Comprehensive Study of Proton and Heavy Ion-Induced Damages for Cascode GaN-Based HEMTs
Abstract
1. Introduction
2. Samples and Experimental Setups
3. Results and Discussions
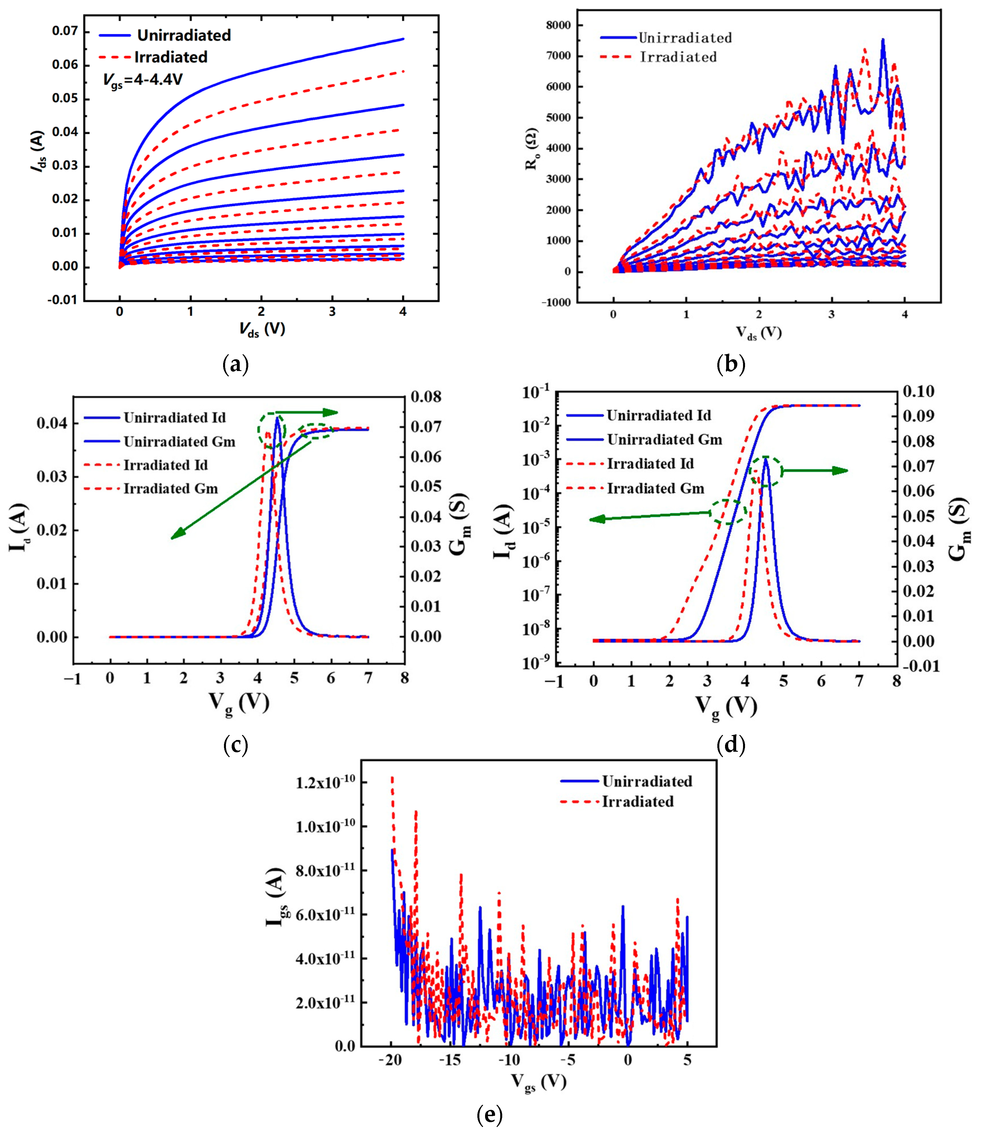
3.1. Degradation of Electrical Parameters of Devices Induced by Proton Irradiation
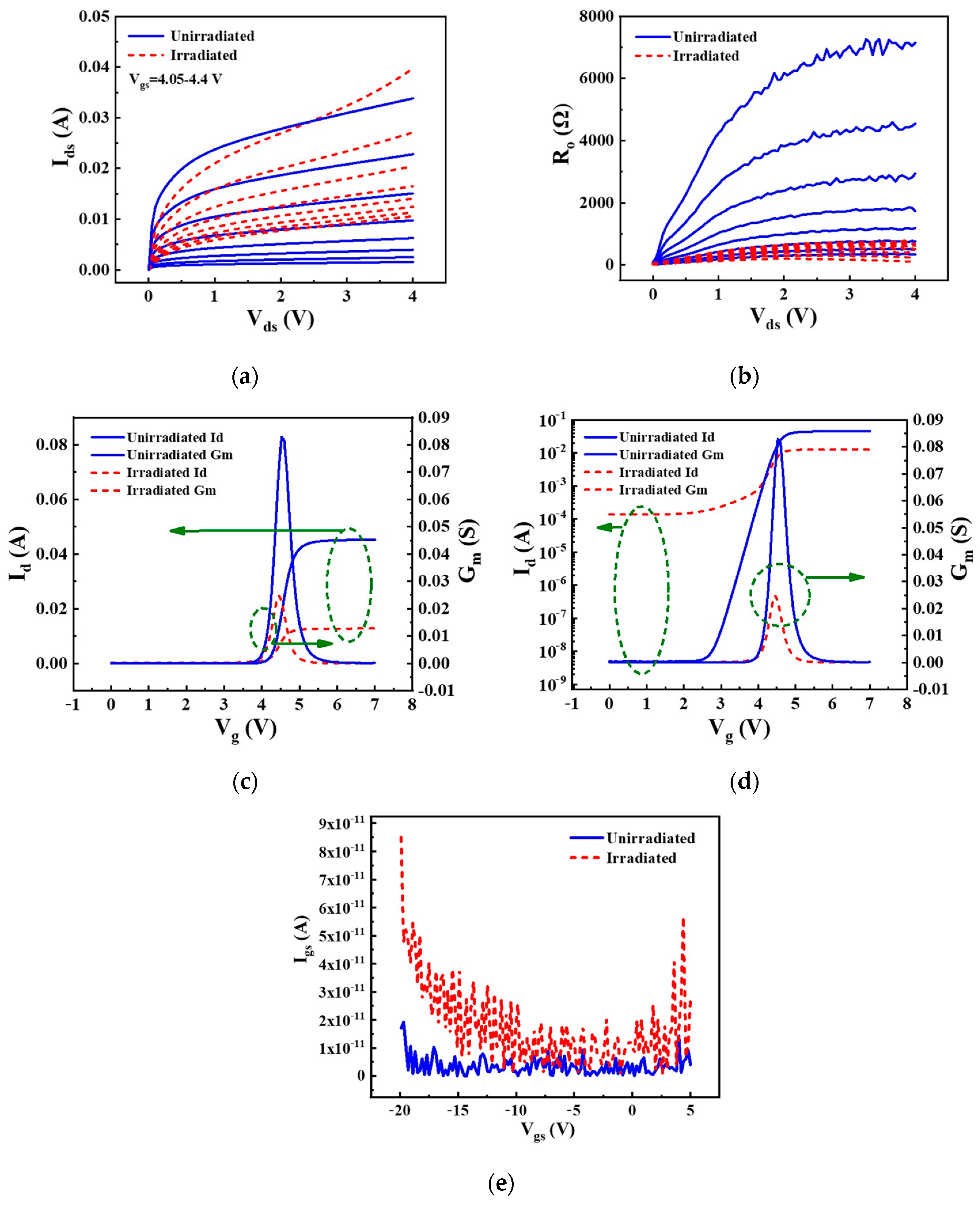
3.2. Heavy Ion Irradiation Effects
3.3. Analysis and Discussions
3.3.1. Characterization of Low-Frequency Noise Defects in Devices After Proton Irradiation
3.3.2. Failure Analysis of Devices After Heavy Ion Irradiation
4. Conclusions
Author Contributions
Funding
Data Availability Statement
Conflicts of Interest
References
- Shen, L.; Heikman, S.; Moran, B.; Coffie, R.; Zhang, N.-Q.; Buttari, D.; Smorchkova, I.; Keller, S.; DenBaars, S.; Mishra, U. AlGaN/AlN/GaN high-power microwave HEMT. IEEE Electron Device Lett. 2001, 22, 457–459. [Google Scholar] [CrossRef]
- Ambacher, O.; Smart, J.; Shealy, J.R.; Weimann, N.G.; Chu, K.; Murphy, M.; Schaff, W.J.; Eastman, L.F.; Dimitrov, R.; Wittmer, L.; et al. Two-dimensional electron gases induced by spontaneous and piezoelectric polarization charges in N-and Ga-face AlGaN/GaN heterostructures. J. Appl. Phys. 1999, 85, 3222–3233. [Google Scholar] [CrossRef]
- Hu, X.; Choi, B.; Barnaby, H.; Fleetwood, D.; Schrimpf, R.; Lee, S.; Shojah-Ardalan, S.; Wilkins, R.; Mishra, U.; Dettmer, R. The energy dependence of proton-induced degradation in AlGaN/GaN high electron mobility transistors. IEEE Trans. Nucl. Sci. 2004, 51, 293–297. [Google Scholar] [CrossRef]
- Keum, D.; Kim, H. Energy-dependent degradation characteristics of AlGaN/GaN MISHEMTs with 1, 1.5, and 2 MeV proton irradiation. ECS J. Solid State Sci. Technol. 2018, 7, Q159–Q163. [Google Scholar] [CrossRef]
- Lv, L.; Lin, Z.; Guo, H.; Pan, X.; Yan, X. Proton irradiation effects on enhancement-mode AlGaN/GaN MIS-HEMTs devices. Mod. Appl. Phys. 2021, 12, 86–92. [Google Scholar]
- Puzyrev, Y.S.; Roy, T.; Zhang, E.X.; Fleetwood, D.M.; Schrimpf, R.D.; Pantelides, S.T. Radiation-induced defect evolution and electrical degradation of AlGaN/GaN high-electron-mobility transistors. IEEE Trans. Nucl. Sci. 2011, 58, 2918–2924. [Google Scholar] [CrossRef]
- Anderson, T.J.; Koehler, A.D.; Specht, P.; Weaver, B.D.; Greenlee, J.D.; Tadjer, M.J.; Hite, J.K.; A Mastro, M.; Porter, M.; Wade, M.; et al. Failure mechanisms in AlGaN/GaN HEMTs irradiated with 2 MeV protons. ECS Trans. 2015, 66, 15–20. [Google Scholar] [CrossRef]
- Lv, L.; Ma, X.; Zhang, J.; Bi, Z.; Liu, L.; Shan, H.; Hao, Y. Proton irradiation effects on AlGaN/AlN/GaN heterojunctions. IEEE Trans. Nucl. Sci. 2015, 62, 300–305. [Google Scholar] [CrossRef]
- Koehler, A.D.; Anderson, T.J.; Khachatrian, A.; Roche, N.J.-H.; Buchner, S.; Weaver, B.D.; Hobart, K.D.; Kub, F.J. Displacement damage and single event effects in AlGaN/GaN HEMTs. ECS Trans. 2017, 75, 13–20. [Google Scholar] [CrossRef]
- Rostewitz, M.; Hirche, K.; Latti, J.; Jutzi, E. Single event effect analysis on DC and RF operated AlGaN/GaN HEMTs. IEEE Trans. Nucl. Sci. 2013, 60, 2525–2529. [Google Scholar] [CrossRef]
- Poling, B.S.; Via, G.D.; Bole, K.D.; Johnson, E.E.; McDermott, J.M. Commercial-off the-shelf AlGaN/GaN HEMT device reliability study after exposure to heavy ion radiation. Microelectron. Reliab. 2017, 68, 13–20. [Google Scholar] [CrossRef]
- Lei, Z.-F.; Guo, H.-X.; Zeng, C.; Chen, H.; Wang, Y.-S.; Zhang, Z.-G. Influence of heavy ion irradiation on DC and gate-lag performance of AlGaN/GaN HEMTs. Chin. Phys. B 2015, 24, 056103. [Google Scholar] [CrossRef]
- Liu, Y.; Chen, H.B.; He, Y.J.; Wang, X.; Yue, L.; En, Y.F.; Liu, M.H. Radiation effects on the low frequency noise in partially depleted silicon on insulator transistors. Acta Phys. Sin. 2015, 64, 078501. [Google Scholar]
- Christensson, S.; Lundström, I.; Svensson, C. Low frequency noise in MOS transistors-I theory. Solid State Electron. 1968, 11, 797–812. [Google Scholar] [CrossRef]
- Chen, Y.Q.; Zhang, Y.C.; Liu, Y.; Liao, X.Y.; En, Y.F.; Fang, W.X.; Huang, Y. Effect of hydrogen on defects of AlGaN/GaN HEMTs characterized by low-frequency noise. IEEE Trans. Electron Devices 2018, 65, 1321–1326. [Google Scholar] [CrossRef]
- Yue, S.; Lei, Z.; Peng, C.; Zhong, X.; Wang, J.; Zhang, Z.; En, Y.; Wang, Y.; Hu, L. High-fluence proton-induced degradation on AlGaN/GaN high-electron-mobility transistors. IEEE Trans. Nucl. Sci. 2020, 67, 1339–1344. [Google Scholar] [CrossRef]
- Koehler, A.D.; Hobart, K.D.; Weatherford, T.R.; Kub, F.J.; Specht, P.; Anderson, T.J.; Weaver, B.D.; Greenlee, J.D.; Tadjer, M.J.; Porter, M.; et al. Proton radiation-induced void formation in Ni/Au-Gated AlGaN/GaN HEMTS. IEEE Electron Device Lett. 2014, 35, 1194–1196. [Google Scholar] [CrossRef]
- Chen, Z.; Yue, S.; Wang, J.; Zhang, Z.; Huang, Y.; Wang, L.; Peng, C.; Zhong, X.; Lei, Z. Proton-induced effect on AlGaN/GaN HEMTs after hydrogen treatment. IEEE Trans. Device Mater. Reliab. 2021, 21, 297–302. [Google Scholar] [CrossRef]
- Silvestri, M.; Uren, M.J.; Killat, N.; Marcon, D.; Kuball, M. Localization of off-stress-induced damage in AlGaN/GaN high electron mobility transistors by means of low frequency 1/f noise measurements. IEEE Trans. Electron Devices 2013, 103, 043506. [Google Scholar] [CrossRef]
- Bai, R.; Guo, H.; Zhang, H.; Wang, D.; Zhang, F.; Pan, X.; Ma, W.; Hu, J.; Liu, Y.; Yang, Y.; et al. Study of high-energy proton radiation effects in GaN power devices with enhanced Cascode structure. Acta Phys. Sin. 2023, 72, 63–69. [Google Scholar] [CrossRef]
- Huang, Y. Investigation of the mechanism of weak radiation-induced failure in GaN-based Cascode-type devices. China Integr. Circuits 2023, 32, 62–66. [Google Scholar]
- Chen, R.; Liang, Y.; Han, J.; Wang, X.; Yang, H.; Chen, Q.; Yuan, R.; Ma, Y.; Shangguan, S. Experimental study on single-event and total-dose effects of gallium nitride-based high electron mobility transistors. Acta Phys. Sin. 2021, 70, 252–259. [Google Scholar]
- Wan, P.; Yang, J.; Ying, T.; Lv, G.; Lva, L.; Dong, S.; Dongb, L.; Yu, X.; Zhen, Z.; Li, W.; et al. Effects of Ionization and Displacement Damage in AlGaN/GaN HEMTs Devices Caused by Various Heavy Ions. IEEE Trans. Nucl. Sci. 2021, 68, 1265–1271. [Google Scholar] [CrossRef]
- Peng, C.; Lei, Z.; Zhang, Z.; He, Y.; Chen, Y.; Lu, G.; Huang, Y. Mechanism of SiC Schottky barrier diode damage due to heavy ion irradiation. Acta Phys. Sin. 2022, 71, 176101. [Google Scholar] [CrossRef]
- Witulski, A.F.; Arslanbekov, R.; Raman, A.; Schrimpf, R.D.; Sternberg, A.L.; Galloway, K.F.; Javanainen, A.; Grider, D.; Lichtenwalner, D.J.; Hull, B. Single-Event Burnout of SiC Junction Barrier Schottky Diode High-Voltage Power Devices. IEEE Trans. Nucl. Sci. 2018, 65, 256–261. [Google Scholar] [CrossRef]
- Ma, Y.; Gao, B.; Gong, M.; Willis, M.; Yang, Z.; Guan, M.; Li, Y. High fluence swift heavy ion structure modification of the SiO2/Si interface and gate insulator in 65nm MOSFETs. Nucl. Instrum. Methods Phys. Res. Sect. B Beam Interact. Mater. At. 2017, 396, 56–60. [Google Scholar] [CrossRef]
- Chen, R.; Liang, Y.-N.; Han, J.-W.; Wang, X.; Yang, H.; Chen, Q.; Yuan, R.-J.; Ma, Y.-Q.; Shangguan, S.-P. Single event effect and total dose effect of GaN high electron mobility transistor using heavy ions and gamma rays. Acta Phys. Sin. 2021, 70, 116102-1–116102-8. [Google Scholar] [CrossRef]
- Li, X.; Jiang, W.; Wang, Y.; Zhang, H.; Peng, C.; Zhang, X.; Liang, X.; Fu, W.; Zhang, Z.; Lei, Z.; et al. Single-event burnout in β-Ga2O3 Schottky barrier diode induced by high-energy proton. Appl. Phys. Lett. 2024, 125, 092101. [Google Scholar] [CrossRef]














| Parameters | Values |
|---|---|
| Source and drain length | 0.5 µm |
| Gate Length | 0.7 µm |
| Silicon oxide passivation | 0.2 µm |
| AlGaN barrier layer | 0.03 µm |
| GaN trench layer | 0.03 µm |
| GaN or AlGaN buffer layer | 2 µm |
| AlN seed layer | 0.1 µm |
| Oxide layer | 0.1 µm |
| Devices | Radiation Source | Failure Mode |
|---|---|---|
| SiC Schottky diode [25] | Ta, LET = 81.3 MeV·cm2/mg | Single event burnout |
| 65 nm N-channel MOSFET [26] | Sn ions | Negative drift of threshold voltage, increased leakage current |
| p-gate GaN HEMT [27] | Ge, LET = 37 MeV·cm2/mg | Increased leakage current |
| Cascode GaN HEMT [27] | Ti, LET = 21.8 MeV·cm2/mg | Single event burnout |
| Ga2O3 Schottky diode [28] | 300 MeV proton | Single event burnout occurs at reverse 400 V. |
Disclaimer/Publisher’s Note: The statements, opinions and data contained in all publications are solely those of the individual author(s) and contributor(s) and not of MDPI and/or the editor(s). MDPI and/or the editor(s) disclaim responsibility for any injury to people or property resulting from any ideas, methods, instructions or products referred to in the content. |
© 2025 by the authors. Licensee MDPI, Basel, Switzerland. This article is an open access article distributed under the terms and conditions of the Creative Commons Attribution (CC BY) license (https://creativecommons.org/licenses/by/4.0/).
Share and Cite
Huang, H.; Wu, Z.; Peng, C.; Shen, H.; Wu, X.; Yang, J.; Lei, Z.; Cui, X.; Ma, T.; Zhang, Z.; et al. Comprehensive Study of Proton and Heavy Ion-Induced Damages for Cascode GaN-Based HEMTs. Electronics 2025, 14, 2653. https://doi.org/10.3390/electronics14132653
Huang H, Wu Z, Peng C, Shen H, Wu X, Yang J, Lei Z, Cui X, Ma T, Zhang Z, et al. Comprehensive Study of Proton and Heavy Ion-Induced Damages for Cascode GaN-Based HEMTs. Electronics. 2025; 14(13):2653. https://doi.org/10.3390/electronics14132653
Chicago/Turabian StyleHuang, Huixiang, Zhipeng Wu, Chao Peng, Hanxin Shen, Xiaoqiang Wu, Jianqun Yang, Zhifeng Lei, Xiuhai Cui, Teng Ma, Zhangang Zhang, and et al. 2025. "Comprehensive Study of Proton and Heavy Ion-Induced Damages for Cascode GaN-Based HEMTs" Electronics 14, no. 13: 2653. https://doi.org/10.3390/electronics14132653
APA StyleHuang, H., Wu, Z., Peng, C., Shen, H., Wu, X., Yang, J., Lei, Z., Cui, X., Ma, T., Zhang, Z., He, Y., Chen, Y., & Lu, G. (2025). Comprehensive Study of Proton and Heavy Ion-Induced Damages for Cascode GaN-Based HEMTs. Electronics, 14(13), 2653. https://doi.org/10.3390/electronics14132653

