Fundamentals of Metal Contact to p-Type GaN—A New Multilayer Energy-Saving Design
Abstract
1. Introduction
2. The Model
3. Calculation Procedure
4. The Calculation Results
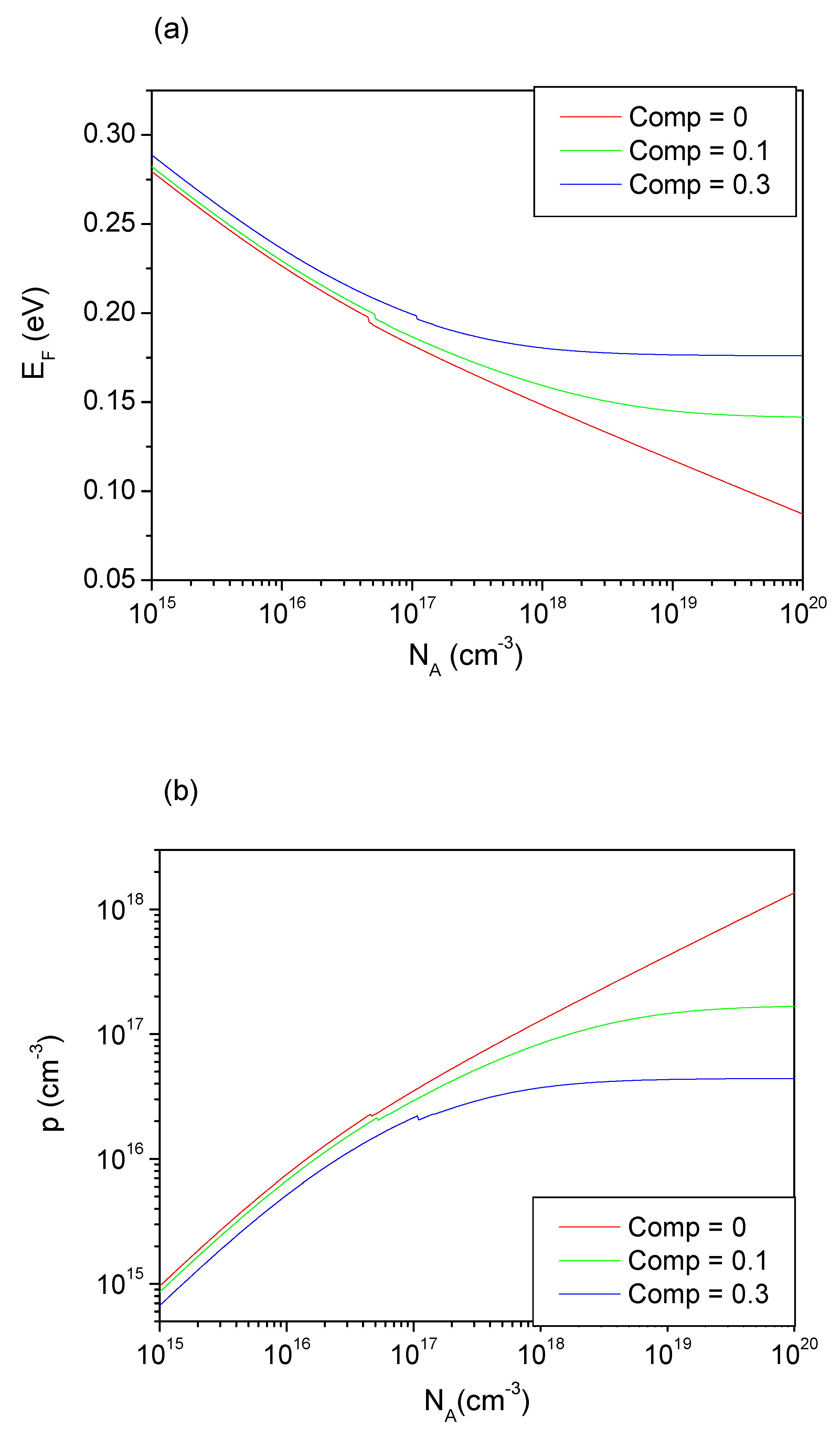
4.1. Doping in the GaN Bulk
4.2. Ab Initio Data
4.3. Heterojunction Potential Profiles
4.4. Tunneling Path—Doping in the Potential Well
| i/VGa | |
| ii/Ni | |
| iii/Mn | |
| iv/C | |
| v/Hg | |
| vi/Cd | |
| vii/Be | 
5. Summary
- (i)
 - Any contact to p-type GaN has a high resistance, which seriously hampers the development of devices.
 - (ii)
 - The best contact is the deposited Ni/Au double layer, formed by short-time formation in an oxygen atmosphere at temperatures above .
 - (iii)
 - The formation leads to the diffusion of Ni across the Au layer to create NiO.
 - (iv)
 - The influence of the contact formation on the semiconductor part is not known.
 
- (i)
 - Metal-p-type GaN contacts lead to the transfer of electrons from the metal to the semiconductor part, the creation of a dipole layer, and the equalisation of the Fermi level in the system.
 - (ii)
 - Ab initio investigation of the Au–GaN heterostructure band diagram confirmed electron transfer from Au to p-type GaN.
 - (iii)
 - The potential profile obtained from ab initio investigation of the Au–GaN heterostructure indicates that the depth of the potential well is higher than 2 V,
 - (iv)
 - The thickness of the potential well decreases rapidly for higher concentrations of Mg acceptors; for a concentration density it could be estimated to be ,
 - (v)
 - The thickness of the potential well does not depend on donor compensation up to a relatively high (30%) compensation level.
 - (vi)
 - The thermal annealing of the Ni/Au contact leads to the outdiffusion of Ga and influx of Ni, thus creating defects and Ni that provide quantum states necessary for electron tunneling, the main mechanism of hole influx into p-type GaN.
 - (vii)
 - The multilayer contact structure, created by the controlled implantation of a well-defined set of deep acceptors, could create an effective tunneling path, which is necessary for low-resistance contact.
 
- (i)
 - The semiconductor part of the metal-p-type GaN Ni/Au contact structure was elucidated.
 - (ii)
 - Electron transfer from the metal to p-type GaN is an essential part of the Au–GaN contact, as confirmed by ab initio calculations.
 - (iii)
 - The dependence of the potential well width on the acceptor doping level was established.
 - (iv)
 - Compensation (up to 30%) plays negligible role in the contact properties.
 - (v)
 - The design of a new, possibly low-resistance multilayer contact for p-type GaN was proposed.
 
Author Contributions
Funding
Data Availability Statement
Acknowledgments
Conflicts of Interest
References
- Akasaki, I.; Amano, H.; Nakamura, S. Nobel Prize 2014. Available online: https://www.nobelprize.org/prizes/physics/2014/summary/ (accessed on 14 August 2025).
 - Nakamura, S.; Fasol, G.; Pearton, J.S. The Blue Laser Diode: The Complete Story; Springer: Berlin/Heidelberg, Germany, 2000. [Google Scholar]
 - Litwin-Staszewska, E.; Piotrzkowski, R.; Dmowski, L.; Prystawko, P.; Czernecki, R.; Konczewicz, L. Kinetics of low-temperature activation of acceptors in magnesium-doped gallium nitride epilayers grown by metal-organic vapor-phase epitaxy. J. Appl. Phys. 2006, 99, 033703. [Google Scholar] [CrossRef]
 - Simon, J.; Protasenko, V.; Lian, C.; Xing, H.; Jena, D. Polarization-induced hole doping in wide–band-gap uniaxial semiconductor heterostructures. Science 2010, 327, 60. [Google Scholar] [CrossRef] [PubMed]
 - Ahmad, A.; Strak, P.; Kempisty, P.; Sakowski, K.; Piechota, J.; Kangawa, Y.; Grzegory, I.; Leszczynski, M.; Zytkiewicz, Z.R.; Muziol, G.; et al. Polarization doping—Ab initio verification of the concept: Charge conservation and nonlocality. J. Appl. Phys. 2022, 132, 064301. [Google Scholar] [CrossRef]
 - Sato, K.; Yamada, K.; Sakowski, K.; Iwaya, M.; Takeuchi, T.; Kamiyama, S.; Kangawa, Y.; Kempisty, P.; Krukowski, S.; Piechota, J.; et al. Effects of Mg dopant in Al-composition-graded AlxGa1−xN (0.45 ≤ x) on vertical electrical conductivity of ultrawide bandgap AlGaN p–n junction. Appl. Phys. Express 2021, 14, 096503. [Google Scholar] [CrossRef]
 - Aktas, M.; Grzanka, S.; Marona, Ł.; Goss, J.; Staszczak, G.; Kafar, A.; Perlin, P. Polarization-Doped InGaN LEDs and Laser Diodes for Broad Temperature Range Operation. Materials 2024, 17, 4502. [Google Scholar] [CrossRef]
 - CRC Handbook on Chemistry and Physics; CRC Press: Boca Raton, FL, USA, 2008; pp. 12–24.
 - Chen, L.-C.; Chen, F.-R.; Kai, J.-J.; Chang, L.; Ho, J.-K.; Jong, C.-S.; Chiu, C.C.; Huang, C.-N.; Chen, C.-Y.; Shih, K.-K. Microstructural investigation of oxidized Ni/Au ohmic contact to p-type GaN. J. Appl. Phys. 1999, 86, 3826–3832. [Google Scholar] [CrossRef]
 - Smalc-Koziorowska, J.; Grzanka, S.; Litwin-Staszewska, E.; Piotrzkowski, R.; Nowak, G.; Leszczynski, M.; Perlin, P.; Talik, E.; Kozubowski, J.; Krukowski, S. Ni-Au contacts to p-type GaB—Structure and properties. Solid-State Electron. 2010, 54, 701–709. [Google Scholar] [CrossRef]
 - Greco, G.; Prystawko, P.; Leszczyński, M.; Nigro, R.L.; Raineri, V.; Roccaforte, F. Electro-structural evolution and Schottky barrier height in annealed Au/Ni contacts onto p-GaN. J. Appl. Phys. 2011, 110, 123703. [Google Scholar] [CrossRef]
 - Jang, J.-S.; Chang, I.-S.; Kim, H.-K.; Seong, T.-Y.; Lee, S.; Park, S.-J. Low-resistance Pt/Ni/Au ohmic contact to p-type GaN. Appl. Phys. Lett. 1999, 74, 70–72. [Google Scholar] [CrossRef]
 - Zhou, L.; Lanford, W.; Ping, A.T.; Adesida, I.; Yang, J.W.; Khan, A. Low resistance Ti/Pt/Au ohmic contact to p-type GaN. Appl. Phys. Lett. 2000, 76, 3451–3453. [Google Scholar] [CrossRef]
 - Kim, J.K.; Lee, J.-L.; Lee, J.W.; Shin, H.E.; Park, Y.J.; Kim, T. Low resistance Pd/Au ohmic contacts to p-type GaN using surface treatment. Appl. Phys. Lett. 1998, 73, 2953–2955. [Google Scholar] [CrossRef]
 - Strak, P.; Kempisty, P.; Sakowski, K.; Krukowski, S. Ab initio determination of electron affinity of polar nitride surfaces, clean and under Cs coverage. J. Vac. Sci. Technol. A 2017, 35, 021406. [Google Scholar] [CrossRef]
 - Koide, Y.; Maeda, T.; Kawakami, T.; Fujita, S.; Uemura, T.; Shibata, N.; Murakami, M. Effects of annealing in an oxygen ambient on electrical properties of ohmic contacts to p-type GaN. J. Electron. Mater. 1999, 28, 341–346. [Google Scholar] [CrossRef]
 - Chen, L.-C.; Ho, J.-K.; Jong, C.-S.; Chiu, C.-C.; Shih, K.-K.; Chen, F.-R.; Chang, L. Oxidized Ni/Pt and Ni/Au ohmic contacts to p-type GaN. Appl. Phys. Lett. 2000, 76, 3703–3706. [Google Scholar] [CrossRef]
 - Maeda, T.; Koide, Y.; Murakami, M. Effects of NiO on electrical properties of NiAu-based ohmic contacts for p-type GaN. Appl. Phys. Lett. 1999, 75, 4145–4147. [Google Scholar] [CrossRef]
 - Wang, J.; Hu, J.; Guan, C.; Fang, S.; Wang, Z.; Wang, G.; Xu, K.; Lv, T.; Wang, X.; Shi, J.; et al. Low-resistance Ohmic contact for GaN-based laser diodes. J. Semicond. 2024, 45, 122502. [Google Scholar] [CrossRef]
 - Morkoc, H. Metal Contact to GaN and Processing. In Handbook of Nitride Semiconductors and Devices; Electronic and Optical Processes in Nitrides; Wiley-VCH: Weinheim, Germany, 2008; Volume 2, pp. 1–121. [Google Scholar]
 - Franciosi, A.; Van de Walle, C.G. Heterojunction band offset engineering. Surf. Sci. Rep. 1996, 25, 1–140. [Google Scholar] [CrossRef]
 - Kim, D.; Moon, S.-Y.; Bae, S.-B.; Kwak, H.-T.; Park, H.; Lee, H.-S. Enhanced p-type GaN Ohmic contacts through strategic metal schemes and annealing. Appl. Phys. Lett. 2025, 126, 122108. [Google Scholar] [CrossRef]
 - Kumar, M.; Xu, L.; Labau, T.; Biscarrat, J.; Torrengo, S.; Charles, M.; Lecouvey, C.; Olivier, A.; Zgheib, J.; Escoffier, R.; et al. Effect of p-InGaN Cap Layer on Low-Resistance Contact to p-GaN: Carrier Transport Mechanism and Barrier Height Characteristics. Crystals 2025, 15, 56. [Google Scholar] [CrossRef]
 - Dub, M.; Sai, P.; Przewłoka, A.; Krajewska, A.; Sakowicz, M.; Prystawko, P.; Kacperski, J.; Pasternak, I.; Cywiński, G.; But, D.; et al. Graphene as a Schottky Barrier Contact to AlGaN/GaN Heterostructures. Materials 2020, 13, 4140. [Google Scholar] [CrossRef]
 - Eller, B.S.; Yang, J.; Nemanich, R.J. Electronic surface and interface states on GaN and AlGaN. J. Vac. Sci. Technol. A 2013, 31, 050807. [Google Scholar] [CrossRef]
 - Mönch, W. Semiconductor Surfaces and Interfaces; Springer: Berlin/Heidelberg, Germany, 1993. [Google Scholar]
 - Meneghini, M.; De Santi, C.; Abid, I.; Buffolo, M.; Cioni, M.; Khadar, R.A.; Nela, L.; Zagni, N.; Chini, A.; Medjdoub, F.; et al. GaN-based power devices: Physics, reliability, and perspectives. J. Appl. Phys. 2021, 130, 181101. [Google Scholar] [CrossRef]
 - Van de Walle, C.G.; Neugebauer, J. First-principles calculations for defects and impurities: Applications to III-nitrides. J. Appl. Phys. 2004, 95, 3851–3879. [Google Scholar] [CrossRef]
 - Rychetsky, M.; Koslow, I.L.; Wernicke, T.; Rass, J.; Hoffmann, V.; Weyers, M.; Kneissl, M. Impact of acceptor concentration on resistivity of Ni/Au p-contacts on semipolar (20–21) GaN:Mg. Phys. Status Solidi (B) 2016, 253, 169–173. [Google Scholar] [CrossRef]
 - Odani, T.; Iso, K.; Oshima, Y.; Ikeda, H.; Mochizuki, T.; Izumisawa, S. Realization of High-Resistive Ni-doped GaN Crystal by Hydride Vapor Phase Epitaxy. Phys. Status Solidi (B) 2024, 261, 2300584. [Google Scholar] [CrossRef]
 - García, A.; Papior, N.; Akhtar, A.; Artacho, E.; Blum, V.; Bosoni, E.; Brandimarte, P.; Brandbyge, M.; Cerdá, J.I.; Corsetti, F.; et al. Siesta: Recent developments and applications. J. Chem. Phys. 2020, 152, 204108. [Google Scholar] [CrossRef] [PubMed]
 - Junquera, J.; Paz, Ó.; Sánchez-Portal, D.; Artacho, E. Numerical atomic orbitals for linear-scaling calculations. Phys. Rev. B 2001, 64, 235111. [Google Scholar] [CrossRef]
 - Anglada, E.; Soler, J.M.; Junquera, J.; Artacho, E. Systematic generation of finite-range atomic basis sets for linear-scaling calculations. Phys. Rev. B 2002, 66, 205101. [Google Scholar] [CrossRef]
 - Coquet, R.; Hutchings, G.J.; Taylor, S.H.; Willock, D.J. Calculations on the adsorption of Au to MgO surfaces using SIESTA. J. Mater. Chem. 2006, 16, 1978–1988. [Google Scholar] [CrossRef]
 - Gurtubay, I.; Pitarke, J.; Campillo, I.; Rubio, A. Dynamic structure factor of gold. Comput. Mater. Sci. 2001, 22, 123–128. [Google Scholar] [CrossRef]
 - Troullier, N.; Martins, J.L. Efficient pseudopotentials for plane-wave calculations. Phys. Rev. B 1991, 43, 1993–2006. [Google Scholar] [CrossRef]
 - Troullier, N.; Martins, J.L. Efficient pseudopotentials for plane-wave calculations. II. Operators for fast iterative diagonalization. Phys. Rev. B 1991, 43, 8861–8869. [Google Scholar] [CrossRef]
 - Monkhorst, H.J.; Pack, J.D. Special points for Brillouin-zone integrations. Phys. Rev. B 1976, 13, 5188–5192. [Google Scholar] [CrossRef]
 - Pedroza, L.S.; da Silva, A.J.R.; Capelle, K. Gradient-dependent density functionals of the Perdew-Burke-Ernzerhof type for atoms, molecules, and solids. Phys. Rev. B 2009, 79, 201106. [Google Scholar] [CrossRef]
 - Odashima, M.M.; Capelle, K.; Trickey, S.B. Tightened Lieb−Oxford Bound for Systems of Fixed Particle Number. J. Chem. Theory Comput. 2009, 5, 798–807. [Google Scholar] [CrossRef] [PubMed]
 - Leszczynski, M.; Teisseyre, H.; Suski, T.; Grzegory, I.; Bockowski, M.; Jun, J.; Porowski, S.; Pakula, K.; Baranowski, J.M.; Foxon, C.T.; et al. Lattice parameters of gallium nitride. Appl. Phys. Lett. 1996, 69, 73–75. [Google Scholar] [CrossRef]
 - Dutta, B.N.; Dayal, B. Lattice constants and thermal expansion of gold up to 878° by X-ray method. Phys. Status Solidi (B) 1963, 3, 473–477. [Google Scholar] [CrossRef]
 - Ferreira, L.G.; Marques, M.; Teles, L.K. Approximation to density functional theory for the calculation of band gaps of semiconductors. Phys. Rev. B 2008, 78, 125116. [Google Scholar] [CrossRef]
 - Ribeiro, M.; Fonseca, L.R.C.; Ferreira, L.G. Accurate prediction of the Si/SiO2 interface band offset using the self-consistent ab initio DFT/LDA-1/2 method. Phys. Rev. B 2009, 79, 241312. [Google Scholar] [CrossRef]
 - Monemar, B.; Bergman, J.; Buyanova, I.; Amano, H.; Akasaki, I.; Detchprohm, T.; Hiramatsu, K.; Sawaki, N. The excitonic bandgap of GaN: Dependence on substrate. Solid-State Electron. 1997, 41, 239–241. [Google Scholar] [CrossRef]
 - Yeo, Y.C.; Chong, T.C.; Li, M.F. Electronic band structures and effective-mass parameters of wurtzite GaN and InN. J. Appl. Phys. 1998, 83, 1429–1436. [Google Scholar] [CrossRef]
 - Stampfl, C.; Van de Walle, C.G. Density-functional calculations for III-V nitrides using local-density approximation and generalized gradient approximation. Phys. Rev. B 1999, 59, 5521–5535. [Google Scholar] [CrossRef]
 - Wagner, J.-M.; Bechstedt, F. Properties of strained wurtzite GaN and AlN; Ab initio studies. Phys. Rev. B 2002, 66, 115202. [Google Scholar] [CrossRef]
 - Strak, P.; Kempisty, P.; Ptasinska, M.; Krukowski, S. Principal physical properties of GaN/AlN multiquantum well (MQW) systems determined by density functional theory (DFT) calculations. J. Appl. Phys. 2013, 113, 193706. [Google Scholar] [CrossRef]
 - Patel, V.K. Lattice Constants, Thermal Expansion Coefficients, Densities and Imperfections in Gold and the Alpha-Phase of the Gold-Indium System. Master’s Thesis, 6876. Missouri S&T, Rolla, MO, USA, 1967. Available online: https://scholarsmine.mst.edu/masters_theses/6876 (accessed on 17 August 2025).
 - Dronskowski, R.; Bloechl, P.E. Crystal orbital Hamilton populations (COHP): Energy-resolved visualization of chemical bonding in solids based on density-functional calculations. J. Phys. Chem. 1993, 97, 8617–8624. [Google Scholar] [CrossRef]
 - Deringer, V.L.; Tchougréeff, A.L.; Dronskowski, R. Crystal Orbital Hamilton Population (COHP) Analysis as Projected from Plane-Wave Basis Sets. J. Phys. Chem. A 2011, 115, 5461–5466. [Google Scholar] [CrossRef]
 - Schottky, W. Zur Halbleitertheorie der Sperrschicht- und Spitzengleichrichter. Eur. Phys. J. A 1939, 113, 367–414. (In German) [Google Scholar] [CrossRef]
 - Mott, N.F. Note on the contact between a metal and an insulator or semi-conductor. Math. Proc. Camb. Philos. Soc. 1938, 34, 568–572. [Google Scholar] [CrossRef]
 - Bardeen, J. Surface States and Rectification at a Metal Semi-Conductor Contact. Phys. Rev. B 1947, 71, 717–727. [Google Scholar] [CrossRef]
 - Heine, V. Theory of Surface States. Phys. Rev. 1965, 138, A1689. [Google Scholar] [CrossRef]
 - Tersoff, J. Theory of Semiconductor Heterojunctions: The Role of Quantum Dipoles. Phys. Rev. B 1984, 30, 4874–4877. [Google Scholar] [CrossRef]
 - Seiwatz, R.; Green, M. Space Charge Calculations for Semiconductors. J. Appl. Phys. 1958, 29, 1034–1040. [Google Scholar] [CrossRef]
 - Krukowski, S.; Kempisty, P.; Strąk, P. Foundations of ab initio simulations of electric charges and fields at semiconductor surfaces within slab models. J. Appl. Phys. 2013, 114, 143705. [Google Scholar] [CrossRef]
 - Gerbi, A.; Buzio, R.; González, C.; Flores, F.; de Andres, P.L. Phase-space ab-initio direct and reverse ballistic-electron emission spectroscopy: Schottky barriers determination for Au/Ge(100). Appl. Surf. Sci. 2023, 609, 155218. [Google Scholar] [CrossRef]
 - Kruszewski, P.; Sai, P.; Krajewska, A.; Sakowski, K.; Ivonyak, Y.; Jakiela, R.; Plesiewicz, J.; Prystawko, P. Graphene Schottky barrier diode acting as a semi-transparent contact to n-GaN. AIP Adv. 2024, 14, 075312. [Google Scholar] [CrossRef]
 - Saarinen, K.; Laine, T.; Kuisma, S.; Nissilä, J.; Hautojärvi, P.; Dobrzynski, L.; Baranowski, J.M.; Pakula, K.; Stepniewski, R.; Wojdak, M.; et al. Observation of native Ga vacancies by positron annihilation. Phys. Rev. Lett. 1997, 79, 3030–3033. [Google Scholar] [CrossRef]
 - Nykänen, H.; Suihkonen, S.; Kilanski, L.; Sopanen, M.; Tuomisto, F. Low energy electron beam induced vacancy activation in GaN. Appl. Phys. Lett. 2012, 100, 122105. [Google Scholar] [CrossRef]
 - Dreyer, C.E.; Alkauskas, A.; Lyons, J.L.; Speck, J.S.; Van de Walle, C.G. Gallium vacancy complexes as a cause of Shockley-Read-Hall recombination in III-nitride light emitters. Appl. Phys. Lett. 2016, 108, 141101. [Google Scholar] [CrossRef]
 - Ganchenkova, M.G.; Nieminen, R.M. Nitrogen Vacancies as Major Point Defects in Gallium Nitride. Phys. Rev. Lett. 2006, 96, 196402. [Google Scholar] [CrossRef]
 - Hrytsak, R.; Kempisty, P.; Grzanka, E.; Leszczynski, M.; Sznajder, M. Modeling of the Point Defect Migration across the AlN/GaN Interfaces—Ab Initio Study. Materials 2022, 15, 478. [Google Scholar] [CrossRef]
 - Korotkov, R.Y.; Gregie, J.M.; Wessels, B.W. Optical properties of the deep Mn acceptor in GaN:Mn. Appl. Phys. Lett. 2002, 80, 1731–1733. [Google Scholar] [CrossRef]
 - Lyons, J.L.; Janotti, A.; Van de Walle, C.G. Carbon impurities and the yellow luminescence. Appl. Phys. Lett. 2010, 97, 152108. [Google Scholar] [CrossRef]
 - Reshchikov, M.A.; Andrieiev, O.; Vorobiov, M.; Demchenko, D.O.; McEwen, B.; Shahedipour-Sandvik, F. Photoluminescence from CdGa and HgGa acceptors in GaN. J. Appl. Phys. 2024, 135, 155706. [Google Scholar] [CrossRef]
 - Demchenko, D.O.; Vorobiov, M.; Andrieiev, O.; Reshchikov, M.A.; McEwen, B.; Shahedipour-Sandvik, F. Koopmans-tuned Heyd-Scuseria-Ernzerhof hybrid functional calculations of acceptors in GaN. Phys. Rev. B 2024, 110, 035203. [Google Scholar] [CrossRef]
 - Reshchikov, M.A.; Vorobiov, M.; Andrieiev, O.; Demchenko, D.O.; McEwen, B.; Shahedipour-Sandvik, F. Dual nature of the BeGa acceptor in GaN: Evidence from photoluminescence. Phys. Rev. B 2023, 108, 075202. [Google Scholar] [CrossRef]
 








Disclaimer/Publisher’s Note: The statements, opinions and data contained in all publications are solely those of the individual author(s) and contributor(s) and not of MDPI and/or the editor(s). MDPI and/or the editor(s) disclaim responsibility for any injury to people or property resulting from any ideas, methods, instructions or products referred to in the content.  | 
© 2025 by the authors. Licensee MDPI, Basel, Switzerland. This article is an open access article distributed under the terms and conditions of the Creative Commons Attribution (CC BY) license (https://creativecommons.org/licenses/by/4.0/).
Share and Cite
Sakowski, K.; Sobczak, C.; Strak, P.; Krukowski, S. Fundamentals of Metal Contact to p-Type GaN—A New Multilayer Energy-Saving Design. Electronics 2025, 14, 3309. https://doi.org/10.3390/electronics14163309
Sakowski K, Sobczak C, Strak P, Krukowski S. Fundamentals of Metal Contact to p-Type GaN—A New Multilayer Energy-Saving Design. Electronics. 2025; 14(16):3309. https://doi.org/10.3390/electronics14163309
Chicago/Turabian StyleSakowski, Konrad, Cyprian Sobczak, Pawel Strak, and Stanislaw Krukowski. 2025. "Fundamentals of Metal Contact to p-Type GaN—A New Multilayer Energy-Saving Design" Electronics 14, no. 16: 3309. https://doi.org/10.3390/electronics14163309
APA StyleSakowski, K., Sobczak, C., Strak, P., & Krukowski, S. (2025). Fundamentals of Metal Contact to p-Type GaN—A New Multilayer Energy-Saving Design. Electronics, 14(16), 3309. https://doi.org/10.3390/electronics14163309
        
