A Class of Anti-Windup Controllers for Precise Positioning of an X-Y Platform with Input Saturations
Abstract
1. Introduction
2. Dynamics of an X-Y Platform and Problem Statement
2.1. Dynamics of an X-Y Platform
2.2. Problem Statement
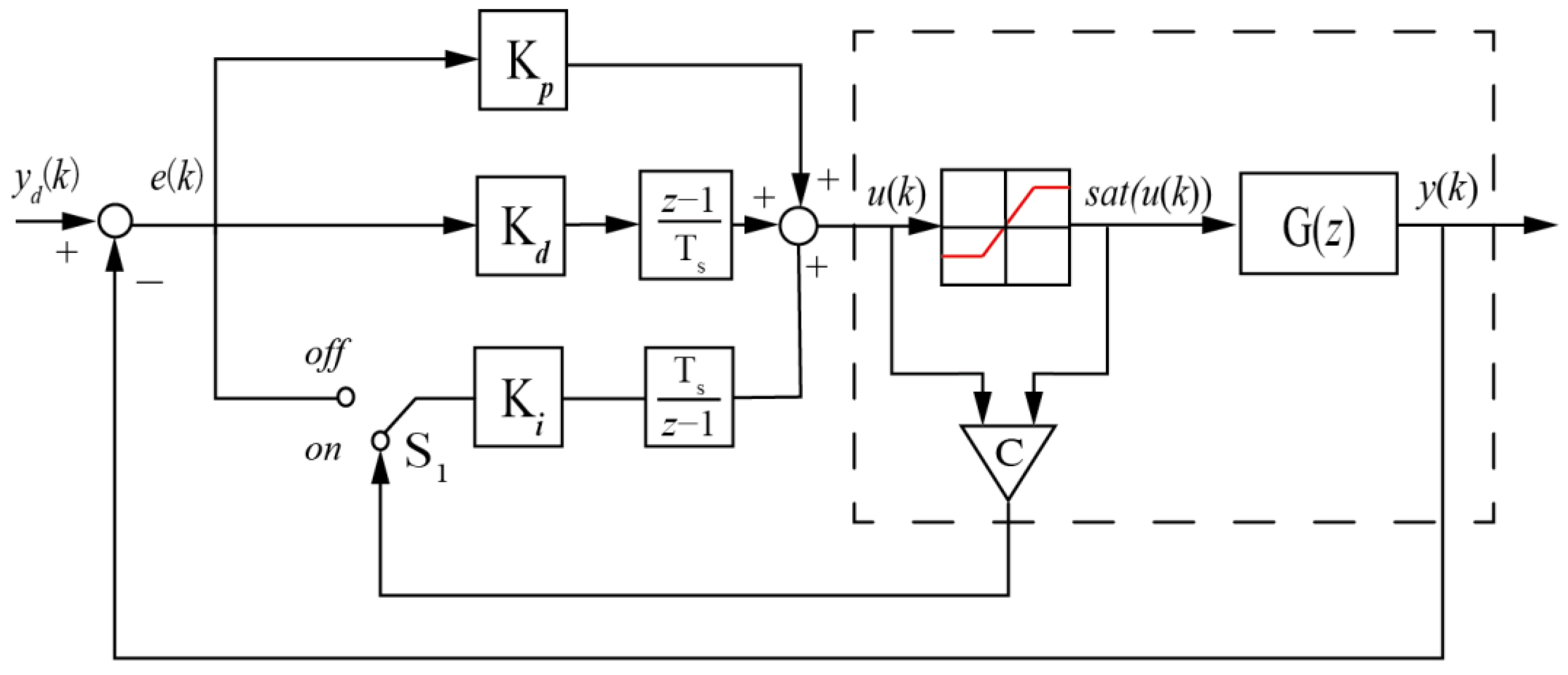
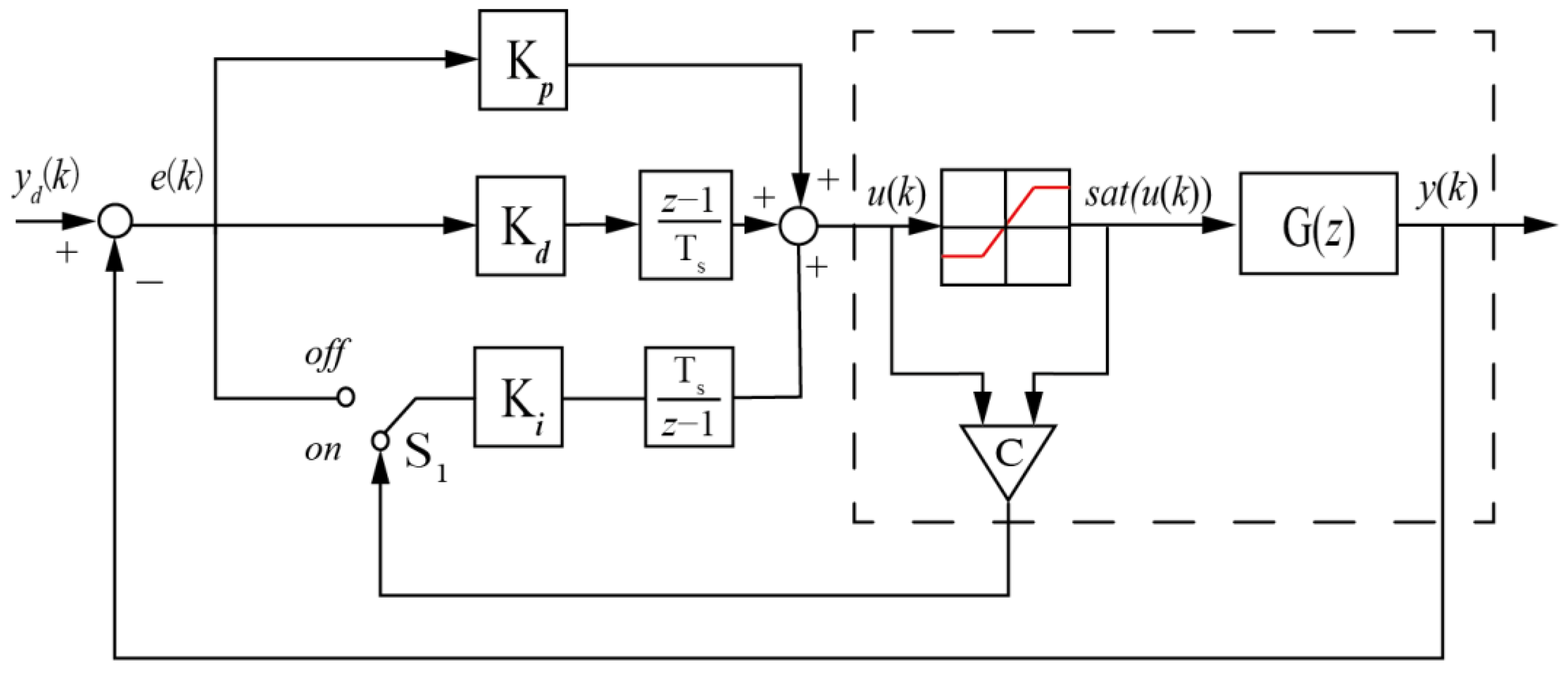
3. PID Positioning Controller with Anti-Windup Algorithms Design
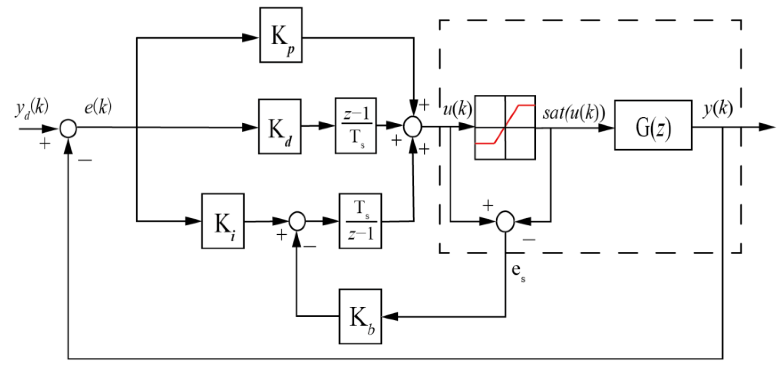
3.1. PID Controller Design Based on the Standard Back-Calculation Algorithm
| Algorithm 1. Back-calculation anti-windup algorithm |
| Input: -The design of the corresponding control parameter should consider the saturation degree. -The system’s limited input . -The calculated control input . Output: adjusted integral operation to mitigate windup. if : 1. Activate the anti-windup mechanism for the integral operation. 2. Calculate the deviation: . 3. Scale the deviation by : Correction: . 4. Apply the correction as feedback to the integral term to reduce windup. else Maintain the normal operation of the integral control. end if |
3.2. PID Controller Design Based on the Standard Clamping Algorithm
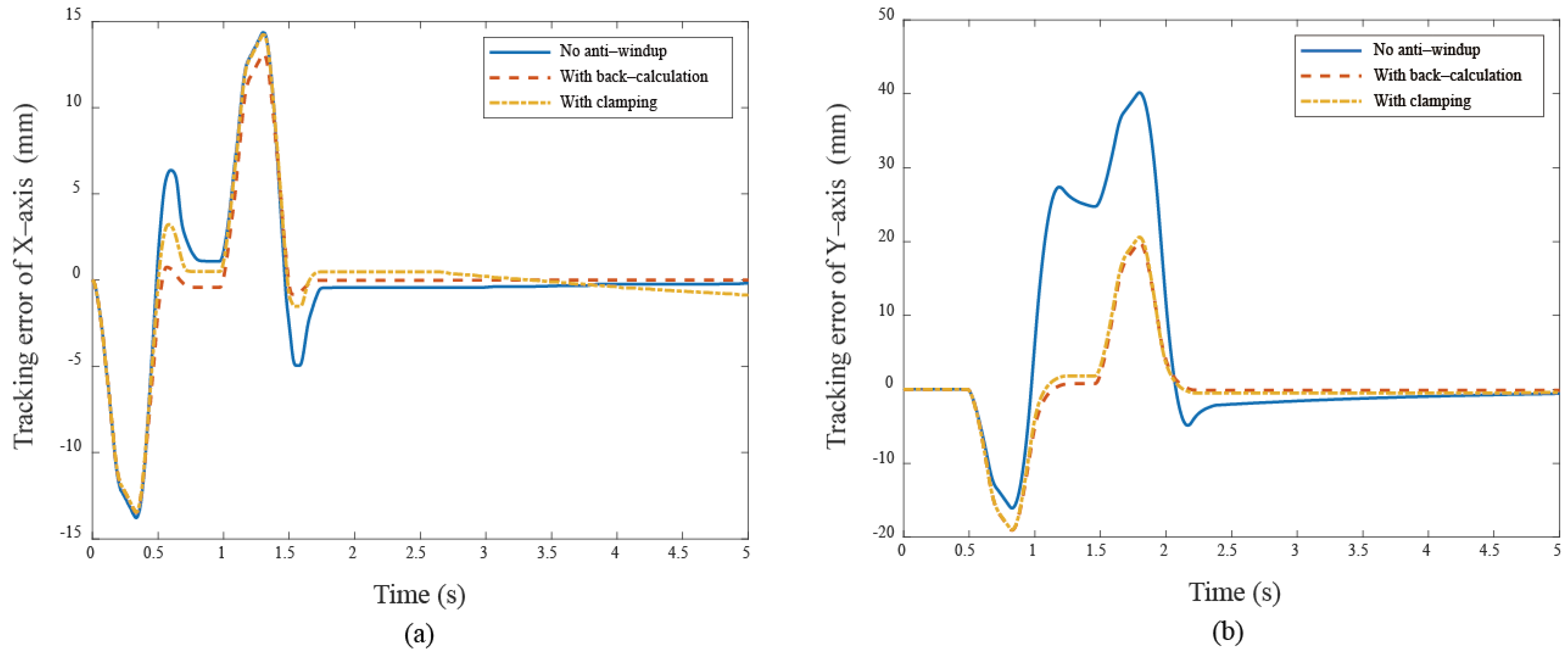
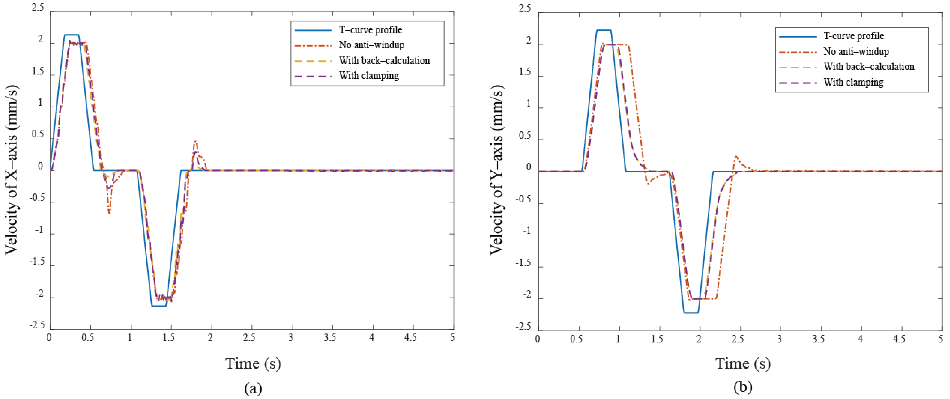
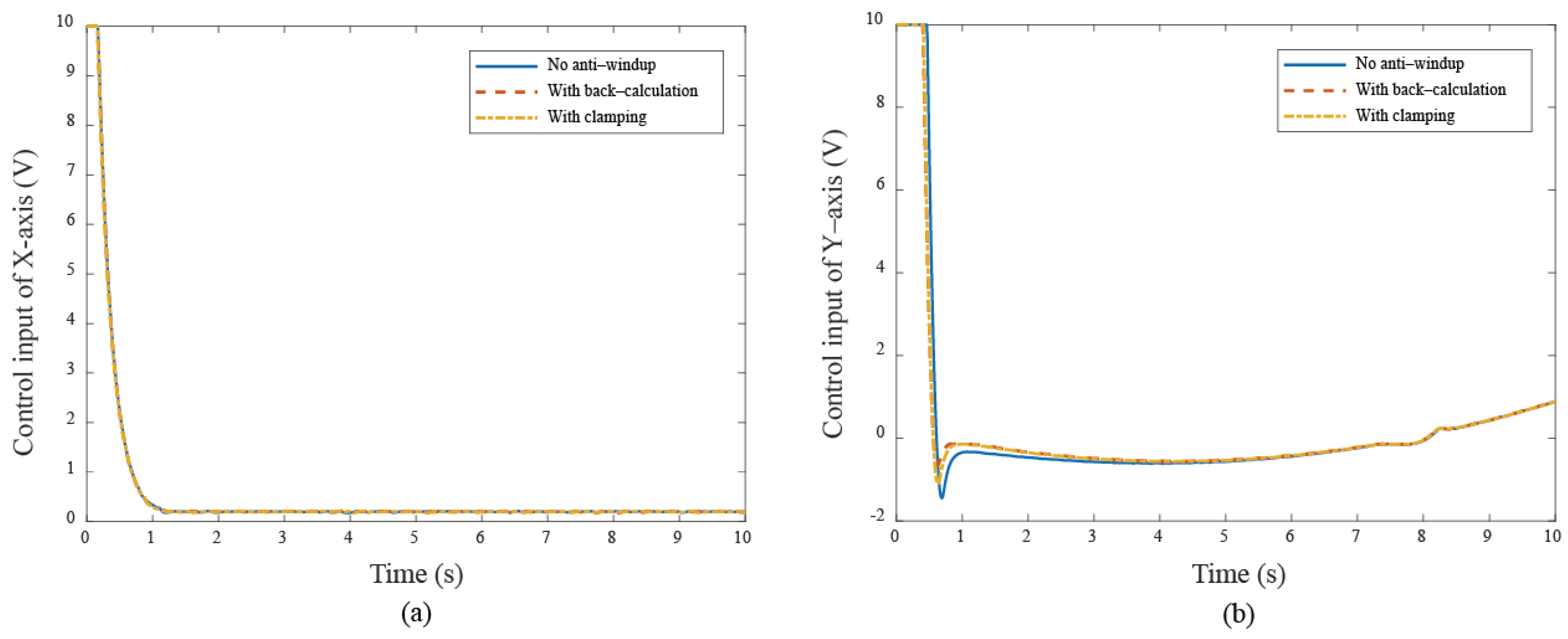
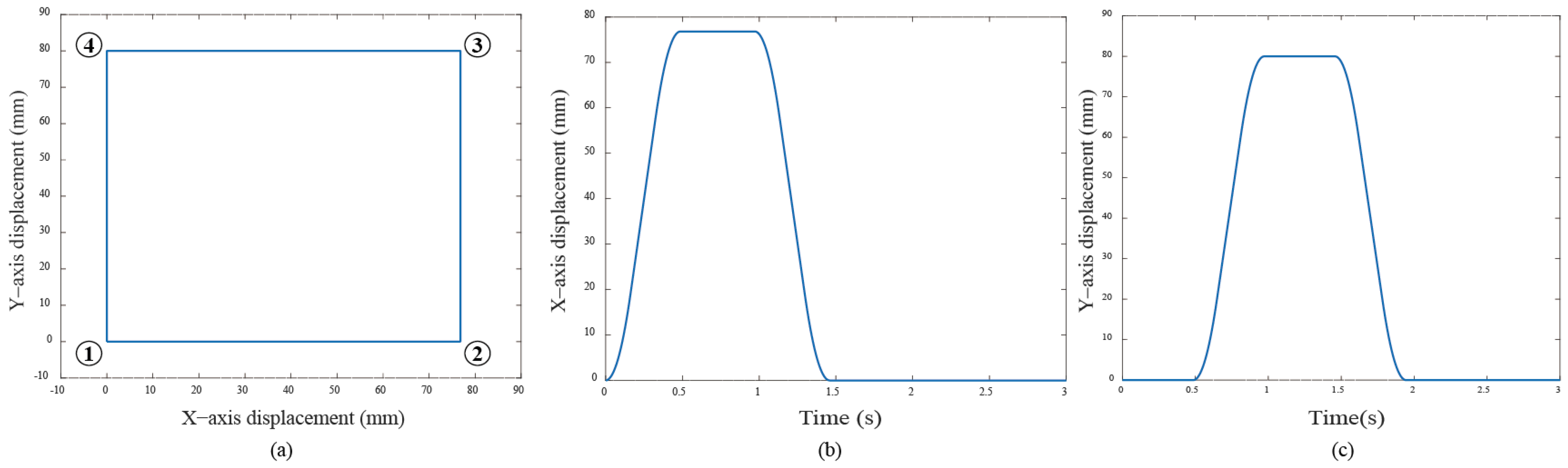
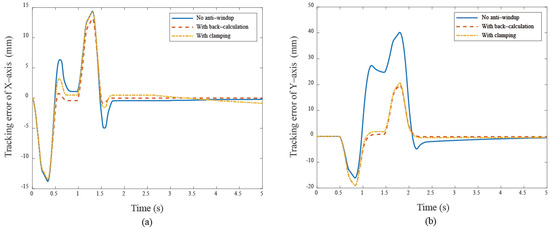
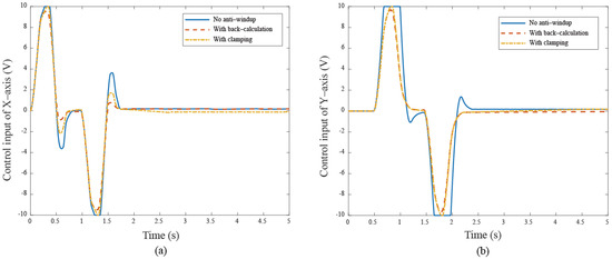
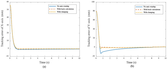
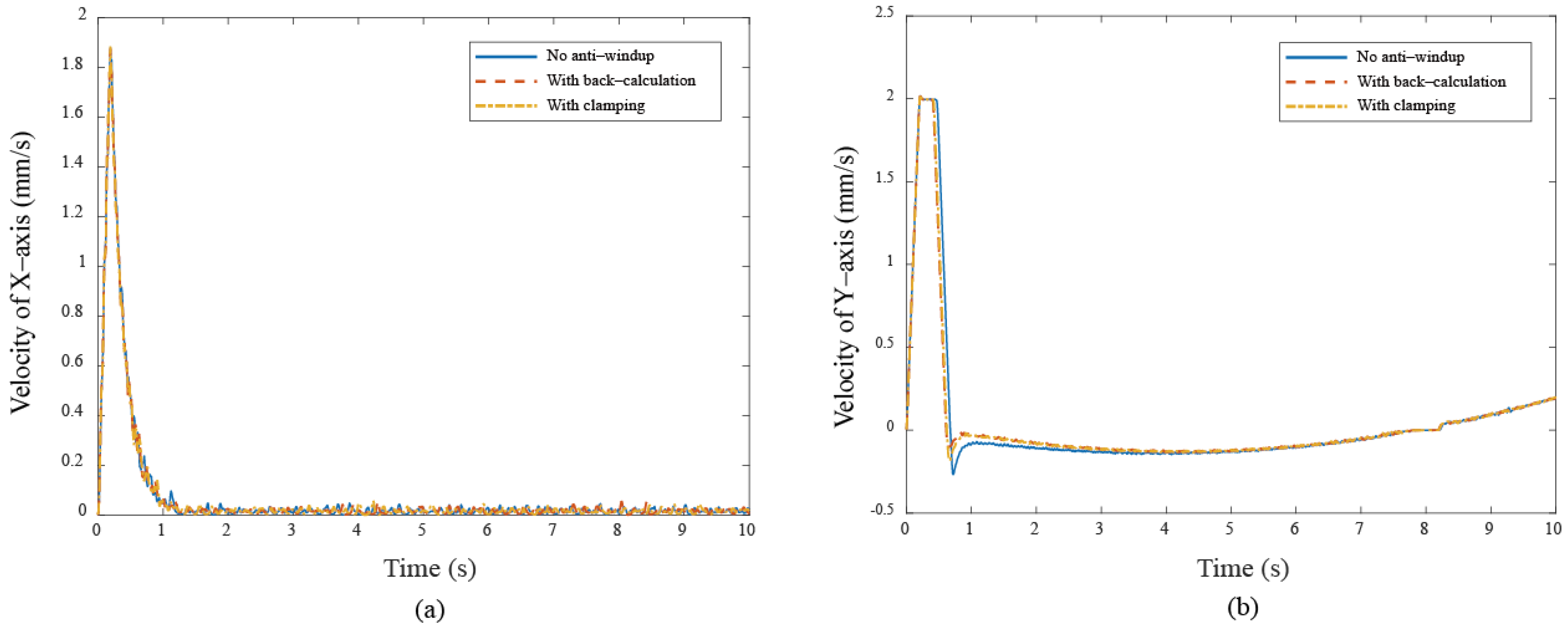
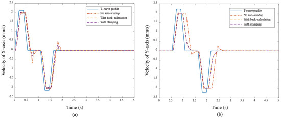
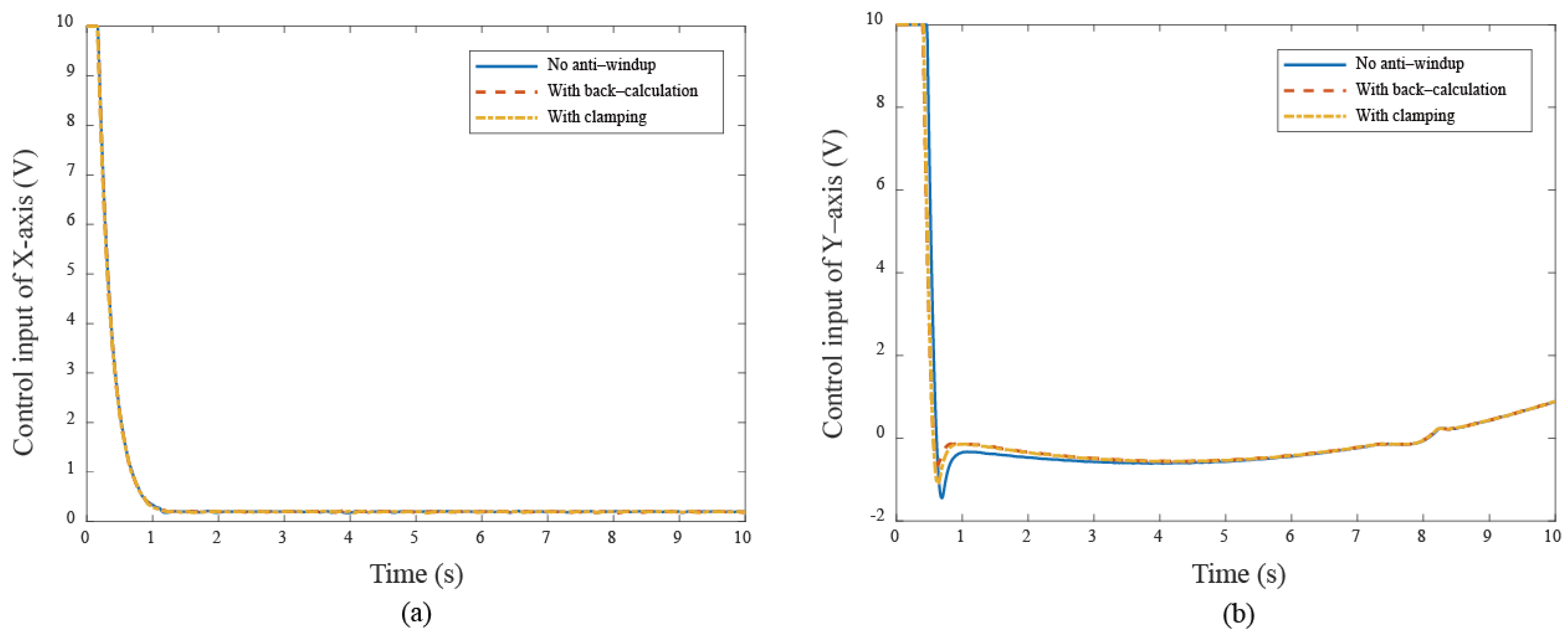
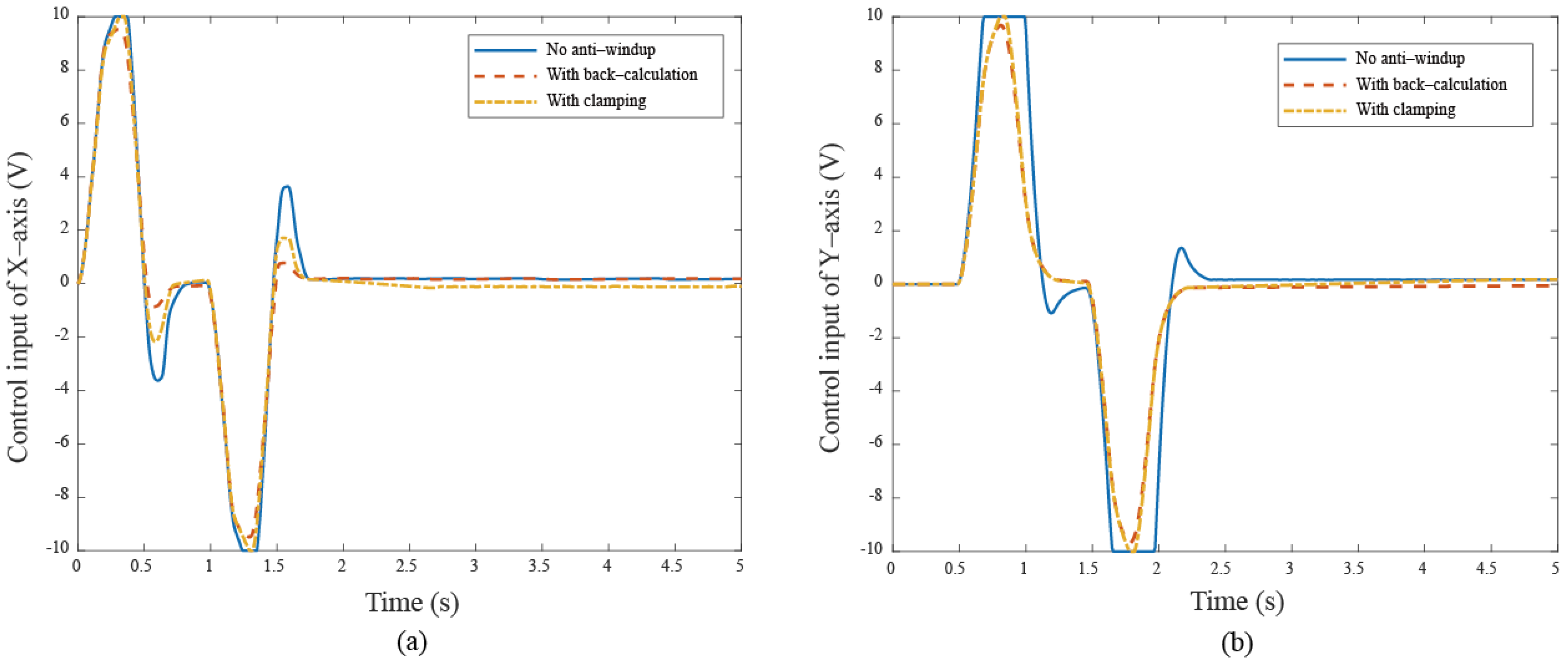
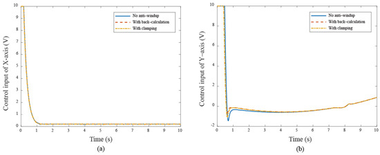
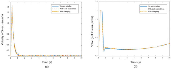
4. Experimental Results and Discussions
- Physical limitations:
5. Conclusions and Future Works
Author Contributions
Funding
Data Availability Statement
Conflicts of Interest
References
- Min, C.; Pan, Y.; Dai, W.; Kawsar, W.; Li, I.; Wang, G. Trajectory optimization of an electric vehicle with minimum energy consumption using inverse dynamics model and servo constraints. Mech. Mach. Theory 2023, 181, 105185. [Google Scholar] [CrossRef]
- Udris, D.; Bručas, D.; Pomarnacki, R. Reliability Improvement of Power Distribution System for UAV. Electronics 2019, 8, 636. [Google Scholar] [CrossRef]
- Jiang, W.; Zhang, C.; Jia, P.; Yan, G.; Ma, R.; Chen, G. A Study on the Electro-Hydraulic Coupling Characteristics of an Electro-Hydraulic Servo Pump Control System. Processes 2022, 10, 1539. [Google Scholar] [CrossRef]
- Situm, Z. Applying different controller structures for position control of pneumatic servo system. Strojarstvo 2006, 48, 261–271. [Google Scholar]
- Dolleman, P.; Carneiro, J.F.; de Almeida, F. Exploring the use of two servo-valves for servo-pneumatic control. Int. J. Adv. Manuf. Technol. 2018, 97, 2963–3980. [Google Scholar] [CrossRef]
- Mehedi, I.M.; Ansari, U.; Al-Saggaf, U.M.; Bajodah, A.H. Controlling A Rotary Servo Cart System Using Robust Generalized Dynamic Inversion. Int. J. Robot. Autom. 2020, 35, 77–85. [Google Scholar] [CrossRef]
- Wos, P.; Dindorf, R. Adaptive Control of The Electro-Hydraulic Servo-System With External Disturbances. Asian J. Control. 2013, 15, 1065–1080. [Google Scholar] [CrossRef]
- Lin, F.; Chiu, S. Adaptive fuzzy sliding-mode control for PM synchronous servo motor drives. IEE Proc.-Control. Theory Appl. 1998, 145, 63–72. [Google Scholar] [CrossRef]
- Liu, X.; Chang, X. Adaptive event-triggered tracking control for nonlinear networked systems with dynamic quantization and deception attacks. Int. J. Robust Nonlinear Control. 2024, 34, 8311–8333. [Google Scholar] [CrossRef]
- Chen, W.; Xu, T.; Liu, J.; Wang, M.; Zhao, D. Picking Robot Visual Servo Control Based on Modified Fuzzy Neural Network Sliding Mode Algorithms. Electronics 2019, 8, 605. [Google Scholar] [CrossRef]
- Chang, X.; Liu, X.; Hou, L.; Qi, J. Quantized Fuzzy Feedback Control for Electric Vehicle Lateral Dynamics. IEEE Trans. Syst. Man Cybern. Syst. 2024, 54, 2331–2341. [Google Scholar] [CrossRef]
- Richter, A.; Rydlo, P.; Pustka, M.; Kolar, M. Pulse driving of piezoceramic actuators and their present technical limitations. Ferroelectrics 2005, 320, 593–600. [Google Scholar] [CrossRef]
- Gdoura, E.K.; Feki, M. Sliding Mode Control Applied to Electrohydraulic System. Appl. Sliding Mode Control. 2017, 79, 331–363. [Google Scholar]
- Tran, T.; Jung, J. Development of anti-windup PI control and bumpless control transfer methodology for feedwater control system. Ann. Nucl. Energy 2019, 131, 233–241. [Google Scholar] [CrossRef]
- Wittenmark, B.; Åström, K. Practical issues in the implementation of self-tuning control. Automatica 1984, 20, 595–605. [Google Scholar] [CrossRef][Green Version]
- Markaroglu, H.; Guzelkay, M.; Eksin, I.; Yesil, E. Tracking time adjustment in back calculation anti-windup scheme. In Proceedings of the 20th European Conference on Modelling and Simulation, Bonn, Germany, 28–31 May 2006; ISBN 0-9553018-0-7. [Google Scholar]
- Yang, M.; Tang, S.; Xu, D. Comments on Antiwindup strategy for PI-type speed controller. IEEE Trans. Ind. Electron. 2014, 62, 1329–1332. [Google Scholar] [CrossRef]
- Espina, J.; Arias, A.; Balcells, J.; Ortega, C. Speed anti-windup PI strategies review for field oriented control of permanent magnet synchronous machines. In Proceedings of the 13th European Conference on Power Electronics and Applications, Badajoz, Spain, 20–22 May 2009; pp. 279–285. [Google Scholar]
- Chen, Y.; Ma, K.; Dung, R. Dynamic Anti-Windup Design for Linear Systems with Time-Varying State Delay and Input Saturations. Int. J. Syst. Sci. 2022, 53, 2165–2179. [Google Scholar] [CrossRef]
- Wang, X.; Zhang, X. Neural-Network-Based Control for Discrete-Time Nonlinear Systems with Input Saturation Under Stochastic Communication Protocol. IEEE/CAA J. Autom. Sin. 2021, 8, 766–778. [Google Scholar] [CrossRef]
- Ju, Y.; Liu, Y.; Zhang, B. Finite-Horizon H∞ Filtering and Fault Isolation for a Class of Time-Varying Systems with Sensor Saturation. Int. J. Syst. Sci. 2021, 52, 321–333. [Google Scholar] [CrossRef]
- Li, P.; Zhu, G. IMC-based PID control of servo motors with extended state observer. Mechatronics 2019, 62, 102252. [Google Scholar] [CrossRef]
- Cheng, G.; Peng, K. Robust composite nonlinear feedback control with application to a servo positioning system. IEEE Trans. Ind. Electron. 2007, 54, 1132–1140. [Google Scholar] [CrossRef]
- Huba, M.; Chamaz, S.; Bistak, P.; Vrancic, D. Making the PI and PID Controller Tuning Inspired by Ziegler and Nichols Precise and Reliable. Sensors 2021, 21, 6175. [Google Scholar] [CrossRef]

















| Servo Motors | Kp | Ki | Kd | α | Ts | Kb | Kb |
|---|---|---|---|---|---|---|---|
| X-axis | 0 | 0.001 | 0.8 | 0.8 | |||
| Y-axis | 0 | 0.001 | 30 | 30 |
| Servo Motors | NO Anti–Windup | Back–Calculation | Clamping |
|---|---|---|---|
| Y–axis (Bézier curve) | 18% | 2.16% | 4.59% |
| X–axis (quadrilateral curve) | 8% | 0.97% | 4.19% |
| Y–axis (quadrilateral curve) | 34.22% | 0.97% | 2.27% |
Disclaimer/Publisher’s Note: The statements, opinions and data contained in all publications are solely those of the individual author(s) and contributor(s) and not of MDPI and/or the editor(s). MDPI and/or the editor(s) disclaim responsibility for any injury to people or property resulting from any ideas, methods, instructions or products referred to in the content. |
© 2025 by the authors. Licensee MDPI, Basel, Switzerland. This article is an open access article distributed under the terms and conditions of the Creative Commons Attribution (CC BY) license (https://creativecommons.org/licenses/by/4.0/).
Share and Cite
Chen, C.-W.; Wu, H.-M.; Nian, C.-Y. A Class of Anti-Windup Controllers for Precise Positioning of an X-Y Platform with Input Saturations. Electronics 2025, 14, 539. https://doi.org/10.3390/electronics14030539
Chen C-W, Wu H-M, Nian C-Y. A Class of Anti-Windup Controllers for Precise Positioning of an X-Y Platform with Input Saturations. Electronics. 2025; 14(3):539. https://doi.org/10.3390/electronics14030539
Chicago/Turabian StyleChen, Chung-Wei, Hsiu-Ming Wu, and Chau-Yih Nian. 2025. "A Class of Anti-Windup Controllers for Precise Positioning of an X-Y Platform with Input Saturations" Electronics 14, no. 3: 539. https://doi.org/10.3390/electronics14030539
APA StyleChen, C.-W., Wu, H.-M., & Nian, C.-Y. (2025). A Class of Anti-Windup Controllers for Precise Positioning of an X-Y Platform with Input Saturations. Electronics, 14(3), 539. https://doi.org/10.3390/electronics14030539

