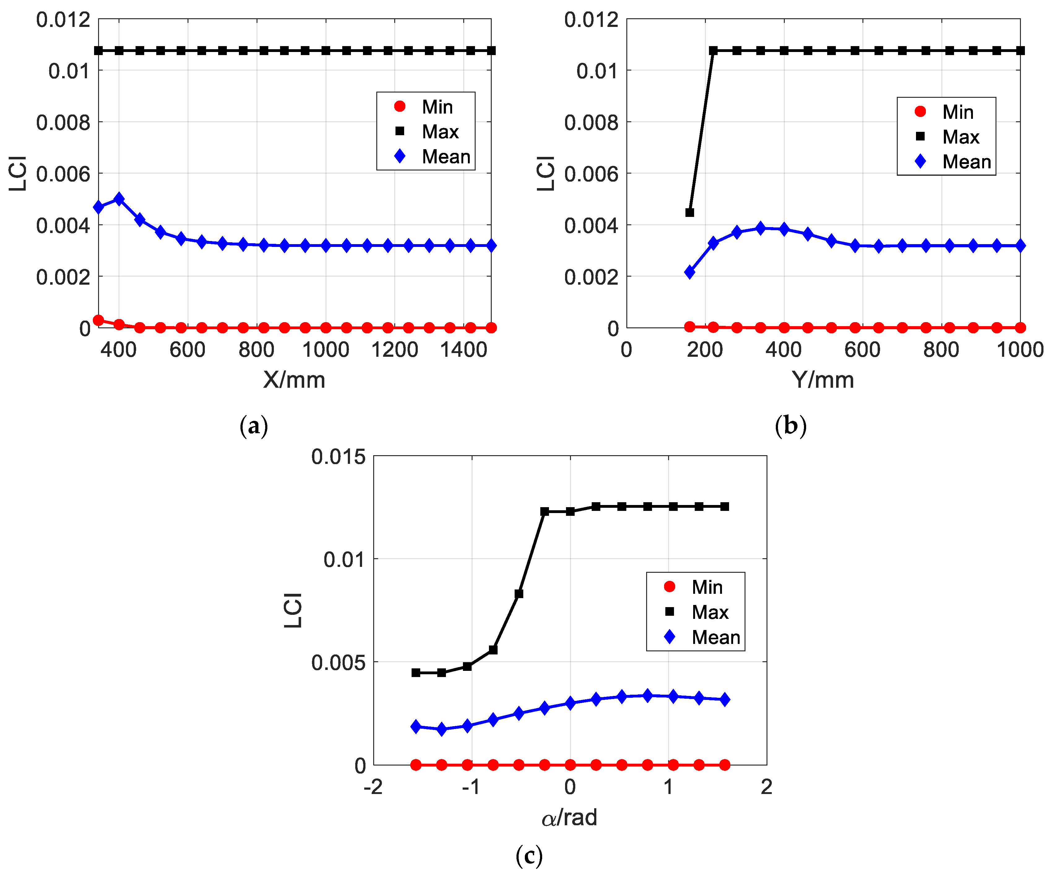
The minimal, maximal, and mean values of local condition index under the condition of a single variable (xP, yP, and ) are provided in Figure 11 to further understand this robot’s local condition index distributions. In each subplot of Figure 11, one element of is chosen as the horizontal axis, while the other two elements can have any combination within the reachable workspace, which is not the same as in Figure 10 where the missing element is set as a constant value. The maximal value in Figure 11a, minimal values in Figure 11b, and minimal values in Figure 11c are constant numbers, respectively. The maximal values in both Figure 11a,b display an increasing trend and then remain constant. The minimal value in Figure 11a decreases firstly and then keeps a constant value. The layouts of other values do not follow simple trends. The integration of Figure 10 and Figure 11 equips designers with detailed local condition index layouts. Due to detailed operation requirements for an application, a specific operational workspace can be found with proper local condition index performances inside of the reachable workspace.
Figure 11.
Distributions of local condition index along one direction. (a) Translation along X direction; description of what is contained in the first panel; (b) translational along Y direction; (c) rotation about Z direction.
6. Discussions
The proposed parallel robot contains three kinematic limbs, and there are 18 revolute joints in total. Revolute joints can facilitate larger reachable workspace, as well as higher stiffness and payload capacity for parallel robots compared to spatial joints (spherical joint, universal joint). Revolute joints can lower the manufacturing cost compared to spatial joints. This robot structure is conventional, except that there is a closed loop in each kinematic limb. This symmetric robot is composed of more revolute joints compared to the conventional 3-RRR planar parallel mechanism. In general, more joints will cause higher expenses, lower reliability, and mechanical efficiency. In addition, it is preferred to systematically generate a family of parallel robots with similar intrinsic features. The possible methodologies include the Lie group and Lie algebra, screw theory, single open-chain approach, and generalized function (GF) set theory.
The inverse kinematic solution is simple, while an explicit analytical solution for the direct position problem could not be obtained, even with the application of parallelogram units in all kinematic chains. These belong to the inherent features of parallel robots, compared with serial robots where the direct kinematic problem is simple and the inverse kinematic problem is challenging. Alternative approaches toward the direct position problem include numerical methods [] and artificial intelligent (AI) algorithms []. A proper approach tailored for the direct position problem is required to achieve high accuracy and high computation efficiency in real-time applications. It is not crucial that there are large computation costs in the training and validation periods using AI algorithms.
All 10 cases of the inverse kinematic singularity are derived based on the Jacobian matrix, while the direct kinematic singularity configurations are complex. In real applications, the linkage dimensions are provided together with the pose information, and the calculation is transferred to a simple numerical calculation process. A verification process can be adopted by employing det(JX) = 0 to ensure the chosen pose is not a direct singularity configuration.
The large reachable workspace of this parallel robot originates from its simple structure and the applications of pure revolute joints. According to Table 1 and Figure 4, Figure 5, Figure 6, Figure 7, Figure 8 and Figure 9, it is possible to improve the reachable workspace volume by changing linkage dimensions appropriately. It is also worth noticing that the local condition index is not close to the best value 1. A systematic dimensional synthesis can be employed to maximize this robot’s various performance indices once an application is determined, along with its detailed design requirements [,,]. It is noteworthy that the workspace accuracy can be improved with much smaller step sizes (, , and ), while the computation cost will grow significantly. The workspace comparison should be implemented under the identical step size settings.
The proposed 3-DOF parallel robot is suitable for the prototype of a planar spraying robot or laser cutting machine, considering its simple geometry, large workspace, and straightforward and convenient inverse kinematic solutions. A more sophisticated operation (e.g., spatial pick-and-place task, welding task) can be realized when integrating with additional movements. Additional motions can be supplemented on the robot side or the workpiece side to conform to various design criteria.
In future work, a group of planar parallel robot variants of this robot will be explored. A proper parallel robot structure will be selected for a specific application with detailed requirements. The dimensional synthesis will be implemented for the purpose of optimal performance. Its applications can be further expanded. For example, the series elastic actuator (SEA) can be utilized for changing stiffness performances under various scenarios []. Multiple performance comparisons with other parallel robots will be implemented, e.g., to compare its stiffness with other parallel robots with spatial joints (spherical joint, universal joint), to compare its speed and acceleration with other parallel architectures with active sliding joints.
7. Conclusions
(i) A planar three-degrees-of-freedom parallel robot with identical kinematic chains and pure revolute joints is designed in this research. There are three active kinematic joints attached to the fixed platform. An explicit solution can be resolved for the inverse kinematic model, but not for the direct kinematic model due to its complexity. There are, at most, eight sets of solutions in both kinematic problems. The singularity configurations are determined based on the Jacobian matrix. There are 10 different scenarios for the inverse singularity configurations.
(ii) The reachable workspace of this parallel manipulator possesses a large orientation capacity. A half-round rotation could be conducted in most positions within a reachable workspace. The parametric analysis with a single variable demonstrates longer linkage, which tends to possess a larger workspace volume in a particular range. The workspace volume ratio can achieve 312.63% when Li3 = 500 mm. The smallest workspace volume ratio is 1.05% when Li3 = 100 mm. There is no simple positive or negative correlation between any component of and the local condition index due to its irregular distributions.
Author Contributions
Conceptualization, Q.Z. and Y.S.; methodology, S.Z. and Y.Z. (Yueyuan Zhang); formal analysis, Q.Z. and Y.Z. (Yiwei Zhang); investigation, Q.Z. and S.Z.; writing—original draft preparation, Q.Z. and Y.Z. (Yiwei Zhang); writing—review and editing, Q.Z., Y.S., and S.Z.; supervision, Q.Z.; project administration, Q.Z. and S.Z. All authors have read and agreed to the published version of the manuscript.
Funding
The first author would like to acknowledge the financial support from the University Grants, College of Letters and Sciences-New Faculty Scholarship Support Program from Columbus State University.
Data Availability Statement
The original contributions presented in this study are included in the article. Further inquiries can be directed to the corresponding author.
Conflicts of Interest
The authors declare no conflicts of interest.
References
- Zhou, Z.; Gosselin, C. Analysis and design of a novel compact three-degree-of-freedom parallel robot. J. Mech. Robot. 2023, 15, 051009. [Google Scholar] [CrossRef]
- Shen, H.; Tang, Y.; Wu, G.; Li, J.; Li, T.; Yang, T. Design and analysis of a class of two-limb non-parasitic 2T1R parallel mechanism with decoupled motion and symbolic forward position solution-influence of optimal arrangement of limbs onto the kinematics, dynamics and stiffness. Mech. Mach. Theory 2022, 172, 104815. [Google Scholar] [CrossRef]
- Wu, G.; Niu, B.; Li, Q. Trajectory tracking control of fast parallel SCARA robots with fuzzy adaptive iterative learning control for repetitive pick-and-place operations. Electronics 2023, 12, 4995. [Google Scholar] [CrossRef]
- Zhu, Y.; Nazirjonov, S.; Jiang, B.; Colan, J.; Aoyama, T.; Hasegawa, Y.; Belousov, B.; Hansel, K.; Peters, J. March. Visual tactile sensor based force estimation for position-force teleoperation. In Proceedings of the 2022 IEEE International Conference on Cyborg and Bionic Systems (CBS), Wuhan, China, 24–26 March 2023; pp. 49–52. [Google Scholar]
- Wen, S.; Qin, G.; Che, L.; Wu, H.; Cheng, Y.; Ji, A. Configuration design and prototype development of a remote-centered parallel welding robot. Fusion Eng. Des. 2025, 211, 114803. [Google Scholar] [CrossRef]
- Ren, B.; Zhang, Z. Design of 4PUS-PPPS redundant parallel mechanism oriented to the visual system of flight simulator. Int. J. Intell. Robot. Appl. 2021, 5, 534–542. [Google Scholar] [CrossRef]
- Qi, Y.; Tao, X.; Ren, X.; Wang, H. Configuration synthesis of fully-symmetrical parallel positioning mechanism for in-situ machining of large structural components. IEEE Access 2024, 12, 94805–94821. [Google Scholar] [CrossRef]
- Wang, X.; Guo, S.; Bai, S. A cable-driven parallel hip exoskeleton for high-performance walking assistance. IEEE Trans. Ind. Electron. 2023, 71, 2705–2715. [Google Scholar] [CrossRef]
- Zhang, D.; Zheng, Y.; Wei, L.; Wu, J.; Xu, Y.; Zhao, Y. Type synthesis of 2T1R planar parallel mechanisms and their moduling development applications. IEEE Access 2021, 9, 72217–72227. [Google Scholar] [CrossRef]
- Li, Y.; Zhang, Y.; Zhang, L. A new method for type synthesis of 2R1T and 2T1R 3-DOF redundant actuated parallel mechanisms with closed loop units. Chin. J. Mech. Eng. 2020, 33, 78. [Google Scholar] [CrossRef]
- Wu, J.; Yu, G.; Gao, Y.; Wang, L. Mechatronics modeling and vibration analysis of a 2-DOF parallel manipulator in a 5-DOF hybrid machine tool. Mech. Mach. Theory 2018, 121, 430–445. [Google Scholar] [CrossRef]
- Shen, H.; Tang, Y.; Ceccarelli, M.; Li, J.; Li, T.; He, H. Design and analysis of a new non-parasitic parallel mechanism for 2T1R motion. J. Mech. Robot. 2025, 17, 014501. [Google Scholar] [CrossRef]
- Wang, D.; Zhang, J.; Guo, H.; Liu, R.; Kou, Z. Design of a 2T1R-type parallel mechanism: Performance analysis and size optimization. Actuators 2022, 11, 262. [Google Scholar] [CrossRef]
- Zou, Q.; Yi, B.J.; Zhang, D.; Shi, Y.; Huang, G. Design and kinematic analysis of a novel planar parallel robot with pure translations. IEEE Access 2024, 12, 9792–9809. [Google Scholar] [CrossRef]
- Righettini, P.; Strada, R.; Cortinovis, F. Modal kinematic analysis of a parallel kinematic robot with low-stiffness transmissions. Robotics 2021, 10, 132. [Google Scholar] [CrossRef]
- Fang, H.; Tang, T.; He, Z.; Liu, Y.; Zhang, J. A novel hybrid machine tool integrating a symmetrical redundantly actuated parallel mechanism: Design, kinematics, prototype and experiment. Mech. Mach. Theory 2022, 176, 105013. [Google Scholar] [CrossRef]
- Ye, W.; Fang, Y.; Guo, S. Reconfigurable parallel mechanisms with planar five-bar metamorphic linkages. Sci. China Technol. Sci. 2014, 57, 210–218. [Google Scholar] [CrossRef]
- Wen, K.; Nguyen, T.S.; Harton, D.; Laliberté, T.; Gosselin, C. A backdrivable kinematically redundant (6+ 3)-degree-of-freedom hybrid parallel robot for intuitive sensorless physical human–robot interaction. IEEE Trans. Robot. 2020, 37, 1222–1238. [Google Scholar] [CrossRef]
- Wu, C.C.; Yang, G.L.; Chen, C.Y.; Liu, S.L.; Zheng, T.J. Kinematic design of a novel 4-DOF parallel manipulator. In Proceedings of the 2017 IEEE International Conference on Robotics and Automation (ICRA), Singapore, 29 May–3 June 2017; pp. 6099–6104. [Google Scholar]
- Yang, Y.; Peng, Y.; Pu, H.; Chen, H.; Ding, X.; Chirikjian, G.S.; Lyu, S. Deployable parallel lower-mobility manipulators with scissor-like elements. Mech. Mach. Theory 2019, 135, 226–250. [Google Scholar] [CrossRef]
- Wang, Z.; Zhang, W.; Ding, X. Design and analysis of a novel metamorphic remote-centre-of-motion mechanism with parallelogram joints. Mech. Mach. Theory 2022, 176, 105038. [Google Scholar] [CrossRef]
- Wang, J.; Gosselin, C.M. Kinematic analysis and design of kinematically redundant parallel mechanisms. J. Mech. Des. 2004, 126, 109–118. [Google Scholar] [CrossRef]
- Sun, J.; Shao, L.; Fu, L.; Han, X.; Li, S. Kinematic analysis and optimal design of a novel parallel pointing mechanism. Aerosp. Sci. Technol. 2020, 104, 105931. [Google Scholar] [CrossRef]
- Cuan-Urquizo, E.; Rodriguez-Leal, E. Kinematic analysis of the 3-CUP parallel mechanism. Robot. Com.-Int. Manuf. 2013, 29, 382–395. [Google Scholar] [CrossRef]
- Ye, W.; Huo, T.; Gong, C.; Chen, Z. Design and analysis of a climbing robot consisting of a parallel mechanism and a remote center of motion mechanism. Robotica 2024, 1–19. [Google Scholar] [CrossRef]
- Zou, Q.; Qu, H.B.; Guo, S. Optimal design and performance analysis of a 3-DOF reconfigurable parallel mechanism. China Mech. Eng. 2018, 29, 1172–1178. [Google Scholar]
- Monsarrat, B.; Gosselin, C.M. Workspace analysis and optimal design of a 3-leg 6-DOF parallel platform mechanism. IEEE Trans. Robot. Autom. 2003, 19, 954–966. [Google Scholar] [CrossRef]
- Cardou, P.; Bouchard, S.; Gosselin, C. Kinematic-sensitivity indices for dimensionally nonhomogeneous jacobian matrices. IEEE Trans. Robot. 2010, 26, 166–173. [Google Scholar] [CrossRef]
- Briot, S.; Merlet, J.P. Direct kinematic singularities and stability analysis of sagging cable-driven parallel robots. IEEE Trans. Robot. 2023, 39, 2240–2254. [Google Scholar] [CrossRef]
- Merlet, J.P. Data Base for the Direct Kinematics of Cable-Driven Parallel Robot (CDPR) with Sagging Cables. 2021, hal-03540335v2. Available online: https://inria.hal.science/hal-03540335/document (accessed on 1 March 2025).
- Huang, G.; Zhang, D.; Zou, Q. Neural network and performance analysis for a novel reconfigurable parallel manipulator based on the spatial multiloop overconstrained mechanism. Int. J. Aerosp. Eng. 2020, 2020, 8878058. [Google Scholar] [CrossRef]
- Hussain, S.; Jamwal, P.K.; Kapsalyamov, A.; Ghayesh, M.H. Numerical framework and design optimization of an intrinsically compliant 3-DOF parallel robot. J. Comput. Inf. Sci. Eng. 2021, 21, 021008. [Google Scholar] [CrossRef]
- Meng, Q.; Li, J.; Shen, H.; Deng, J.; Wu, G. Kinetostatic design and development of a non-fully symmetric parallel Delta robot with one structural simplified kinematic linkage. Mech. Based Des. Struct. Mach. 2023, 51, 3717–3737. [Google Scholar] [CrossRef]
- Li, S.; Li, J.; Tian, G.; Shang, H. Shang, H. Stiffness adjustment for a single-link robot arm driven by series elastic actuator in muscle training. IEEE Access 2019, 7, 65029–65039. [Google Scholar] [CrossRef]
Disclaimer/Publisher’s Note: The statements, opinions and data contained in all publications are solely those of the individual author(s) and contributor(s) and not of MDPI and/or the editor(s). MDPI and/or the editor(s) disclaim responsibility for any injury to people or property resulting from any ideas, methods, instructions or products referred to in the content. |
© 2025 by the authors. Licensee MDPI, Basel, Switzerland. This article is an open access article distributed under the terms and conditions of the Creative Commons Attribution (CC BY) license (https://creativecommons.org/licenses/by/4.0/).