Next Article in Journal
Mechanical Design and Analysis of a Novel Symmetrical 2T1R Parallel Robot
Previous Article in Journal
Motion Pattern Recognition via CNN-LSTM-Attention Model Using Array-Based Wi-Fi CSI Sensors in GNSS-Denied Areas
 
 
Font Type:
Arial Georgia Verdana
Font Size:
Aa Aa Aa
Line Spacing:
Column Width:
Background:
Article

Towards Feasible Thermal Management Design of Electronic Control Module for Variable Frequency Air Conditioner Function in Extremely High Ambient Temperatures

1
Xiaomi Smart Appliances (Wuhan) Co., Ltd., Wuhan 430070, China
2
School of Energy and Power Engineering, Huazhong University of Science and Technology, Wuhan 430074, China
*
Author to whom correspondence should be addressed.
Electronics 2025, 14(8), 1595; https://doi.org/10.3390/electronics14081595
Submission received: 20 February 2025 / Revised: 24 March 2025 / Accepted: 12 April 2025 / Published: 15 April 2025

Abstract

The widespread adoption of variable frequency air conditioners (VFACs) in household appliances is primarily driven by their energy-saving qualities. However, extremely high ambient temperatures and limited space affect the heat dissipation of the electronic control module of a VFAC, resulting in a substantial increase in the temperature of its electronic chips. Its reliability and working performance will be largely compromised. To address this issue, we propose a feasible thermal management design based on thermoelectric coolers (TECs) that can cool electronic control modules working in an extremely high ambient temperature of 55 °C. Firstly, we designed four cooling schemes and established simulation models via Ansys Icepak. Then, we compared the chip temperatures across different schemes. The results indicate that the average temperatures of IPM, IGBT, FRD, and Rectifier Bridge were reduced by 13.58 °C, 14.03 °C, 15.88 °C, and 15.56 °C, respectively, in the scheme incorporating TECs, indicating that TECs have a significant impact on the thermal management of electronic control modules. This enables VFACs to operate at their full potential in extremely high ambient temperatures. This study explores the potential of using TECs to cool the electronic control modules of VFACs in extremely high ambient temperatures, suggesting that TECs can be effectively utilized at a large scale in the commercial VFAC field.

1. Introduction

Rising ambient temperatures make air conditioners a necessity for maintaining comfort and protecting human health. However, the significant energy consumption of air conditioners is a pressing issue that requires attention. Compared with ordinary air conditioners, variable frequency air conditioners (VFACs) have been widely used in household appliances due to their energy-saving qualities. VFACs are capable of reducing annual energy consumption by 30~40% [1]. This is because the electronic control module of a VFAC can adjust the compressor frequency according to transient cooling capacity requirements. The electronic control module integrates multiple high-power chips, such as the Intelligent Power Module (IPM), Insulated Gate Bipolar Transistor (IGBT), Fast Recovery Diode (FRD), and Rectifier Bridge. Extremely high ambient temperatures and limited space impede the heat dissipation of electronic control modules, resulting in a substantial increase in the temperature of electronic chips [2]. In turn, the reliability and working performance of the VFACs will be largely compromised [3]. Once the temperature exceeds the limit, VFACs must operate at a reduced frequency to ensure the reliability of their electronic control module, making it difficult to meet significant cooling capacity requirements in extremely high ambient temperatures [4]. Thus, to guarantee the reliability and working performance of electronic control modules under such conditions, efficient and advanced thermal management designs must be developed [5].
The existing cooling methods for electronic control modules include air-cooled heat sinks, liquid cooling, and heat pipes. For air-cooled heat sinks, Mohammad proposed a generalized optimization strategy to design optimized air-cooled parallel plate-finned heat sinks (PPFHSs) for practical applications [6]. Lakshmanan introduced a heat sink with rectangular fins featuring a stepped profile, which improved the thermal performance from the baseline by 27% and achieved an average temperature reduction of 6 °C in a residential split variable frequency air conditioner [7]. Mohammad proposed pin-fins with three different patterns to improve the cooling of the heat sink, including cross-pin-fins (CPFs), parallel-pin-fins (PPFs), and double-cross-pin-fins (DCPFs) [8]. For liquid cooling, Feng Han proposed an integrated design for a liquid-cooled heat sink for a 30 kw motor inverter and optimized its geometrical configuration [9]. Faizan Ejaz developed a two-phase immersion cooling system using HFE-7100 for cooling vertically mounted chips on a printed circuit board [10]. X.L. Wu presented a two-phase microchannel heat sink using R245fa for cooling IGBT modules, investigating its flow boiling heat transfer performance and flow regimes [11]. For heat pipes, Xia et al. proposed a novel thermal management solution based on the heat pipe heat sink (HPHS) that can cool an enclosed electronic control module [12]. Zhao et al. introduced a novel heat sink for Insulated Gate Bipolar Transistor (IGBT) modules utilizing flat heat pipe arrays [13]. Yue Ren developed a radiation-enhanced heat pipe radiator by integrating a conventional heat pipe radiator with a coating of silica microspheres and graphene composites to cool high-power IGBT modules, determining that the junction temperature of the IGBT can be reduced by 6.8 °C at 1500 W under forced convection [14].
However, these traditional cooling methods also have notable drawbacks. Air-cooled heat sinks struggle to effectively cool the enclosed electronic control module in extremely high ambient temperatures and limited space. Liquid cooling systems require additional tubes and fail to achieve accurate thermal control. The structure of heat pipe cooling systems is typically complex, especially when constrained by the limited space available for electronic control modules, making large-scale production challenging.
Effective thermal management of the electronic control module is crucial for ensuring the reliability of VFACs and represents a key bottleneck restricting their full working performance [15]. As an active cooling method, thermoelectric coolers (TECs) based on the Peltier effect can actively convert electrical energy into a temperature difference. TECs have several advantages, including excellent performance in handling high heat flux, no working fluid, a simple structural design, a fast thermal response, and high reliability [16]. Additionally, the manufacturing process of TECs is sufficiently suitable for large-scale industrial production. Thus, TECs offer promising prospects for application in the thermal management of the electronic control modules of VFACs operating in extremely high ambient temperatures. Jiang Wang investigated the potential of TECs to cool core power devices in the control circuits of air conditioners, achieving an average temperature reduction of 47 K in power devices [17]. Manoj Sasidharan highlighted the high potential of TECs to replace traditional air conditioner cooling methods, noting that efficient cooling performance and energy consumption remain key factors restricting large- and medium-scale commercial applications [18]. Shuang Li proposed the direct integration of chips into TECs to actively cool high-power LEDs, resulting in a 51% reduction in working temperature [19].
In this study, we employed TEC1-12706, a widely used commercial TEC, to cool an electronic control module. By adjusting the current of the TEC, we could precisely control the temperature of high-power chips, thereby ensuring the efficient working performance of the VFAC. Firstly, we designed four cooling schemes and established simulation models using Ansys Icepak. Then, we compared the temperatures of chips across different schemes. Finally, we analyzed the effects of electrical current, the number of TECs, and the heat sink’s specifications on the thermal performance of the cooling system.

2. Simulation Method

2.1. Simulation Model

In this study, the simulation model of the outdoor unit was created based on the actual unit. The outdoor unit comprises a condenser, axial flow fan, electronic control module, heat sink, and compressor, as shown in Figure 1a.
The electronic control module includes four main power components: the IPM, IGBT, FRD, and Rectifier Bridge, as shown in Figure 1b. Heat dissipation is achieved by attaching a heat sink to these power components. To minimize the thermal contact resistance between the heat sink and the power components, silicon thermal grease is applied, as shown in Figure 1c.
The heat sink utilizes parallel plate fins. Initially, the heat generated by the power components is transferred to the heat sink via conduction and is subsequently removed by airflow through convection. Enhancing both heat conduction and convection throughout this process can significantly improve the thermal performance of the cooling system for the electronic control module. TECs can actively transfer heat from the chips to the heat sink base, thereby facilitating efficient heat dissipation at the expense of electrical energy. Meanwhile, the heat convection performance is influenced by the specifications of the heat sink. In this study, the optimization effects of TECs on the cooling system in conjunction with various heat sink specifications are investigated.
Numerical simulations were conducted using the commercial software Ansys Icepak 2022 R1. The flow and thermal fields were simultaneously determined in an extreme ambient temperature of 55 °C. The models and methods used are briefly described below.
Figure 2a shows the outdoor unit’s assembly and the location of the electronic control module. To simplify the simulation model, the condenser, compressor, and associated tubes were ignored. The final cabinet and electronic control module used in Icepak are shown in Figure 2b. The air was exhausted by an axial flow fan to create a negative pressure environment that drew cool air from the compressor chamber across the fins, facilitating convective heat dissipation. The main power components include the IPM, IGBT, FRD, and Rectifier Bridge. For simplicity, the silicon thermal grease between the heat sink and power components was omitted in the simulation.
In this study, we investigated the heat dissipation optimization effects of varying TECs and different heat sink specifications. Figure 3 presents the schematic diagrams of the four cooling schemes. Scheme A1 employed parallel fins. Scheme A2 incorporated a single TEC between a soaking plate and parallel fins. Scheme A3 used a single TEC between a soaking plate and oblique fins. Scheme A4 featured two TECs between a soaking plate and parallel fins.
The heat sink and soaking plate are made of aluminum alloy. The soaking plate is used to evenly distribute the heat generated by the heating elements. The heating elements were built using packages created in Icepak. The printed circuit board (PCB) is simplified as a block, with the material set to FR-4. The air deflector is defined as an adiabatic thin surface.
TEC1-12706 was built using the TEC macros in Icepak, as shown in Figure 4. The material properties of Bismuth Telluride (Bi2Te3) thermoelectric materials are temperature-dependent, as detailed in Table 1. The geometric parameters of the TEC module are listed in Table 2. Other material properties were obtained from the material library in Icepak.
The reliability of the TEC model was validated by comparing the numerical results with the experimental results. In the experiment, the hot side temperature of the TEC was maintained at 27 °C using a liquid-cooled plate, while the operating current was controlled by a power source. The cold side temperature was measured using thermocouples, and the experimental results represent steady-state values that were sustained for over ten minutes at the specified operating current. The experimental uncertainty was ±%. The comparison between the experimental and numerical results is shown in Figure 5. The numerical model demonstrated a good degree of agreement with the experimental data, with an average relative error of 4.34% and a maximum relative error of 6.8%, indicating that the model is viable.
Figure 6 illustrates the two different specifications of parallel fins and oblique fins. Both fin types have a base area of 145 × 42 mm2 and a thickness of 6.8 mm. However, the fin height is identical, reaching 58.6 mm in both designs. The primary difference is that the oblique fin is angled at 60 degrees between the fin side and the short side.

2.2. Numerical Solvers and Boundary Conditions

According to the approximate Reynolds and Peclet numbers provided by Icepak, the zero-equation turbulent model, coupled with the energy equation, continuity equation, and steady-state Navier–Stokes equation, is employed to calculate the temperature and flow fields, with radiation effects included.
To simulate heat dissipation in extreme conditions, the ambient temperature is set to 55 °C. The axial flow fan is modeled as a volumetric boundary condition with a fixed flow rate of 46.87 m3/min. The openings and grills of the air inlet are defined as pressure boundary conditions with ambient static pressure.
The IPM, IGBT, FRD, and Rectifier Bridge are considered constant heat sources. Their thermal powers, calculated using PLECS based on the datasheet parameters, are 12 W, 12 W, 7 W, and 3.5 W, respectively, for the IPM, IGBT, FRD, and Rectifier Bridge. The silicon thermal grease between the heat sink and power components is neglected for simplicity.
The operating current of the TEC varies from 1A to 6A to identify the optimal current that achieves the best heat dissipation performance.

2.3. Grid Independence Analysis and Model Validation

Taking Scheme A1 as an example, the entire model is divided into several assemblies to generate non-conformal grids conveniently in Icepak, as shown in Figure 7. Hexa Unstructured grids are used for power components and heat sinks, while Mesher-HD grids are generated for the cabinet. The grids of the electronic control module and entrance are refined to improve simulation accuracy.
Grid independence was investigated by conducting simulations with five different grid numbers to choose a suitable meshing method. The average temperatures of the power components were used as monitoring parameters. As shown in Figure 8a, with an increasing grid number, the average chip temperature varied by less than 1 °C. Considering both computational accuracy and efficiency, a grid number of 1,251,221 was considered suitable and was used for subsequent simulations.
The reliability of the simulation model was validated by comparing the numerical results and experimental results of the average temperature of IPM at different ambient temperatures. The experiments were conducted in an enthalpy difference laboratory to determine the specified and stable ambient temperatures. The compressor frequency was controlled by a computer. The temperature of the IPM was measured using thermocouples, and the experimental results represent the steady-state values maintained for over forty minutes at the specified ambient temperature and compressor frequency. The experimental uncertainty was ±2.5%. The comparison between the experimental and numerical results is shown in Figure 8b. As the ambient temperature increases, the numerical results agree well with the experimental results. The average relative error was 4.35%, and the maximum relative error was 7.09%. These results confirm the validity of the numerical model for subsequent simulations.

3. Results and Discussion

3.1. Influence of Electrical Current

The electrical current of the TEC was varied from 1 A to 6 A to identify the optimal working current. The average temperature of the power components, the cooling capacity, and the coefficient of performance (COP) were considered as the parameters to evaluate the system’s thermal performance. Figure 9 shows the relationship between the average temperature of the power components and the electrical current in Schemes A2, A3, and A4. The results show that the temperature initially decreases and then increases with an increasing current. The minimum temperature is achieved at 3 A in Scheme A2 and 4 A in Scheme A3. In Scheme A4, the temperatures at 3 A and 4 A are very close. Thus, the optimal current in Scheme A4 needs to be determined based on other factors.
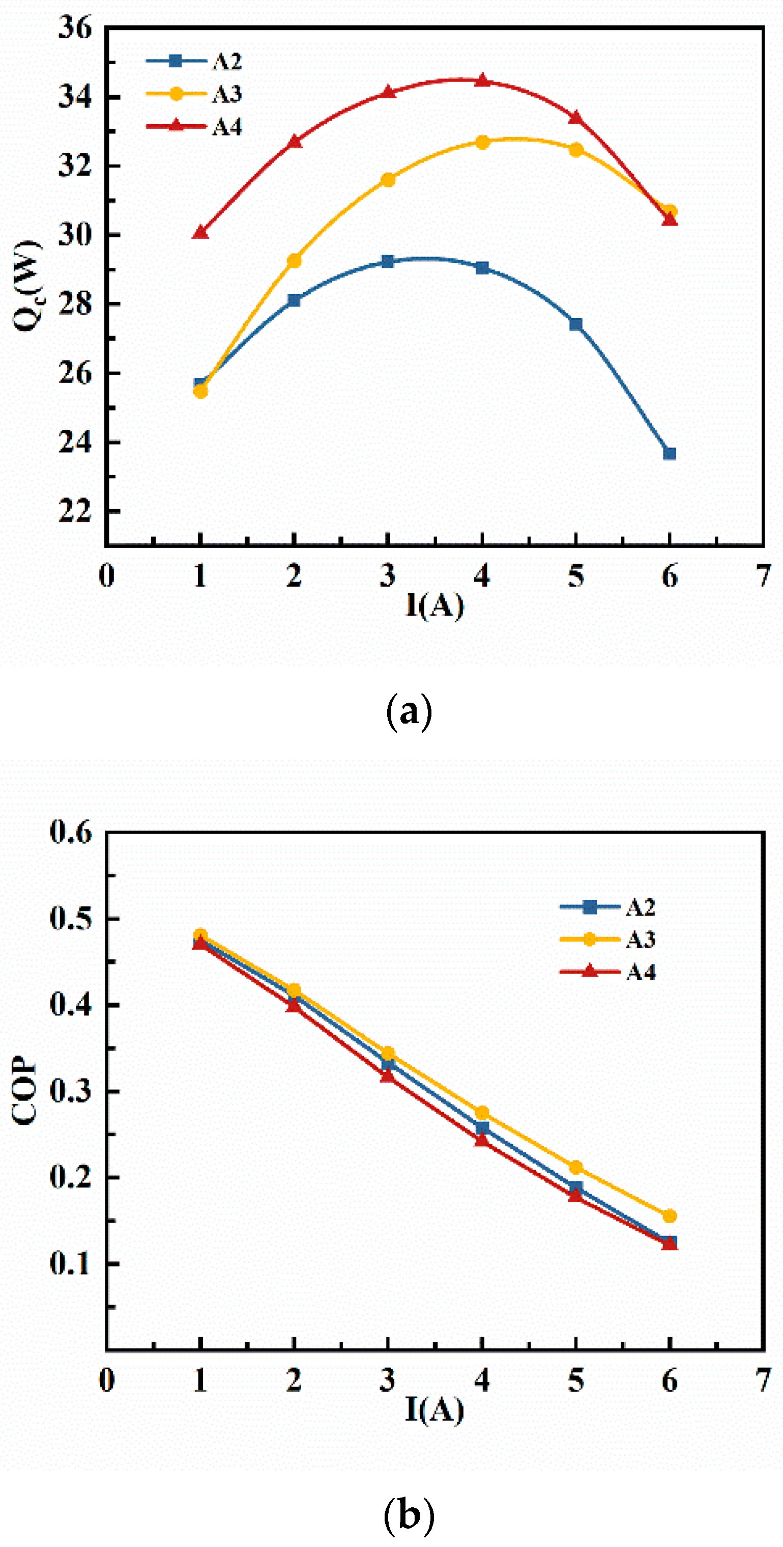
As the electrical current increases, the Joule heat generated by the TEC increases rapidly. The combined effects of the decreasing cooling capacity and the increasing Joule heat lead to a temperature increase. Figure 10 shows the cooling capacity and COP of the TEC in different schemes. The cooling capacity of the TEC initially increases and then decreases due to the added Joule heat, while the COP decreases overall. The maximum cooling capacity is achieved at 3 A in A2 and 4 A in A4. In Scheme A4, the cooling capacities at 3 A and 4 A are very similar, but the COP at 3 A is higher than it is at 4 A.
To summarize, optimal cooling performance is achieved at currents of 3 A, 4 A, and 3 A, respectively, in Schemes A2, A3, and A4.

3.2. Influence of Different Schemes

To evaluate the impact of TECs on the average chip temperature, a comparative study was conducted across four schemes. Scheme A1 served as the baseline, and the heat dissipation optimization effects were studied by comparing it with other schemes. In Section 3.1, the optimal working current for each scheme is determined.
Table 3 presents the average temperatures of the different schemes and the variation in temperature between Scheme A1 and the other schemes. Figure 11 shows the variations more directly. As shown in Figure 11, the average temperature in Scheme A2 is higher than that in Scheme A1. This is because the TEC in Scheme A2 generates excessive Joule heat, and the heat dissipation capacity of the parallel fins limits the TEC’s cooling ability. In this case, the temperature of the power components actually increases. However, referring back to Table 3 and Figure 11, the average temperatures in Schemes A3 and A4 are lower than those in Scheme A1. Specifically, the average temperature decreases of the IPM, IGBT, FRD, and Rectifier Bridge in Scheme A3 are 7.97 °C, 11.08 °C, 10.76 °C, and 9.35 °C, respectively. In Scheme A4, these decreases are even more pronounced, with reductions of 13.58 °C, 14.03 °C, 15.88 °C, and 15.56 °C, respectively.
In Scheme A3, the parallel fins used in Scheme A2 are replaced with oblique fins to enhance the cooling performance of the TEC’s hot side. Figure 12 presents the airflow speed vector diagram among the fins. Compared with the parallel fins in Scheme A2, the airflow direction in Scheme A3 is nearly parallel to the oblique fins, which facilitates faster airflow. Meanwhile, the oblique fins increase the contact area between the fin surface and the air. These modifications improve heat convection over the heat sink surface, thereby significantly enhancing the TEC’s cooling capacity.
Scheme A4 employs double TECs to improve the overall cooling capacity. As shown in Table 3 and Figure 11, the heat dissipation effect in Scheme A4 is superior to that in Scheme A3. This improvement is attributed to the ability of the double TECs to actively transfer more heat from the heating elements to the heat sink.
Figure 13 presents the temperature contours of the entire system, including the power components, TECs, and heat sink. The higher temperature observed in the heat sink for Schemes A3 and A4 indicates that heat was efficiently removed from the power components. In addition, compared with Scheme A3, the lower temperature difference between the cold and hot sides of the TEC in Scheme A2 demonstrates that the heat dissipation capacity of parallel fins limits the cooling performance of the TEC.

4. Conclusions

To guarantee the reliability and working performance of VFACs operating in extremely high ambient temperatures of 55 °C, we propose a feasible thermal management design based on thermoelectric coolers (TECs) that can cool the electronic control module. As discussed above, TECs have a significant impact on thermal performance. However, insufficient heat dissipation from the hot side of the TEC can lead to a deterioration in cooling performance due to the added Joule heat. Enhancing the heat dissipation capacity of the hot side or increasing the number of TECs can improve the cooling capacity. In Scheme A3, the average temperature decreases of the IPM, IGBT, FRD, and Rectifier Bridge were 7.97 °C, 11.08 °C, 10.76 °C, and 9.35 °C, respectively. In Scheme A4, these decreases were even more pronounced, with reductions of 13.58 °C, 14.03 °C, 15.88 °C, and 15.56 °C, respectively. Compared with other cooling methods, the temperature reductions achieved with TECs are highly noticeable. This enables VFACs to operate at their full potential in extremely high ambient temperatures. This study explores the application of TECs to cool the electronic control modules of VFACs in extremely high ambient temperatures. Our findings suggest that TECs can be effectively utilized on a large scale in the commercial VFAC field.

Author Contributions

Conceptualization, L.S. (Lianyu Shan); methodology, L.S. (Lianyu Shan) and Y.W.; software, L.S. (Lianyu Shan) and Y.W.; validation, L.S. (Lianyu Shan), L.S. (Limei Shen), and C.B.; formal analysis, C.B.; investigation, Y.S.; resources, J.W.; data curation, J.X.; writing—original draft preparation, Y.W.; writing—review and editing, L.S. (Lianyu Shan); visualization, L.S. (Lianyu Shan); supervision, L.S. (Limei Shen); project administration, L.S. (Limei Shen); funding acquisition, L.S. (Limei Shen). All authors have read and agreed to the published version of the manuscript.

Funding

This research was funded by the National Natural Science Foundation of China through grant number 52176007.

Data Availability Statement

The data that support the findings of this study are available from the corresponding author upon reasonable request.

Conflicts of Interest

Authors Lianyu Shan, Changbo Bu, Yuxi Su and Junhong Wu were employed by the company Xiaomi Smart Appliances (Wuhan) Co., Ltd. The remaining authors declare that the research was conducted in the absence of any commercial or financial relationships that could be construed as a potential conflict of interest.

Abbreviations

The following abbreviations are used in this manuscript:
VFACsVariable frequency air conditioners
TECsThermoelectric coolers
IPMIntelligent Power Module
IGBTInsulated Gate Bipolar Transistor
FRDFast Recovery Diode

References

  1. Hayashi, N.; Funamoto, N.; Toyama, E.; Ogawa, T.; Sekimoto, M.; Asano, Y. Inverter Air Conditioner Promotion by Developing a High Power Density Motor Drive System. IEEJ J. Ind. Appl. 2023, 12, 1025–1033. [Google Scholar] [CrossRef]
  2. Yu, Z.; Li, M.; Cao, B. A comprehensive review on microchannel heat sinks for electronics cooling. Int. J. Extreme Manuf. 2024, 6, 022005. [Google Scholar] [CrossRef]
  3. Saligram, R.; Raychowdhury, A.; Datta, S. The future is frozen: Cryogenic CMOS for high-performance computing. Chip 2024, 3, 100082. [Google Scholar] [CrossRef]
  4. Hui, H.; Ding, Y.; Chen, T.; Rahman, S.; Song, Y. Dynamic and Stability Analysis of the Power System With the Control Loop of Inverter Air Conditioners. IEEE Trans. Ind. Electron. 2021, 68, 2725–2736. [Google Scholar] [CrossRef]
  5. He, Z.; Yan, Y.; Zhang, Z. Thermal management and temperature uniformity enhancement of electronic devices by micro heat sinks: A review. Energy 2021, 216, 119223. [Google Scholar] [CrossRef]
  6. Shaeri, M.R.; Sarabi, S.; Randriambololona, A.M.; Shadlo, A. Machine learning-based optimization of air-cooled heat sinks. Therm. Sci. Eng. Prog. 2022, 34, 101398. [Google Scholar] [CrossRef]
  7. Lakshmanan, V.; Doiphode, P.; Samanta, I. Performance Enhancement of Air Cooled Heat Sink Used in Inverter Drives of Residential Air Conditioners. Int. J. Air-Cond. Refrig. 2020, 28, 2050008. [Google Scholar] [CrossRef]
  8. Ismail, M. Experimental and numerical analysis of heat sink using various patterns of cylindrical pin-fins. Int. J. Thermofluids 2024, 23, 100737. [Google Scholar] [CrossRef]
  9. Han, F.; Guo, H.; Ding, X. Design and optimization of a liquid cooled heat sink for a motor inverter in electric vehicles. Appl. Energy 2021, 291, 116819. [Google Scholar] [CrossRef]
  10. Ejaz, F.; Kwon, B. Two-phase active immersion cooling for vertically mounted electronics with interchip component-assisted bubble departure. Int. Commun. Heat Mass Transf. 2024, 159, 107981. [Google Scholar] [CrossRef]
  11. Wu, X.L.; Li, C.Y.; Yang, J.L.; Liu, Y.; Han, X.H. Theoretical and experimental research on flow boiling heat transfer in microchannels for IGBT modules. Int. J. Heat Mass Transf. 2023, 205, 123900. [Google Scholar] [CrossRef]
  12. Xia, G.; Zhuang, D.; Ding, G. Thermal management solution for enclosed controller used in inverter air conditioner based on heat pipe heat sink. Int. J. Refrig. 2019, 99, 69–79. [Google Scholar] [CrossRef]
  13. Zhao, Y.; Liu, Z.; Quan, Z.; Yang, M.; Shi, J.; Zhang, W. Thermal management and multi-objective optimization of an air-cooled heat sink based on flat miniature-heat-pipe arrays. J. Therm. Anal. Calorim. 2024, 149, 2443–2462. [Google Scholar] [CrossRef]
  14. Ren, Y.; Luo, W.; He, Z.; Qin, N.; Meng, Q.; Qiu, M.; Li, J.; Yang, H.; Xu, L.; Li, Y. Development and performance study of a radiation-enhanced heat pipe radiator for cooling high-power IGBT modules. Appl. Therm. Eng. 2025, 262, 125307. [Google Scholar] [CrossRef]
  15. Chen, H.; Zhang, T.; Gao, Q.; Lv, J.; Chen, H.; Huang, H. Thermal management enhancement of electronic chips based on novel technologies. Energy 2025, 316, 134575. [Google Scholar] [CrossRef]
  16. Chen, W.; Shi, X.; Zou, J.; Chen, Z. Thermoelectric coolers for on-chip thermal management: Materials, design, and optimization. Mater. Sci. Eng. R Rep. 2022, 151, 100700. [Google Scholar] [CrossRef]
  17. Wang, J.; Hu, K.; Tang, K.; Xing, Y.; Xiao, Y.; Liu, Y.; Yan, Y.; Yang, D. Numerical Simulation on Thermoelectric Cooling of Core Power Devices in Air Conditioning. Appl. Sci. 2023, 13, 7274. [Google Scholar] [CrossRef]
  18. Sasidharan, M.; Mohd Sabri, M.F.; Wan Muhammad Hatta, S.F.; Ibrahim, S. A review on the progress and development of thermoelectric air conditioning system. Int. J. Green Energy 2024, 21, 283–299. [Google Scholar] [CrossRef]
  19. Li, S.; Liu, J.; Ding, L.; Liu, J.; Xu, J.; Peng, Y.; Chen, M. Active Thermal Management of High-Power LED Through Chip on Thermoelectric Cooler. IEEE Trans. Electron Devices 2021, 68, 1753–1756. [Google Scholar] [CrossRef]
Figure 1. Outdoor VFAC unit: (a) inside components; (b) power components; (c) silicon thermal grease.
Figure 1. Outdoor VFAC unit: (a) inside components; (b) power components; (c) silicon thermal grease.
Electronics 14 01595 g001
Figure 2. Simulation model: (a) geometry model; (b) simplified model in Icepak.
Figure 2. Simulation model: (a) geometry model; (b) simplified model in Icepak.
Electronics 14 01595 g002
Figure 3. Four cooling schemes: (a) A1: parallel fins; (b) A2: single TEC and parallel fins; (c) A3: single TEC and oblique fins; (d) A4: two TECs and parallel fins.
Figure 3. Four cooling schemes: (a) A1: parallel fins; (b) A2: single TEC and parallel fins; (c) A3: single TEC and oblique fins; (d) A4: two TECs and parallel fins.
Electronics 14 01595 g003
Figure 4. TEC macros: (a) material properties; (b) geometric parameters; and (c) TEC model.
Figure 4. TEC macros: (a) material properties; (b) geometric parameters; and (c) TEC model.
Electronics 14 01595 g004
Figure 5. Validation of simulation model through experimentation.
Figure 5. Validation of simulation model through experimentation.
Electronics 14 01595 g005
Figure 6. Two different specifications of heat sink: (a) parallel fins and (b) oblique fins.
Figure 6. Two different specifications of heat sink: (a) parallel fins and (b) oblique fins.
Electronics 14 01595 g006
Figure 7. Grids of Scheme A1.
Figure 7. Grids of Scheme A1.
Electronics 14 01595 g007
Figure 8. (a) Grid independence; (b) model validation.
Figure 8. (a) Grid independence; (b) model validation.
Electronics 14 01595 g008
Figure 9. Relationship between average temperature of power components and electrical current in different schemes: (a) A2; (b) A3; and (c) A4.
Figure 9. Relationship between average temperature of power components and electrical current in different schemes: (a) A2; (b) A3; and (c) A4.
Electronics 14 01595 g009
Figure 10. Variation in cooling capacity and COP with current in different schemes: (a) cooling capacity and (b) COP.
Figure 10. Variation in cooling capacity and COP with current in different schemes: (a) cooling capacity and (b) COP.
Electronics 14 01595 g010
Figure 11. Variation in average temperature in different schemes.
Figure 11. Variation in average temperature in different schemes.
Electronics 14 01595 g011
Figure 12. Airflow speed vector diagram for fins in A2 and A3: (a) A2 and (b) A3.
Figure 12. Airflow speed vector diagram for fins in A2 and A3: (a) A2 and (b) A3.
Electronics 14 01595 g012
Figure 13. Temperature contours of entire system: (a) A1; (b) A2; (c) A3; and (d) A4.
Figure 13. Temperature contours of entire system: (a) A1; (b) A2; (c) A3; and (d) A4.
Electronics 14 01595 g013
Table 1. Temperature-dependent material properties of TE elements (temperature in K).
Table 1. Temperature-dependent material properties of TE elements (temperature in K).
f(T) = a0 + a1 × T + a2 × T2a0a1a2
Seebeck coefficient [V/K]2.3 × 10−58.04857 × 10−7−7.71429 × 10−10
Electrical resistivity [Ω·cm]1.55613 × 10−41.57124 × 10−65.71305 × 10−9
Thermal conductivity [W/(m·K)]6.695714286 × 10−2−0.030628571 × 10−24.57143 × 10−7
Table 2. Geometric parameters of TEC.
Table 2. Geometric parameters of TEC.
ParameterDescriptionValue
LpLength of plate40 mm
WpWidth of plate40 mm
LTELength of TE elements1.4 mm
WTEWidth of TE elements1.4 mm
HTEHeight of TE elements1.6 mm
PTEPitch of TE elements1.1 mm
H1Height of copper connector0.4 mm
H2Height of ceramic plate0.7 mm
Table 3. Average temperatures of power components in different schemes.
Table 3. Average temperatures of power components in different schemes.
SchemeAverage Temperature (°C)
IPMIGBTFRDRectifier Bridge
A184.21104.34109.4774.71
A2_3A87.9 (↑3.69)105.37 (↑1.03)111.08 (↑1.61)77.23 (↑2.52)
A3_4A76.24 (↓7.97)93.26 (↓11.08)98.71 (↓10.76)65.36 (↓9.35)
A4_3A70.63 (↓13.58)90.31 (↓14.03)93.59 (↓15.88)59.15 (↓15.56)
Disclaimer/Publisher’s Note: The statements, opinions and data contained in all publications are solely those of the individual author(s) and contributor(s) and not of MDPI and/or the editor(s). MDPI and/or the editor(s) disclaim responsibility for any injury to people or property resulting from any ideas, methods, instructions or products referred to in the content.

Share and Cite

MDPI and ACS Style

Shan, L.; Bu, C.; Su, Y.; Wu, J.; Wang, Y.; Shen, L.; Xie, J. Towards Feasible Thermal Management Design of Electronic Control Module for Variable Frequency Air Conditioner Function in Extremely High Ambient Temperatures. Electronics 2025, 14, 1595. https://doi.org/10.3390/electronics14081595

AMA Style

Shan L, Bu C, Su Y, Wu J, Wang Y, Shen L, Xie J. Towards Feasible Thermal Management Design of Electronic Control Module for Variable Frequency Air Conditioner Function in Extremely High Ambient Temperatures. Electronics. 2025; 14(8):1595. https://doi.org/10.3390/electronics14081595

Chicago/Turabian Style

Shan, Lianyu, Changbo Bu, Yuxi Su, Junhong Wu, Yunyi Wang, Limei Shen, and Junlong Xie. 2025. "Towards Feasible Thermal Management Design of Electronic Control Module for Variable Frequency Air Conditioner Function in Extremely High Ambient Temperatures" Electronics 14, no. 8: 1595. https://doi.org/10.3390/electronics14081595

APA Style

Shan, L., Bu, C., Su, Y., Wu, J., Wang, Y., Shen, L., & Xie, J. (2025). Towards Feasible Thermal Management Design of Electronic Control Module for Variable Frequency Air Conditioner Function in Extremely High Ambient Temperatures. Electronics, 14(8), 1595. https://doi.org/10.3390/electronics14081595

Note that from the first issue of 2016, this journal uses article numbers instead of page numbers. See further details here.

Article Metrics

Back to TopTop