Adaptive Transient Synchronization Support Strategy for Grid-Forming Energy Storage Facing Inverter Faults
Abstract
1. Introduction
1.1. Research Background and Significance
1.2. Existing research methods
1.3. The Work in This Article
2. Classical Fault Control Strategies for Grid-Forming Energy Storage Systems During Grid Faults
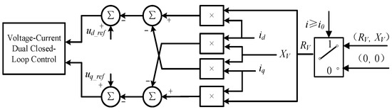
2.1. Traditional Fault Control Strategies for Grid-Forming Energy Storage Systems
2.2. Transient Response Mechanism of Grid-Forming Energy Storage Systems Under Fault Conditions
- (1)
- Dynamic active power reference adjustment: As depicted in Figure 2a, Pref is switched from Pref1 to Pref2 during faults. This strategy directly reduces the acceleration area and increases the deceleration area via (8), thereby enhancing the transient synchronization stability.
- (2)
- Reactive voltage coordinated support: Equations (3) and (6) show that the real-time adjustment of Qref to boost Upcc can also improve system transient stability. As illustrated in Figure 2b, this control strategy shifts the power angle curve from Pe3 to Pe2 during grid faults, reestablishing a stable equilibrium point at δ1 with Pref1.
2.3. Dynamic Characteristic Analysis of Grid-Forming Energy Storage Systems During Fault Conditions
3. Adaptive Support Strategy for Transient Synchronous Stability Based on Fault-Induced Voltage Feedback
3.1. Fault Control Strategy for Grid-Forming Energy Storage
3.2. Adaptive Active Power Control Using Fault Voltage
3.3. Adaptive Reactive Power Control Using Fault Voltage
3.4. Coordinated Virtual Impedance Switching Control Strategy Based on Fault Current
4. Simulation Verification
Verification of Adaptive Synchronous Stability Support Strategy
- (1)
- Case 1: Shallow grid voltage sag.
- (2)
- Case 2: Deep grid voltage sag.
5. Conclusions
Author Contributions
Funding
Data Availability Statement
Conflicts of Interest
References
- Ge, P.; Wang, K.; Lv, J.; Duan, N.; Zhi, Y.; Liu, J.; Deng, J. Capacity Allocation Method of Pumped-Storage Power Station for Multi-Level Market in New Power System. Electronics 2024, 13, 415. [Google Scholar] [CrossRef]
- Xiao, J.; Li, P.; Mao, Z.; Tu, C. Hierarchical Coordinated Control Strategy for Enhanced Performance of Energy Storage System in Secondary Frequency Regulation. IEEE Trans. Sustain. Energy 2025, 16, 1874–1888. [Google Scholar] [CrossRef]
- Liu, C.; Xi, J.; Hao, Q.; Li, J.; Wang, J.; Dong, H.; Su, C. Grid-Forming Converter Overcurrent Limiting Strategy Based on Additional Current Loop. Electronics 2023, 12, 1112. [Google Scholar] [CrossRef]
- Jia, K.; Jiang, X.; Zhang, Y.; Wang, H.; Liu, Q.; Bi, T. Fault Dynamic Response Difference-Based PLL Controller Parameter Identification of IIRESs. IEEE Trans. Smart Grid 2024, 15, 1725–1734. [Google Scholar] [CrossRef]
- Wang, X.; Zhou, J.; Qin, B.; Guo, L. Coordinated Power Smoothing Control Strategy of Multi-Wind Turbines and Energy Storage Systems in Wind Farm Based on MADRL. IEEE Trans. Sustain. Energy 2024, 15, 368–380. [Google Scholar] [CrossRef]
- Xiao, J.; Li, P.; Mao, Z.; Diao, H.; Li, J.; Tu, C. Multi-layer control strategy to enhance the economy and stability of battery energy storage system in wind farms. Int. J. Electr. Power Energy Syst. 2025, 169, 110776. [Google Scholar] [CrossRef]
- Wu, Z.; Liu, Z.; Zhu, H.; Guo, L.; Ye, Q.; Yu, C.; Xu, H.; Zhao, T. A Robust Inductance Estimation Method for Model Predictive Control of Grid-Connected Inverters. IEEE Trans. Ind. Electron. 2025, 72, 589–599. [Google Scholar] [CrossRef]
- Liu, A.; Wang, Y.; Kwon, T.; Park, S.-J. Two-Segment High-Performance PV Grid-Connected Inverter. IEEE Trans. Power Electron. 2025, 40, 2809–2821. [Google Scholar] [CrossRef]
- Zhou, X.; Cai, H.; Lin, X. Research on a Control Strategy for a Split-Phase Three-Level LCL-Type Grid-Connected Inverter. Electronics 2025, 14, 769. [Google Scholar] [CrossRef]
- Huang, Z.; Guo, Q.; Xiao, Z.; Tu, C.; Sun, K.; Wang, L.; Zhu, D.; Hou, Y. Hybrid Multifunctional Arc Suppression Inverter with Its Steady and Transient State Operation Optimization Method. IEEE Trans. Power Electron. 2025, 40, 10313–10323. [Google Scholar] [CrossRef]
- Mestice, M.; Ciarpi, G.; Rossi, D.; Saponara, S. An Integrated Charge Pump for Phase-Locked Loop Applications in Harsh Environments. Electronics 2024, 13, 744. [Google Scholar] [CrossRef]
- Mao, L.; Huang, Y.; Zhao, J.; Zeng, Z. Improved scheme of grid-connected inverters based on virtual PCC and impedance remodeling with enhanced steady-state and dynamic performance. Electr. Power Syst. Res. 2025, 238, 1–9. [Google Scholar] [CrossRef]
- Bamigbade, A.; Saafan, A.A.; Balogun, A.; Bamigbade, A.; Alfred, D.; Salman, U.; Khadkikar, V. H∞ Robust Second-Order Generalized Integrator Phase-Locked Loop for Grid Synchronization of Single-Phase Inverters. IEEE Trans. Ind. Appl. 2025, 1–10. [Google Scholar] [CrossRef]
- Tafizare, E.; Rahimi, M. Grid-following and grid-forming control modes of the rotor and grid sides converters for seamless and universal operation of the hybrid DFIG-wind/battery energy storage system in grid-connected and stand-alone conditions. J. Energy Storage 2024, 104, 114623. [Google Scholar] [CrossRef]
- Liu, Y.; Chen, Y.; Xin, H.; Tu, J.; Zhang, L.; Song, M.; Zhu, J. System Strength Constrained Grid-Forming Energy Storage Planning in Renewable Power Systems. IEEE Trans. Sustain. Energy 2025, 16, 981–994. [Google Scholar] [CrossRef]
- Zhang, K.; Shi, M.; Chen, X.; Shao, D.; Xu, Y.; Chen, Y. Interaction Modeling and Stability Analysis of Grid-Forming Energy Storage System Based on SISO Transfer Functions. IEEE Trans. Sustain. Energy 2025, 16, 573–587. [Google Scholar] [CrossRef]
- Zhang, W.; Wang, Z.; Peng, Y.; Wu, J.; Li, Q.; Yi, H.; Yang, Z.; Li, L.; Zhuo, F. Frequency Deadband Control of Grid-forming Energy Storage Inverter in Primary Frequency Regulation. J. Mod. Power Syst. Clean Energy 2025, 13, 167–178. [Google Scholar] [CrossRef]
- Baeckeland, N.; Yang, B.; Seo, G.-S. Unified Model of Current-Limiting Grid-Forming Inverters for Large-Signal Analysis. IEEE Trans. Power Syst. 2025, 1–16. [Google Scholar] [CrossRef]
- Rosso, R.; Wang, X.; Liserre, M.; Lu, X.; Engelken, S. Grid-forming converters: Control approaches, grid-synchronization, and future trends—A review. IEEE Open J. Ind. Appl. 2021, 2, 93–109. [Google Scholar] [CrossRef]
- Wu, H.; Ruan, X.; Yang, D.; Chen, X.; Zhao, W.; Lv, Z.; Zhong, Q.-C. Small-signal modeling and parameters design for virtual synchronous generators. IEEE Trans. Ind. Electron. 2016, 63, 4292–4303. [Google Scholar] [CrossRef]
- Lasseter, R.H.; Chen, Z.; Pattabiraman, D. Grid-forming inverters: A critical asset for the power grid. IEEE J. Emerg. Sel. Top. Power Electron. 2020, 8, 925–935. [Google Scholar] [CrossRef]
- Shen, C.; Shuai, Z.; Cheng, H. Transient Synchronization Stability Analysis of System with Paralleled Virtual Synchronous Generators and Current-controlled Converters. Autom. Electr. Power Syst. 2021, 45, 115–123. [Google Scholar] [CrossRef]
- Li, M.; Wu, Z.; Quan, X. Transient Synchronization Stability Analysis of Grid-forming Grid-connected Inverter Considering Damping characteristics. Autom. Electr. Power Syst. 2023, 47, 198–207. [Google Scholar] [CrossRef]
- Li, H.; Gao, H.Z.; Hao, Y. Seamless Switching Control Strategy For Low Voltageride-Through Based On Virtual Synchronous Generator. Acta Energiae Solaris Sin. 2021, 42, 114–120. [Google Scholar] [CrossRef]
- Huang, L.; Xin, H.; Wang, Z.; Zhang, L.; Wu, K.; Hu, J. Transient stability analysis and control design of droop-controlled voltage source converters considering current limitation. IEEE Trans. Smart Grid 2019, 10, 578–591. [Google Scholar] [CrossRef]
- Saffar, K.G.; Driss, S.; Ajaei, F.B. Impacts of current limiting on the transient stability of the virtual synchronous generator. IEEE Trans. Power Electron. 2023, 38, 1509–1521. [Google Scholar] [CrossRef]
- Chen, S.; Sun, Y.; Han, H.; Fu, S.; Luo, S.; Shi, G. A modified VSG control scheme with virtual resistance to enhance both small-signal stability and transient synchronization stability. IEEE Trans. Power Electron. 2023, 38, 6005–6014. [Google Scholar] [CrossRef]
- Song, S.; Han, C. Coordinated Adaptive Droop Control of Large-Scale Energy Storage Systems for Primary Frequency Support in Energy Management Systems. IEEE Trans. Power Syst. 2025, 1–11. [Google Scholar] [CrossRef]
- Meng, X.; Liu, J.; Liu, Z. A Generalized Droop Control for Grid-Supporting Inverter Based on Comparison Between Traditional Droop Control and Virtual Synchronous Generator Control. IEEE Trans. Power Electron. 2019, 34, 5416–5438. [Google Scholar] [CrossRef]
- Tan, L.; Yi, M.; Cai, L.; Zhang, H.; Hou, P.; Han, J. Adaptive Control Strategies for Improving Frequency Response Parameters in VSG. IEEE Access 2024, 12, 160359–160368. [Google Scholar] [CrossRef]
- Sato, Y.; Ishizuka, T.; Nezu, K.; Kataoka, T. A new control strategy for voltage-type PWM rectifiers to realize zero steady-state control error in input current. IEEE Trans. Ind. Appl. 1998, 34, 480–486. [Google Scholar] [CrossRef]
- Taul, M.G.; Wang, X.; Davari, P.; Blaabjerg, F. Current limiting control with enhanced dynamics of grid-forming converters during fault conditions. IEEE J. Emerg. Sel. Top. Inpower Electron. 2020, 8, 1062–1073. [Google Scholar] [CrossRef]
- GB/T 37408-2019; Technical Requirements for Grid-Connected Inverters of Energy Storage Power Generation. Standardization Administration of the People’s Republic of China: Beijing, China, 2019.
- Du, Y.; Sun, C.; Sun, H.D. Transient Stability Mechanism Analysis of the Grid Forming Voltage Source Converter and the Improved Limiting Method. Proc. CSEE 2024, 44, 3753–3766. [Google Scholar] [CrossRef]
- Xiong, X.; Wu, C.; Blaabjerg, F. Effects of Virtual Resistance on Transient Stability of Virtual Synchronous Generators Under Grid Voltage Sag. IEEE Trans. Ind. Electron. 2022, 69, 4754–4764. [Google Scholar] [CrossRef]

















| Parameter | Value | Parameter | Value |
|---|---|---|---|
| Rated Capacity/SB | 1000 kVA | Line Inductance/Lg | 1.2 mH |
| Active Power/Pref | 100 kW | Line Resistance/Rg | 0.05 Ω |
| Reactive Power/Qref | 0 kVar | Virtual Inductance/Lv | 2 mH |
| DC Bus Voltage/Udc | 750 V | Virtual Resistance/Rv | 0.05 Ω |
| Grid Voltage/Ug | 380 V | Moment of Inertia/J | 2 kg/m2 |
| Rated Frequency/f | 50 Hz | Damping Coefficient/D | 30.545 N·m·s/rad |
| Filter Capacitance/Cf | 100 μF | PI Controller/(kpU + kiU/s) | 41.56 + 49,900/s |
| Filter Inductance/Lf | 2 mH | PI Controller/(KpI + kiI/s) | 0.97 + 93/s |
| Grid-Connected Resistance/Rf | 0.05 Ω | Current Limiter/I0 | 1.5 p.u. |
Disclaimer/Publisher’s Note: The statements, opinions and data contained in all publications are solely those of the individual author(s) and contributor(s) and not of MDPI and/or the editor(s). MDPI and/or the editor(s) disclaim responsibility for any injury to people or property resulting from any ideas, methods, instructions or products referred to in the content. |
© 2025 by the authors. Licensee MDPI, Basel, Switzerland. This article is an open access article distributed under the terms and conditions of the Creative Commons Attribution (CC BY) license (https://creativecommons.org/licenses/by/4.0/).
Share and Cite
Xing, C.; Xiao, J.; Li, P.; Xi, X.; Chen, Y.; Guo, Q. Adaptive Transient Synchronization Support Strategy for Grid-Forming Energy Storage Facing Inverter Faults. Electronics 2025, 14, 2980. https://doi.org/10.3390/electronics14152980
Xing C, Xiao J, Li P, Xi X, Chen Y, Guo Q. Adaptive Transient Synchronization Support Strategy for Grid-Forming Energy Storage Facing Inverter Faults. Electronics. 2025; 14(15):2980. https://doi.org/10.3390/electronics14152980
Chicago/Turabian StyleXing, Chao, Jiajie Xiao, Peiqiang Li, Xinze Xi, Yunhe Chen, and Qi Guo. 2025. "Adaptive Transient Synchronization Support Strategy for Grid-Forming Energy Storage Facing Inverter Faults" Electronics 14, no. 15: 2980. https://doi.org/10.3390/electronics14152980
APA StyleXing, C., Xiao, J., Li, P., Xi, X., Chen, Y., & Guo, Q. (2025). Adaptive Transient Synchronization Support Strategy for Grid-Forming Energy Storage Facing Inverter Faults. Electronics, 14(15), 2980. https://doi.org/10.3390/electronics14152980
