Assessing ChatGPT Adoption in Higher Education: An Empirical Analysis
Abstract
1. Introduction
2. Literature Review
2.1. ChatGPT Short Overview
2.2. ChatGPT in Education
2.3. Technology Acceptance Models for AI Adoption
3. Research Methodology
3.1. Research Model and Hypotheses
| Hypothesis | References | Direct Effect Magnitude |
|---|---|---|
| HM → PEOU | [73] | Medium |
| HM → PU | [73] | Small |
| HM → T | [69] | Not Supported |
| HM → S | [71] | Large |
| HM → L | [73,89,90] | Large, Medium, Not supported |
| PEOU → PU | [73,76] | Medium, Not supported |
| PEOU → S | [26,71,81,84,89] | Medium, Not supported, Small, Medium, Medium |
| PEOU → T | [81] | Small |
| PEOU → L | [73,76,89] | Medium, Small, Not supported |
| PU → S | [26,70,71,84,89] | Large, Medium, Large, Small, Medium |
| PU → T | [81] | Large |
| PU → L | [73,76,77,83,89,90] | Medium, Large, Medium, Small, Large, Medium |
| PSP → S | [71] | Medium |
| A → T; SP → T | [80,88] | Medium; Large |
| PHL → L; SP → L | [26,90] | Medium indirect effect, Not supported |
| S → T | [81] | Medium |
| S → L | [26,70,71,84,89] | Medium, Medium, Medium, Large, Large |
| T → L | [69,80,83] | Medium, Large, Medium |
3.2. Data Collection
3.3. Population and Sample
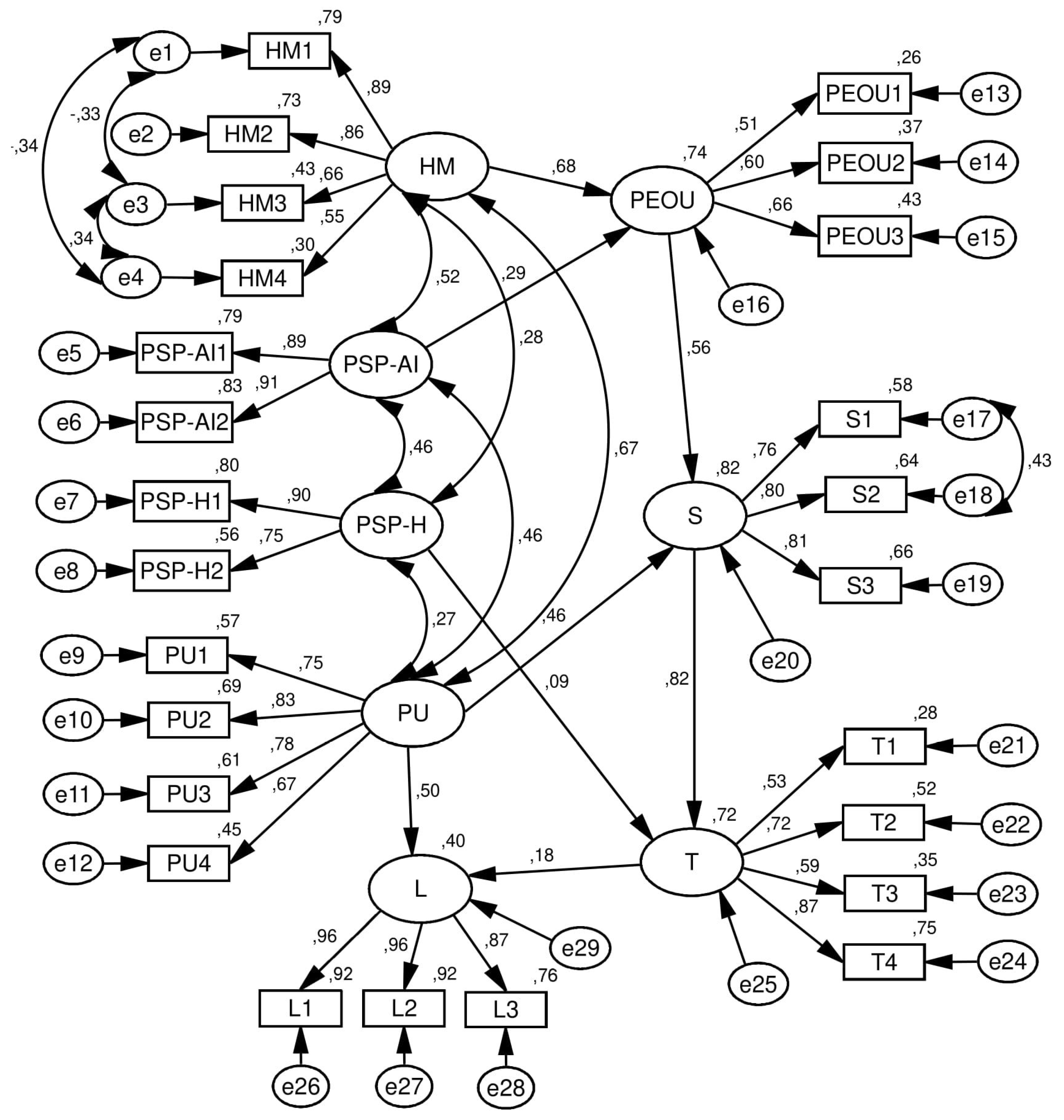
4. Results
4.1. Measurement Model Assessment
4.2. Measurement of the Model Fitness
4.3. Path Analysis
5. Discussion
6. Conclusions
Author Contributions
Funding
Data Availability Statement
Conflicts of Interest
Appendix A. Data Collection Tool
| Item Code | Metric | Item |
| PU1 | Perceived efficiency | Using ChatGPT enables me to accomplish my academic tasks more quickly. |
| PU2 | Perceived learning effectiveness | Using ChatGPT enhanced my learning effectiveness. |
| PU3 | Academic performance impact | Using ChatGPT helps me improve my academic performance. |
| PU4 | Academic perceived usefulness | I find ChatGPT useful for answering academic inquiries. |
| PU5 (dropped) | Self-efficacy | When I use ChatGPT, I feel more self-confident. |
| PEOU1 | Perceived ease of use | ChatGPT is easy for me to use. |
| PEOU2 | Ease of learning | Learning how to use ChatGPT is easy for me. |
| PEOU3 | Cognitive effort | Using ChatGPT requires minimal mental effort. |
| PSP-AI1 | Impersonal interaction | My interaction with ChatGPT is impersonal and lacking in human sensitivity. |
| PSP-AI2 | Perceived AI identity | While using ChatGPT, I had the feeling of communicating with an AI agent. |
| PSP-AI3 (dropped) | Perceived AI co-presence | While using ChatGPT, I felt accompanied by an AI agent. |
| PSP-AI4 (dropped) | Perceived AI social presence | While using ChatGPT, I felt that the AI was socially attentive and responsive to me. |
| PSP-H1 | Perceived human-likeness | While using ChatGPT, I had the feeling of talking to an actual person. |
| PSP-H2 | Perceived agreeableness | While using ChatGPT, I had the feeling of talking to an agreeable person. |
| PSP-H3 (dropped) | Perceived sensitivity | While using ChatGPT, I had the feeling of interacting with a sensitive person. |
| PSP-H4 (dropped) | Perceived empathy | While using ChatGPT, I had the feeling of interacting with an empathic person. |
| HM1 | Perceived interest | I find using ChatGPT interesting. |
| HM2 | User enthusiasm | I used ChatGPT enthusiastically. |
| HM3 | Perceived enjoyment | I find using ChatGPT enjoyable. |
| HM4 | Perceived fun | I had fun using ChatGPT. |
| S1 | Satisfaction with efficiency | I am satisfied with the efficiency of ChatGPT. |
| S2 | Satisfaction with effectiveness | I am satisfied with the effectiveness of ChatGPT |
| S3 | Overall satisfaction | Overall, I am satisfied with ChatGPT. |
| T1 | Perceived security | ChatGPT is secure. |
| T2 | Perceived information reliability | The information provided by ChatGPT is reliable. |
| T3 | Reputation | ChatGPT has a good reputation. |
| T4 | Overall trust | Overall, I trust ChatGPT. |
| T5 (dropped) | Policy compliance perception | Using ChatGPT is not a violation of academic policies. |
| L1 | Short-term continuance intention | In the next weeks, I plan to use ChatGPT to address my academic inquiries. |
| L2 | Long-term continuance intention | I intend to continue using ChatGPT to address my academic inquiries in the future. |
| L3 | User dependence | I depend upon ChatGPT. |
| L4 (dropped) | Recommendation intention | I will recommend ChatGPT to other students. |
References
- Singh, S. The Impact of Technology in Learning and Teaching: A Critical Review. J. Inf. Syst. Eng. Manag. 2025, 10, 777–795. [Google Scholar] [CrossRef]
- Carmo, J.E.S.; Lacerda, D.P.; Klingenberg, C.O.; Piran, F.A.S. Digital Transformation in the Management of Higher Education Institutions. Sustain. Futures 2025, 9, 100692. [Google Scholar] [CrossRef]
- Qolamani, K.I.B.; Mohammed, M.M. The Digital Revolution in Higher Education: Transforming Teaching and Learning. QALAMUNA J. Pendidik. Sos. Dan Agama 2023, 15, 837–846. [Google Scholar] [CrossRef]
- Wong, W.K.O. The Sudden Disruptive Rise of Generative Artificial Intelligence? An Evaluation of Their Impact on Higher Education and the Global Workplace. J. Open Innov. Technol. Mark. Complex. 2024, 10, 100278. [Google Scholar] [CrossRef]
- Dahri, N.A.; Yahaya, N.; Al-Rahmi, W.M.; Aldraiweesh, A.; Alturki, U.; Almutairy, S.; Shutaleva, A.; Soomro, R.B. Extended TAM Based Acceptance of AI-Powered ChatGPT for Supporting Metacognitive Self-Regulated Learning in Education: A Mixed-Methods Study. Heliyon 2024, 10, e29317. [Google Scholar] [CrossRef]
- Chiarello, F.; Giordano, V.; Spada, I.; Barandoni, S.; Fantoni, G. Future Applications of Generative Large Language Models: A Data-Driven Case Study on ChatGPT. Technovation 2024, 133, 103002. [Google Scholar] [CrossRef]
- Imran, M.; Almusharraf, N. Google Gemini as a next Generation AI Educational Tool: A Review of Emerging Educational Technology. Smart Learn. Environ. 2024, 11, 22. [Google Scholar] [CrossRef]
- Nikolic, S.; Sandison, C.; Haque, R.; Daniel, S.; Grundy, S.; Belkina, M.; Lyden, S.; Hassan, G.M.; Neal, P. ChatGPT, Copilot, Gemini, SciSpace and Wolfram versus Higher Education Assessments: An Updated Multi-Institutional Study of the Academic Integrity Impacts of Generative Artificial Intelligence (GenAI) on Assessment, Teaching and Learning in Engineering. Australas. J. Eng. Educ. 2024, 29, 126–153. [Google Scholar] [CrossRef]
- Fan, G.; Liu, D.; Zhang, R.; Pan, L. The Impact of AI-Assisted Pair Programming on Student Motivation, Programming Anxiety, Collaborative Learning, and Programming Performance: A Comparative Study with Traditional Pair Programming and Individual Approaches. Int. J. STEM Educ. 2025, 12, 16. [Google Scholar] [CrossRef]
- Dempere, J.; Modugu, K.; Hesham, A.; Ramasamy, L.K. The Impact of ChatGPT on Higher Education. Front. Educ. 2023, 8, 1206936. [Google Scholar] [CrossRef]
- Miah, A.S.M.; Tusher, M.M.R.; Hossain, M.M.; Hossain, M.M.; Rahim, M.A.; Hamid, M.E.; Islam, M.S.; Shin, J. ChatGPT in Research and Education: A SWOT Analysis of Its Academic Impact. CMES-Comput. Model. Eng. Sci. 2025, 143, 2573–2614. [Google Scholar] [CrossRef]
- Park, A.; Kim, T. Code Suggestions and Explanations in Programming Learning: Use of ChatGPT and Performance. Int. J. Manag. Educ. 2025, 23, 101119. [Google Scholar] [CrossRef]
- Pawar, M.r.S.D. ChatGPT: Revolutionizing Education Administration-A Case Study Analysis. Int. J. Res. Appl. Sci. Eng. Technol. 2023, 11, 4447–4454. [Google Scholar] [CrossRef]
- Holzmann, U.; Anand, S.; Payumo, A.Y. The ChatGPT Fact-Check: Exploiting the Limitations of Generative AI to Develop Evidence-Based Reasoning Skills in College Science Courses. Adv. Physiol. Educ. 2025, 49, 191–196. [Google Scholar] [CrossRef] [PubMed]
- Gerlich, M. AI Tools in Society: Impacts on Cognitive Offloading and the Future of Critical Thinking. Societies 2025, 15, 6. [Google Scholar] [CrossRef]
- Fajt, B.; Schiller, E. ChatGPT in Academia: University Students’ Attitudes Towards the Use of ChatGPT and Plagiarism. J. Acad. Ethics 2025, 23, 1363–1382. [Google Scholar] [CrossRef]
- Hasan, M.R.; Chowdhury, N.I.; Rahman, M.H.; Syed, M.A.B.; Ryu, J. Analysis of the User Perception of Chatbots in Education Using A Partial Least Squares Structural Equation Modeling Approach. arXiv 2023, arXiv:2311.03636. [Google Scholar] [CrossRef]
- Al-kfairy, M. Factors Impacting the Adoption and Acceptance of ChatGPT in Educational Settings: A Narrative Review of Empirical Studies. Appl. Syst. Innov. 2024, 7, 110. [Google Scholar] [CrossRef]
- Popovici, D.-M. ChatGPT in the Classroom. Exploring Its Potential and Limitations in a Functional Programming Course. Int. J. Hum.–Comput. Interact. 2024, 40, 7743–7754. [Google Scholar] [CrossRef]
- Sova, R.; Tudor, C.; Tartavulea, C.V.; Dieaconescu, R.I. Artificial Intelligence Tool Adoption in Higher Education: A Structural Equation Modeling Approach to Understanding Impact Factors among Economics Students. Electronics 2024, 13, 3632. [Google Scholar] [CrossRef]
- Xames, M.D.; Shefa, J. ChatGPT for Research and Publication: Opportunities and Challenges. J. Appl. Learn. Teach. 2023, 6, 390–395. [Google Scholar] [CrossRef]
- Ye, J.; Chen, X.; Xu, N.; Zu, C.; Shao, Z.; Liu, S.; Cui, Y.; Zhou, Z.; Gong, C.; Shen, Y.; et al. A Comprehensive Capability Analysis of GPT-3 and GPT-3.5 Series Models. arXiv 2023, arXiv:2303.10420. [Google Scholar] [CrossRef]
- Lai, V.D.; Ngo, N.T.; Ben Veyseh, A.P.; Man, H.; Dernoncourt, F.; Bui, T.; Nguyen, T.H. ChatGPT Beyond English: Towards a Comprehensive Evaluation of Large Language Models in Multilingual Learning. In Findings of the Association for Computational Linguistics: EMNLP 2023; Association for Computational Linguistics: Singapore, 2023; pp. 13171–13189. [Google Scholar]
- Bang, Y.; Cahyawijaya, S.; Lee, N.; Dai, W.; Su, D.; Wilie, B.; Lovenia, H.; Ji, Z.; Yu, T.; Chung, W.; et al. A Multitask, Multilingual, Multimodal Evaluation of ChatGPT on Reasoning, Hallucination, and Interactivity. In Proceedings of the 13th International Joint Conference on Natural Language Processing and the 3rd Conference of the Asia-Pacific Chapter of the Association for Computational Linguistics (Volume 1: Long Papers), Bali, Indonesia, 1–4 November 2023; Association for Computational Linguistics: Stroudsburg, PA, USA, 2023; Volume 1, pp. 675–718. [Google Scholar]
- Dwivedi, Y.K.; Kshetri, N.; Hughes, L.; Slade, E.L.; Jeyaraj, A.; Kar, A.K.; Baabdullah, A.M.; Koohang, A.; Raghavan, V.; Ahuja, M.; et al. “So What If ChatGPT Wrote It?” Multidisciplinary Perspectives on Opportunities, Challenges and Implications of Generative Conversational AI for Research, Practice and Policy. Int. J. Inf. Manag. 2023, 71, 102642. [Google Scholar] [CrossRef]
- Liu, Y.; Wang, H.; Park, Y. Behavioral Analysis of ChatGPT Users Based on the ABC Model: Focusing on a Socio-Technical Approach. Eur. Manag. J. 2025. [Google Scholar] [CrossRef]
- Rudolph, J.; Tan, S.; Tan, S. War of the Chatbots: Bard, Bing Chat, ChatGPT, Ernie and beyond. The New AI Gold Rush and Its Impact on Higher Education. J. Appl. Learn. Teach. 2023, 6, 364–389. [Google Scholar] [CrossRef]
- Liang, W.; Zhang, Y.; Wu, Z.; Lepp, H.; Ji, W.; Zhao, X.; Cao, H.; Liu, S.; He, S.; Huang, Z.; et al. Mapping the Increasing Use of LLMs in Scientific Papers. arXiv 2024, arXiv:2404.01268. [Google Scholar] [CrossRef]
- Khan, N.; Khan, Z.; Koubaa, A.; Khan, M.K.; Salleh, R. Global Insights and the Impact of Generative AI-ChatGPT on Multidisciplinary: A Systematic Review and Bibliometric Analysis. Connect. Sci. 2024, 36, 2353630. [Google Scholar] [CrossRef]
- Shahriar, S.; Lund, B.D.; Mannuru, N.R.; Arshad, M.A.; Hayawi, K.; Bevara, R.V.K.; Mannuru, A.; Batool, L. Putting GPT-4o to the Sword: A Comprehensive Evaluation of Language, Vision, Speech, and Multimodal Proficiency. Appl. Sci. 2024, 14, 7782. [Google Scholar] [CrossRef]
- Hu, M.; Eidex, Z.; Wang, S.; Safari, M.; Li, Q.; Yang, X. Benchmarking GPT-5 for Zero-Shot Multimodal Medical Reasoning in Radiology and Radiation Oncology. arXiv 2025, arXiv:2508.13192. [Google Scholar] [CrossRef]
- Diez, C.-P.; da Maia, L.; Nourdin, I. Mathematical Research with GPT-5: A Malliavin-Stein Experiment. arXiv 2025, arXiv:2509.03065. [Google Scholar] [CrossRef]
- Costa, C.J.; Aparicio, M.; Aparicio, S.; Aparicio, J.T. The Democratization of Artificial Intelligence: Theoretical Framework. Appl. Sci. 2024, 14, 8236. [Google Scholar] [CrossRef]
- Alghazo, R.; Fatima, G.; Malik, M.; Abdelhamid, S.E.; Jahanzaib, M.; Nayab, D.E.; Raza, A. Exploring ChatGPT’s Role in Higher Education: Perspectives from Pakistani University Students on Academic Integrity and Ethical Challenges. Educ. Sci. 2025, 15, 158. [Google Scholar] [CrossRef]
- McDonald, N.; Johri, A.; Ali, A.; Collier, A.H. Generative Artificial Intelligence in Higher Education: Evidence from an Analysis of Institutional Policies and Guidelines. Comput. Hum. Behav. Artif. Hum. 2025, 3, 100121. [Google Scholar] [CrossRef]
- Qadir, J. Engineering Education in the Era of ChatGPT: Promise and Pitfalls of Generative AI for Education. In Proceedings of the IEEE Global Engineering Education Conference, EDUCON, Salmiya, Kuwait, 1–4 May 2023; IEEE Computer Society: Washington, DC, USA, 2023. [Google Scholar]
- Naznin, K.; Al Mahmud, A.; Nguyen, M.T.; Chua, C. ChatGPT Integration in Higher Education for Personalized Learning, Academic Writing, and Coding Tasks: A Systematic Review. Computers 2025, 14, 53. [Google Scholar] [CrossRef]
- Mogavi, R.H.; Deng, C.; Juho Kim, J.; Zhou, P.; D Kwon, Y.; Hosny Saleh Metwally, A.; Tlili, A.; Bassanelli, S.; Bucchiarone, A.; Gujar, S.; et al. ChatGPT in Education: A Blessing or a Curse? A Qualitative Study Exploring Early Adopters’ Utilization and Perceptions. Comput. Hum. Behav. Artif. Hum. 2024, 2, 100027. [Google Scholar] [CrossRef]
- Lim, W.M.; Gunasekara, A.; Pallant, J.L.; Pallant, J.I.; Pechenkina, E. Generative AI and the Future of Education: Ragnarök or Reformation? A Paradoxical Perspective from Management Educators. Int. J. Manag. Educ. 2023, 21, 100790. [Google Scholar] [CrossRef]
- Zare, J.; Al-Issa, A.; Madiseh, F.R. Interacting with ChatGPT in Essay Writing: A Study of L2 Learners’ Task Motivation. ReCALL 2025, 37, 385–402. [Google Scholar] [CrossRef]
- Zhang, Z.; Dong, Z.; Shi, Y.; Price, T.; Matsuda, N.; Xu, D. Students’ Perceptions and Preferences of Generative Artificial Intelligence Feedback for Programming. Proc. AAAI Conf. Artif. Intell. 2024, 38, 23250–23258. [Google Scholar] [CrossRef]
- Baidoo-Anu, D.; Owusuansah, L. Education in the Era of Generative Artificial Intelligence (AI): Understanding the Potential Benefits of ChatGPT in Promoting Teaching and Learning. J. AI 2023, 7, 52–62. [Google Scholar] [CrossRef]
- Kim, J.; Lee, S.S.; Detrick, R.; Wang, J.; Li, N. Students-Generative AI Interaction Patterns and Its Impact on Academic Writing. J. Comput. High Educ. 2025, 1–22. [Google Scholar] [CrossRef]
- Lepp, M.; Kaimre, J. Does Generative AI Help in Learning Programming: Students’ Perceptions, Reported Use and Relation to Performance. Comput. Hum. Behav. Rep. 2025, 18, 100642. [Google Scholar] [CrossRef]
- Phokoye, S.P.; Dlamini, S.; Mthalane, P.P.; Luthuli, M.; Moyane, S.P. A Comprehensive Review of ChatGPT in Teaching and Learning Within Higher Education. Informatics 2025, 12, 74. [Google Scholar] [CrossRef]
- Schmidt, D.A.; Alboloushi, B.; Thomas, A.; Magalhaes, R. Integrating Artificial Intelligence in Higher Education: Perceptions, Challenges, and Strategies for Academic Innovation. Comput. Educ. Open 2025, 9, 100274. [Google Scholar] [CrossRef]
- Sa-ad, M.M.; Osafo-Apeanti, W.; Owusu-Boateng, O.; Seidu, S.A.; Majeed, M.; Bright-Benuwa, B. Automated Administrative Tasks in Education. In Deep Science Publishing; Deep Science Publishing: San Francisco, CA, USA, 2025; pp. 31–45. [Google Scholar]
- Alkaabi, A.; Abdallah, A.; Alblooshi, S.; Alomari, F.; Alneaimi, S. ChatGPT in Higher Education: Opportunities, Challenges, and Required Competencies in the Absence of Guiding Policies. J. Educ. Elearn Res. 2025, 12, 153–164. [Google Scholar] [CrossRef]
- Symeou, L.; Louca, L.; Kavadella, A.; Mackay, J.; Danidou, Y.; Raffay, V. Development of Evidence-Based Guidelines for the Integration of Generative AI in University Education Through a Multidisciplinary, Consensus-Based Approach. Eur. J. Dent. Educ. 2025, 29, 285–303. [Google Scholar] [CrossRef]
- Cotton, D.R.E.; Cotton, P.A.; Shipway, J.R. Chatting and Cheating: Ensuring Academic Integrity in the Era of ChatGPT. Innov. Educ. Teach. Int. 2024, 61, 228–239. [Google Scholar] [CrossRef]
- Munaye, Y.Y.; Admass, W.; Belayneh, Y.; Molla, A.; Asmare, M. ChatGPT in Education: A Systematic Review on Opportunities, Challenges, and Future Directions. Algorithms 2025, 18, 352. [Google Scholar] [CrossRef]
- Nematov, D. Progress, Challenges, Threats and Prospects of ChatGPT in Science and Education: How Will AI Impact the Academic Environment? J. Adv. Artif. Intell. 2025, 3, 187–205. [Google Scholar] [CrossRef]
- Zhai, C.; Wibowo, S.; Li, L.D. The Effects of Over-Reliance on AI Dialogue Systems on Students’ Cognitive Abilities: A Systematic Review. Smart Learn. Environ. 2024, 11, 28. [Google Scholar] [CrossRef]
- Foroughi, B.; Senali, M.G.; Iranmanesh, M.; Khanfar, A.; Ghobakhloo, M.; Annamalai, N.; Naghmeh-Abbaspour, B. Determinants of Intention to Use ChatGPT for Educational Purposes: Findings from PLS-SEM and FsQCA. Int. J. Hum. Comput. Interact. 2024, 40, 4501–4520. [Google Scholar] [CrossRef]
- Cao, Y.; Li, S.; Liu, Y.; Yan, Z.; Dai, Y.; Yu, P.S.; Sun, L. A Comprehensive Survey of AI-Generated Content (AIGC): A History of Generative AI from GAN to ChatGPT. arXiv 2023, arXiv:2303.04226. [Google Scholar] [CrossRef]
- Khalil, M.; Er, E. Will ChatGPT Get You Caught? Rethinking of Plagiarism Detection. In International Conference on Human-Computer Interaction; Springer Nature: Cham, Switzerland, 2023; pp. 475–487. [Google Scholar]
- Digital Education Council AI or Not AI: What Students Want—Global AI Student Survey 2024. 2024. Available online: https://www.digitaleducationcouncil.com/post/digital-education-council-global-ai-student-survey-2024 (accessed on 31 January 2025).
- Davis, F.D. Perceived Usefulness, Perceived Ease of Use, and User Acceptance of Information Technology. MIS Q. 1989, 13, 319. [Google Scholar] [CrossRef]
- Venkatesh, V.; Morris, M.G.; Davis, G.B.; Davis, F.D. User Acceptance of Information Technology: Toward a Unified View. MIS Q. 2003, 27, 425. [Google Scholar] [CrossRef]
- Venkatesh, V.; Thong, J.Y.; Xu, X. Consumer Acceptance and Use of Information Technology: Extending the Unified Theory of Acceptance and Use of Technology. MIS Q. 2012, 36, 157. [Google Scholar] [CrossRef]
- Bhattacherjee, A. Understanding Information Systems Continuance: An Expectation-Confirmation Model. MIS Q. 2001, 25, 351. [Google Scholar] [CrossRef]
- Almulla, M.A. Investigating Influencing Factors of Learning Satisfaction in AI ChatGPT for Research: University Students Perspective. Heliyon 2024, 10, e32220. [Google Scholar] [CrossRef]
- García-Alonso, E.M.; León-Mejía, A.C.; Sánchez-Cabrero, R.; Guzmán-Ordaz, R. Training and Technology Acceptance of ChatGPT in University Students of Social Sciences: A Netcoincidental Analysis. Behav. Sci. 2024, 14, 612. [Google Scholar] [CrossRef]
- Yu, C.; Yan, J.; Cai, N. ChatGPT in Higher Education: Factors Influencing ChatGPT User Satisfaction and Continued Use Intention. Front. Educ. 2024, 9, 1354929. [Google Scholar] [CrossRef]
- Shahzad, M.F.; Xu, S.; Javed, I. ChatGPT Awareness, Acceptance, and Adoption in Higher Education: The Role of Trust as a Cornerstone. Int. J. Educ. Technol. High. Educ. 2024, 21, 46. [Google Scholar] [CrossRef]
- Acosta-Enriquez, B.G.; Arbulú Ballesteros, M.A.; Huamaní Jordan, O.; López Roca, C.; Saavedra Tirado, K. Analysis of College Students’ Attitudes toward the Use of ChatGPT in Their Academic Activities: Effect of Intent to Use, Verification of Information and Responsible Use. BMC Psychol. 2024, 12, 255. [Google Scholar] [CrossRef]
- Strzelecki, A. Students’ Acceptance of ChatGPT in Higher Education: An Extended Unified Theory of Acceptance and Use of Technology. Innov. High. Educ. 2024, 49, 223–245. [Google Scholar] [CrossRef]
- Mehrvarz, M.; Salimi, G.; Abdoli, S.; McLaren, B.M. How Does Students’ Perception of ChatGPT Shape Online Learning Engagement and Performance? Comput. Educ. Artif. Intell. 2025, 9, 100459. [Google Scholar] [CrossRef]
- Baek, T.H.; Kim, M. Is ChatGPT Scary Good? How User Motivations Affect Creepiness and Trust in Generative Artificial Intelligence. Telemat. Inform. 2023, 83, 102030. [Google Scholar] [CrossRef]
- Niu, B.; Mvondo, G.F.N. I Am ChatGPT, the Ultimate AI Chatbot! Investigating the Determinants of Users’ Loyalty and Ethical Usage Concerns of ChatGPT. J. Retail. Consum. Serv. 2024, 76, 103562. [Google Scholar] [CrossRef]
- Tiwari, C.K.; Bhat, M.A.; Khan, S.T.; Subramaniam, R.; Khan, M.A.I. What Drives Students toward ChatGPT? An Investigation of the Factors Influencing Adoption and Usage of ChatGPT. Interact. Technol. Smart Educ. 2024, 21, 333–355. [Google Scholar] [CrossRef]
- Farhi, F.; Jeljeli, R.; Aburezeq, I.; Dweikat, F.F.; Al-shami, S.A.; Slamene, R. Analyzing the Students’ Views, Concerns, and Perceived Ethics about Chat GPT Usage. Comput. Educ. Artif. Intell. 2023, 5, 100180. [Google Scholar] [CrossRef]
- Lai, C.Y.; Cheung, K.Y.; Chan, C.S. Exploring the Role of Intrinsic Motivation in ChatGPT Adoption to Support Active Learning: An Extension of the Technology Acceptance Model. Comput. Educ. Artif. Intell. 2023, 5, 100178. [Google Scholar] [CrossRef]
- Sallam, M.; Salim, N.A.; Barakat, M.; Al-Mahzoum, K.; Al-Tammemi, A.B.; Malaeb, D.; Hallit, R.; Hallit, S. Assessing Health Students’ Attitudes and Usage of ChatGPT in Jordan: Validation Study. JMIR Med. Educ. 2023, 9, e482542023. [Google Scholar] [CrossRef]
- Biloš, A.; Budimir, B. Understanding the Adoption Dynamics of ChatGPT among Generation Z: Insights from a Modified UTAUT2 Model. J. Theor. Appl. Electron. Commer. Res. 2024, 19, 863–879. [Google Scholar] [CrossRef]
- Camilleri, M.A. Factors Affecting Performance Expectancy and Intentions to Use ChatGPT: Using SmartPLS to Advance an Information Technology Acceptance Framework. Technol. Forecast. Soc. Change 2024, 201, 123247. [Google Scholar] [CrossRef]
- Ngo, T.T.A.; Tran, T.T.; An, G.K.; Nguyen, P.T. ChatGPT for Educational Purposes: Investigating the Impact of Knowledge Management Factors on Student Satisfaction and Continuous Usage. IEEE Trans. Learn. Technol. 2024, 17, 1367–1378. [Google Scholar] [CrossRef]
- Sallam, M.; Elsayed, W.; Al-Shorbagy, M.; Barakat, M.; El Khatib, S.; Ghach, W.; Alwan, N.; Hallit, S.; Malaeb, D. ChatGPT Usage and Attitudes Are Driven by Perceptions of Usefulness, Ease of Use, Risks, and Psycho-Social Impact: A Study among University Students in the UAE. Front. Educ. 2024, 9, 1414758. [Google Scholar] [CrossRef]
- Menon, D.; Shilpa, K. “Chatting with ChatGPT”: Analyzing the Factors Influencing Users’ Intention to Use the Open AI’s ChatGPT Using the UTAUT Model. Heliyon 2023, 9, e20962. [Google Scholar] [CrossRef] [PubMed]
- Li, Y.; Lee, S.O. Navigating the Generative AI Travel Landscape: The Influence of ChatGPT on the Evolution from New Users to Loyal Adopters. Int. J. Contemp. Hosp. Manag. 2025, 37, 1421–1447. [Google Scholar] [CrossRef]
- Choudhury, A.; Shamszare, H. The Impact of Performance Expectancy, Workload, Risk, and Satisfaction on Trust in ChatGPT: Cross-Sectional Survey Analysis. JMIR Hum. Factors 2024, 11, e55399. [Google Scholar] [CrossRef]
- García Sánchez, O.V. Uso y Percepción de ChatGPT En La Educación Superior. Rev. Investig. Tecnol. Inf. 2023, 11, 98–107. [Google Scholar] [CrossRef]
- Mun, I.B.; Hwang, K.H. Understanding ChatGPT Continuous Usage Intention: The Role of Information Quality, Information Usefulness, and Source Trust. Inf. Dev. 2025, 41, 675–691. [Google Scholar] [CrossRef]
- Alshammari, S.H.; Babu, E. The Mediating Role of Satisfaction in the Relationship between Perceived Usefulness, Perceived Ease of Use and Students’ Behavioural Intention to Use ChatGPT. Sci. Rep. 2025, 15, 7169. [Google Scholar] [CrossRef]
- Gefen, D.; Straub, D.W. Consumer Trust in B2C E-Commerce and the Importance of Social Presence: Experiments in e-Products and e-Services. Omega 2004, 32, 407–424. [Google Scholar] [CrossRef]
- Moussawi, S.; Koufaris, M. Perceived Intelligence and Perceived Anthropomorphism of Personal Intelligent Agents: Scale Development and Validation. In Proceedings of the 52nd Hawaii International Conference on System Sciences, Maui, HI, USA, 8–11 January 2019; ISBN 9780998133126. [Google Scholar]
- Moussawi, S.; Koufaris, M.; Benbunan-Fich, R. How Perceptions of Intelligence and Anthropomorphism Affect Adoption of Personal Intelligent Agents. Electron. Mark. 2021, 31, 343–364. [Google Scholar] [CrossRef]
- Munnukka, J.; Talvitie-Lamberg, K.; Maity, D. Anthropomorphism and Social Presence in Human–Virtual Service Assistant Interactions: The Role of Dialog Length and Attitudes. Comput. Hum. Behav. 2022, 135, 107343. [Google Scholar] [CrossRef]
- Ashfaq, M.; Yun, J.; Yu, S.; Loureiro, S.M.C. I, Chatbot: Modeling the Determinants of Users’ Satisfaction and Continuance Intention of AI-Powered Service Agents. Telemat. Inform. 2020, 54, 101473. [Google Scholar] [CrossRef]
- Grassini, S.; Aasen, M.L.; Møgelvang, A. Understanding University Students’ Acceptance of ChatGPT: Insights from the UTAUT2 Model. Appl. Artif. Intell. 2024, 38, 2371168. [Google Scholar] [CrossRef]
- Lin, W.S.; Wang, C.H. Antecedences to Continued Intentions of Adopting E-Learning System in Blended Learning Instruction: A Contingency Framework Based on Models of Information System Success and Task-Technology Fit. Comput. Educ. 2012, 58, 88–99. [Google Scholar] [CrossRef]
- Cheng, Y.M. Extending the Expectation-Confirmation Model with Quality and Flow to Explore Nurses’ Continued Blended e-Learning Intention. Inf. Technol. People 2014, 27, 230–258. [Google Scholar] [CrossRef]
- Mohammadi, H. Investigating Users’ Perspectives on e-Learning: An Integration of TAM and IS Success Model. Comput. Hum. Behav. 2015, 45, 359–374. [Google Scholar] [CrossRef]
- Hair, J.; Black, W.; Anderson, R. Multivariate Data Analysis, 7th ed.; Prentice-Hall: Saddle River, NJ, USA, 2010. [Google Scholar]
- Aparicio, M.; Bacao, F.; Oliveira, T. Grit in the Path to E-Learning Success. Comput. Hum. Behav. 2017, 66, 388–399. [Google Scholar] [CrossRef]
- Shrestha, N. Factor Analysis as a Tool for Survey Analysis. Am. J. Appl. Math. Stat. 2021, 9, 4–11. [Google Scholar] [CrossRef]
- Sasongko, A.T.; Ekhsan, M.; Fatchan, M. Dataset on Technology Acceptance in E-Learning: A PLS-SEM Analysis Using Extended TAM among Undergraduate Students in Indonesia. Telemat. Inform. Rep. 2025, 18, 100192. [Google Scholar] [CrossRef]
- Fornell, C.; Larcker, D.F. Evaluating Structural Equation Models with Unobservable Variables and Measurements Error. J. Mark. Res. 1981, 18, 39–50. [Google Scholar] [CrossRef]
- Huang, C.-C.; Wang, Y.-M.; Wu, T.-W.; Wang, P.-A. An Empirical Analysis of the Antecedents and Performance Consequences of Using the Moodle Platform. Int. J. Inf. Educ. Technol. 2013, 3, 217–221. [Google Scholar] [CrossRef]
- Hu, L.T.; Bentler, P.M. Cutoff Criteria for Fit Indexes in Covariance Structure Analysis: Conventional Criteria versus New Alternatives. Struct. Equ. Model. 1999, 6, 1–55. [Google Scholar] [CrossRef]
- Schreiber, J.B.; Stage, F.K.; King, J.; Nora, A.; Barlow, E.A. Reporting Structural Equation Modeling and Confirmatory Factor Analysis Results: A Review. J. Educ. Res. 2006, 99, 323–338. [Google Scholar] [CrossRef]
- Alsabawy, A.Y.; Cater-Steel, A.; Soar, J. IT Infrastructure Services as a Requirement for E-Learning System Success. Comput. Educ. 2013, 69, 431–451. [Google Scholar] [CrossRef]
- Schermelleh-Engel, K.; Moosbrugger, H.; Müller, H. Evaluating the Fit of Structural Equation Models: Tests of Significance and Descriptive Goodness-of-Fit Measures. Methods Psychol. Res. Online 2003, 8, 23–74. [Google Scholar]
- Daʇhan, G.; Akkoyunlu, B. Modeling the Continuance Usage Intention of Online Learning Environments. Comput. Hum. Behav. 2016, 60, 198–211. [Google Scholar] [CrossRef]
- Gaskin, J.; Lim, J. Master Validity Tool, AMOS Plugin. Available online: http://statwiki.kolobkreations.com/index.php?title=Main_Page (accessed on 31 January 2025).
- Wu, J.H.; Tennyson, R.D.; Hsia, T.L. A Study of Student Satisfaction in a Blended E-Learning System Environment. Comput. Educ. 2010, 55, 155–164. [Google Scholar] [CrossRef]
- Shen, S.; Xu, K.; Sotiriadis, M.; Wang, Y. Exploring the Factors Influencing the Adoption and Usage of Augmented Reality and Virtual Reality Applications in Tourism Education within the Context of COVID-19 Pandemic. J. Hosp. Leis. Sport Tour. Educ. 2022, 30, 100373. [Google Scholar] [CrossRef]
- Oh, C.S.; Bailenson, J.N.; Welch, G.F. A Systematic Review of Social Presence: Definition, Antecedents, and Implications. Front. Robot. AI 2018, 5, 114. [Google Scholar] [CrossRef]
- Wang, H.; Lee, K. Getting in the Flow Together: The Role of Social Presence, Perceived Enjoyment and Concentration on Sustainable Use Intention of Mobile Social Network Game. Sustainability 2020, 12, 6853. [Google Scholar] [CrossRef]
- Rane, N.L. Multidisciplinary Collaboration: Key Players in Successful Implementation of ChatGPT and Similar Generative Artificial Intelligence in Manufacturing, Finance, Retail, Transportation, and Construction Industry 2023. Available online: https://osf.io/preprints/osf/npm3d_v1 (accessed on 31 January 2025).
- Cho, V.; Cheng, T.C.E.; Lai, W.M.J. The Role of Perceived User-Interface Design in Continued Usage Intention of Self-Paced e-Learning Tools. Comput. Educ. 2009, 53, 216–227. [Google Scholar] [CrossRef]



| Metrics | Question Sample | References |
|---|---|---|
| Usefulness Useful in education | I find ChatGPT useful for answering academic inquiries. ChatGPT is useful for studying. ChatGPT helps students to compose essays and write articles. I find ChatGPT useful in my learning. | [34,54,64,67,70,71,72,73,74,75,76,77,78] |
| Timeliness | Using ChatGPT addresses my academic inquiries more quickly. ChatGPT helps me save time when searching for information. ChatGPT responds to my questions in real time. ChatGPT saves me time in searching for materials. | [26,54,67,70,71,73,74,76,78,79,80] |
| Increased performance Goal achievement | I think that using ChatGPT has helped to improve my overall academic performance. Using ChatGPT increases your chances of achieving important things in your studies. Using ChatGPT would improve my learning performance. Using ChatGPT increases my knowledge and helps me to be successful in my studies. | [54,67,73,74,76,78,79] |
| Learning effectiveness Quality of learning | Using ChatGPT to address my academic inquiries would enhance my learning effectiveness. ChatGPT adds value to my learning process. I perceive ChatGPT as a beneficial tool for my educational development. ChatGPT is a very effective educational tool and helps me to improve my learning process. | [5,54,64,65,69,71,72,73] |
| Efficiency | I appreciate the convenience and efficiency that ChatGPT provides for my university assignments and duties. Using ChatGPT helps you get tasks and projects done faster in your studies. ChatGPT enhances the efficiency of my research tasks. Using ChatGPT allows me to accomplish learning tasks more quickly. | [26,34,54,62,64,67,69,74,75,78,79,81] |
| Self-confidence | ChatGPT instills confidence in me when making decisions through interaction. | [26] |
| Metrics | Question Sample | References |
|---|---|---|
| Ease of learning how to use | Learning how to use ChatGPT is easy for me. Had no difficulty understanding how to get around it. It does not take a long time to learn how to use ChatGPT. | [26,54,67,73,74,75,78] |
| Easy to use Easy to master | I find ChatGPT easy to address academic inquiries. I find it easy for me to become skillful at asking ChatGPT to address my academic inquiries. I find it simple to navigate and use AI ChatGPT in my research activities. Learning to use AI ChatGPT for research is simple. I find ChatGPT easy to use for my learning. | [34,54,62,65,67,71,73,74,75,76,78,79] |
| Less mental effort | Without much mental effort. Uncomplicated and less mental effort. | [26,71] |
| Interaction ease | I find it easy to get ChatGPT to do what I want it to do. Interacting with AI ChatGPT for research purposes is easy for me. ChatGPT interacts with me in a clear and understandable manner. My interaction with ChatGPT is clear and simple. | [54,62,64,67,71,75,76] |
| Metrics | Question Sample | References |
|---|---|---|
| Joy | ChatGPT provides a seamless and enjoyable user experience in my research activities. I enjoy using ChatGPT for metacognitive self-regulated learning. Interacting with ChatGPT makes my learning experience more enjoyable. Using ChatGPT in my studies is enjoyable. | [5,26,54,62,67,69,71,73,75] |
| Pleasure | The actual process of using ChatGPT was pleasant. The interactions with AI ChatGPT are pleasant and user-friendly. I derive pleasure from utilizing ChatGPT in my learning activities. | [5,62,73] |
| Fun | I had fun using ChatGPT. Conversations with ChatGPT can be fun. Using ChatGPT is fun. I use ChatGPT because it is fun for me. Using ChatGPT in my studies is fun. | [26,54,67,69,71,73,74,75,78] |
| Interest | Using ChatGPT to address my academic inquiries is interesting. | [73] |
| Enthusiasm | I am enthusiastic about using technology such as ChatGPT for learning and research. | [74,78] |
| Metrics | Question Sample | References |
|---|---|---|
| Anthropomorphism Perceived human likeliness Perceived emotional touch | ChatGPT conveyed a sense of empathy or understanding similar to humans. Act like a human being. Has its own emotions. Seems very considerate. ChatGPT has a human touch. Sense of human sensitivity. Seems to have a self. | [26,65,71,79,80] |
| Perceived human interaction | The interaction with ChatGPT created an emotional connection similar to that with a human. The conversations with ChatGPT evoked a sense of familiarity similar to interacting with a human. Competence of ChatGPT to interact like human beings. Feeling accompanied by an intelligent being. | [26,71,79,80] |
| Perceived AI interaction Perceived intelligence | ChatGPT is quite intelligent. A feeling of communicating with an intelligent agent. I believe ChatGPT demonstrates a high level of intelligence in assisting with my learning. I believe ChatGPT is intelligent, like a teacher in the classroom. | [5,71,79] |
| Metrics | Question Sample | References |
|---|---|---|
| Overall satisfaction | I am satisfied with ChatGPT. My experience of using ChatGPT was very satisfying. I am satisfied with my experiences with ChatGPT. I am satisfied with ChatGPT’s performance. | [26,64,70,77,81] |
| Content Sufficiency | Satisfied with the quality and quantity of responses. I am satisfied with the accuracy of the responses provided by ChatGPT. | [79,82] |
| Responsiveness | Satisfaction with the response time. | [79] |
| Personalized interaction | Satisfied with the personalized interactions from ChatGPT. | [79] |
| Education adequacy | ChatGPT satisfies my educational needs. | [64] |
| Metrics | Question Sample | References |
|---|---|---|
| Information reliability Source trust Trustworthy | ChatGPT provides accurate and reliable information. The information provided by ChatGPT is trustworthy. For me, ChatGPT is a reliable source of accurate information. I trust ChatGPT to provide reliable and accurate information for my learning. I believe ChatGPT is a trustworthy tool for enhancing my learning experiences. | [5,54,69,70,71,74,76,78,79,80,81,83] |
| Emotional attachment | ChatGPT makes me feel like family. | [26] |
| Security and privacy | ChatGPT is secure. I trust that all activities I do on ChatGPT will be confidential and secure. I feel that ChatGPT would maintain the privacy of my private data. ChatGPT is secure and protects my privacy and confidential information. | [65,70,71,74,78,79,81] |
| Academic ethical policies | I am concerned that using ChatGPT would get me accused of plagiarism. I am afraid that the use of ChatGPT would be a violation of academic and university policies. It is unethical for students to depend on the ChatGPT tool to write their assignments. I refrain from writing the text for assignments to avoid ethical dilemmas. Developing ethical guidelines for using ChatGPT is the institution’s liability. | [72,74,78] |
| Metrics | Question Sample | References |
|---|---|---|
| Habit formation | I consistently use AI ChatGPT in various aspects of my research. AI ChatGPT is a significant factor in my research efforts. I utilize AI ChatGPT as a primary tool for conducting research. The use of ChatGPT has become a habit for me. Using ChatGPT has become natural for me. | [26,62,67,75] |
| Dependence | Seeking information on ChatGPT is one of my main daily activities. I am addicted to using ChatGPT. I am worried about the dependency on ChatGPT for educational purposes. I have a high dependence on the use of ChatGPT for my academic activities. I am a regular user of ChatGPT. | [67,70,71,72,75,82] |
| Continuance intention | I plan to continue to use ChatGPT to address my academic inquiries frequently. In the next weeks, I intend to use ChatGPT to address my academic inquiries. My intention is to regularly use ChatGPT as a valuable learning tool. I intend to use ChatGPT in my studies in the future. I plan to use ChatGPT in my studies in the future. | [5,26,54,64,65,67,69,70,71,73,75,76,77,83] |
| Recommendation | I will strongly recommend others to use ChatGPT. I recommend ChatGPT to my colleagues to facilitate their academic duties. I intend to recommend ChatGPT to my friends. I recommend the use of ChatGPT to other students for their academic activities. | [64,70,74,78,80,82,83] |
| Commitment | I will always try to use ChatGPT in my studies. I am determined to incorporate ChatGPT into my learning routines. | [5,67] |
| Hypothesis | Direct Effect Magnitude |
|---|---|
| PU | Captures the degree to which a student believes that using ChatGPT will help him improve his academic performance. |
| PSP-H | Measures the student’s perception that ChatGPT provides personal and sensitive human contact. |
| PSP-AI | Measures the student’s perception that ChatGPT provides impersonal contact. |
| HM | Measures the student’s perception of the enjoyment derived from using ChatGPT. |
| S | Captures the student’s evaluative effect when interacting with ChatGPT. |
| T | Measures the student’s perception of engaging with a trustworthy, secure, and confidential AI tool. |
| L | Measures the strength of the student’s commitment to using ChatGPT in the future. |
| Const. | Item | Stand. Loading | CR | AVE | MSV | MaxR(H) | CA ** | Inter-Construct Correlations and the Square Root of AVE | |||
|---|---|---|---|---|---|---|---|---|---|---|---|
| HM | PU | PSP | |||||||||
| AI | H | ||||||||||
| HM | HM1 | 0.898 | 0.842 | 0.578 | 0.434 | 0.888 | 0.812 | 0.760 | |||
| HM2 | 0.839 | ||||||||||
| HM3 | 0.683 | ||||||||||
| HM4 | 0.576 | ||||||||||
| PU | PU1 | 0.743 | 0.847 | 0.583 | 0.434 | 0.858 | 0.844 | 0.659 * | 0.763 | ||
| PU2 | 0.838 | ||||||||||
| PU3 | 0.786 | ||||||||||
| PU4 | 0.677 | ||||||||||
| PSP-AI | PSP1 | 0.872 | 0.893 | 0.806 | 0.265 | 0.899 | 0.892 | 0.514 * | 0.468 * | 0.898 | |
| PSP2 | 0.923 | ||||||||||
| PSP-H | PSP3 | 0.895 | 0.808 | 0.679 | 0.212 | 0.841 | 0.798 | 0.270 * | 0.273 * | 0.461 * | 0.824 |
| PSP4 | 0.747 | ||||||||||
| Model | Absolute Fit Indices | Incremental Fit Indices | ||||||||
|---|---|---|---|---|---|---|---|---|---|---|
| The threshold for excellent fit * | ꭓ2/df | RMSEA | PClose | GFI | AGFI | S-RMR | NFI | IFI | TLI | CFI |
| 1 < ꭓ2/df < 3 | <0.06 | >0.05 | >0.9 | >0.8 | <0.08 | >0.9 | >0.9 | >0.9 | >0.95 | |
| Computed value | 2193 | 0.050 | 0.476 | 0.967 | 0.943 | 0.040 | 0.966 | 0.981 | 0.972 | 0.981 |
| Model | Absolute Fit Indices | Incremental Fit Indices | ||||||||
|---|---|---|---|---|---|---|---|---|---|---|
| The threshold for excellent fit * | ꭓ2/df | RMSEA | PClose | GFI | AGFI | S-RMR | NFI | IFI | TLI | CFI |
| 1 < ꭓ2/df < 3 | <0.06 | >0.05 | >0.9 | >0.8 | <0.08 | >0.9 | >0.9 | >0.9 | >0.95 | |
| Computed value | 2.209 | 0.050 | 0.444 | 0.912 | 0.889 | 0.045 | 0.925 | 0.957 | 0.950 | 0.957 |
| Construct /Effect | Perceived Ease of Use (PEOU) | Satisfaction (S) | Trust (T) | Loyalty (L) | ||||||||
|---|---|---|---|---|---|---|---|---|---|---|---|---|
| DE | IE | TE | DE | IE | TE | DE | IE | TE | DE | IE | TE | |
| PSP-H | 0.000 | 0.000 | 0.000 | 0.000 | 0.000 | 0.000 | 0.092 | 0.000 | 0.092 | 0.000 | 0.016 | 0.016 |
| PSP-AI | 0.290 | 0.000 | 0.290 | 0.000 | 0.162 | 0.162 | 0.000 | 0.132 | 0.132 | 0.000 | 0.023 | 0.023 |
| PU | 0.000 | 0.000 | 0.000 | 0.458 | 0.000 | 0.458 | 0.000 | 0.374 | 0.374 | 0.502 | 0.066 | 0.568 |
| HM | 0.675 | 0.000 | 0.675 | 0.000 | 0.377 | 0.377 | 0.000 | 0.308 | 0.308 | 0.000 | 0.055 | 0.055 |
| PEOU | 0.000 | 0.000 | 0.000 | 0.558 | 0.000 | 0.558 | 0.000 | 0.456 | 0.456 | 0.000 | 0.081 | 0.081 |
| S | 0.000 | 0.000 | 0.000 | 0.000 | 0.000 | 0.000 | 0.816 | 0.000 | 0.816 | 0.000 | 0.145 | 0.145 |
| T | 0.000 | 0.000 | 0.000 | 0.000 | 0.000 | 0.000 | 0.000 | 0.000 | 0.000 | 0.178 | 0.000 | 0.178 |
| L | 0.000 | 0.000 | 0.000 | 0.000 | 0.000 | 0.000 | 0.000 | 0.000 | 0.000 | 0.000 | 0.000 | 0.000 |
| Hypothesis | Path | Significance | Status |
|---|---|---|---|
| H1 | HM→PEOU | *** | Supported with a large effect |
| H2 | PSP-AI→PEOU | *** | Supported with a medium effect |
| H3 | PEOU→S | *** | Supported with a large effect |
| H4 | PU→S | *** | Supported with a large effect |
| H5 | PSP-H→T | ** | Supported with a small effect |
| H6 | S→T | *** | Supported with a large effect |
| H7 | T→L | ** | Supported with a medium effect |
| H8 | PU→L | *** | Supported with a large effect |
Disclaimer/Publisher’s Note: The statements, opinions and data contained in all publications are solely those of the individual author(s) and contributor(s) and not of MDPI and/or the editor(s). MDPI and/or the editor(s) disclaim responsibility for any injury to people or property resulting from any ideas, methods, instructions or products referred to in the content. |
© 2025 by the authors. Licensee MDPI, Basel, Switzerland. This article is an open access article distributed under the terms and conditions of the Creative Commons Attribution (CC BY) license (https://creativecommons.org/licenses/by/4.0/).
Share and Cite
Dorobăț, I.; Corbea, A.M.I. Assessing ChatGPT Adoption in Higher Education: An Empirical Analysis. Electronics 2025, 14, 4739. https://doi.org/10.3390/electronics14234739
Dorobăț I, Corbea AMI. Assessing ChatGPT Adoption in Higher Education: An Empirical Analysis. Electronics. 2025; 14(23):4739. https://doi.org/10.3390/electronics14234739
Chicago/Turabian StyleDorobăț, Iuliana, and Alexandra Maria Ioana Corbea (Florea). 2025. "Assessing ChatGPT Adoption in Higher Education: An Empirical Analysis" Electronics 14, no. 23: 4739. https://doi.org/10.3390/electronics14234739
APA StyleDorobăț, I., & Corbea, A. M. I. (2025). Assessing ChatGPT Adoption in Higher Education: An Empirical Analysis. Electronics, 14(23), 4739. https://doi.org/10.3390/electronics14234739

