Preemptive-Level-Based Cooperative Autonomous Vehicle Trajectory Optimization for Unsignalized Intersection with Mixed Traffic
Abstract
1. Introduction
- (1)
- It presents an optimization method based on preemptive levels to enhance traffic sequencing at intersections, aiming to maximize the efficient use of intersection conflict points
- (2)
- It introduces a speed control strategy designed to mitigate spatio–temporal coupling constraints among vehicle traffic streams in various directions at the intersection
- (3)
- It introduces an efficiency-based trajectory routing approach for multiple exit routes to enhance the performance of intersections.
2. Related Work
2.1. The Resource Allocation Approach
2.2. The Trajectory Planning Approach
3. Methodology
3.1. Problem Description
3.1.1. Description and Framework
3.1.2. Assumptions
- Within the intersection perimeter, V2X communication remains uninterrupted, experiencing no communication delays. As cellular systems evolve from 4G LTE to 5G, cellular vehicle-to-everything (V2X) is transitioning from LTE-V2X to the new radio (NR) V2X [26]. Communication latency decreases from 10 ms in LTE-V2X to 1 ms in NR-V2X [27]. As a result, the influence of minimal inter-vehicle communication delay on cooperative AV trajectory optimization is not considered in this paper.
- All road users adhere strictly to the rules of bus-only lanes, ensuring that private vehicles do not enter bus lanes during their designated operational hours.
3.2. Preemptive-Level-Based Traffic Sequence
3.2.1. Dominant Conflict Point Identification
3.2.2. Conflict Analysis and Discrimination
3.3. Conflict Resolution Based on Speed Control
3.4. Trajectory Route Selection for Multiple Exit Lanes
4. Results and Discussion
4.1. Simulation Setup
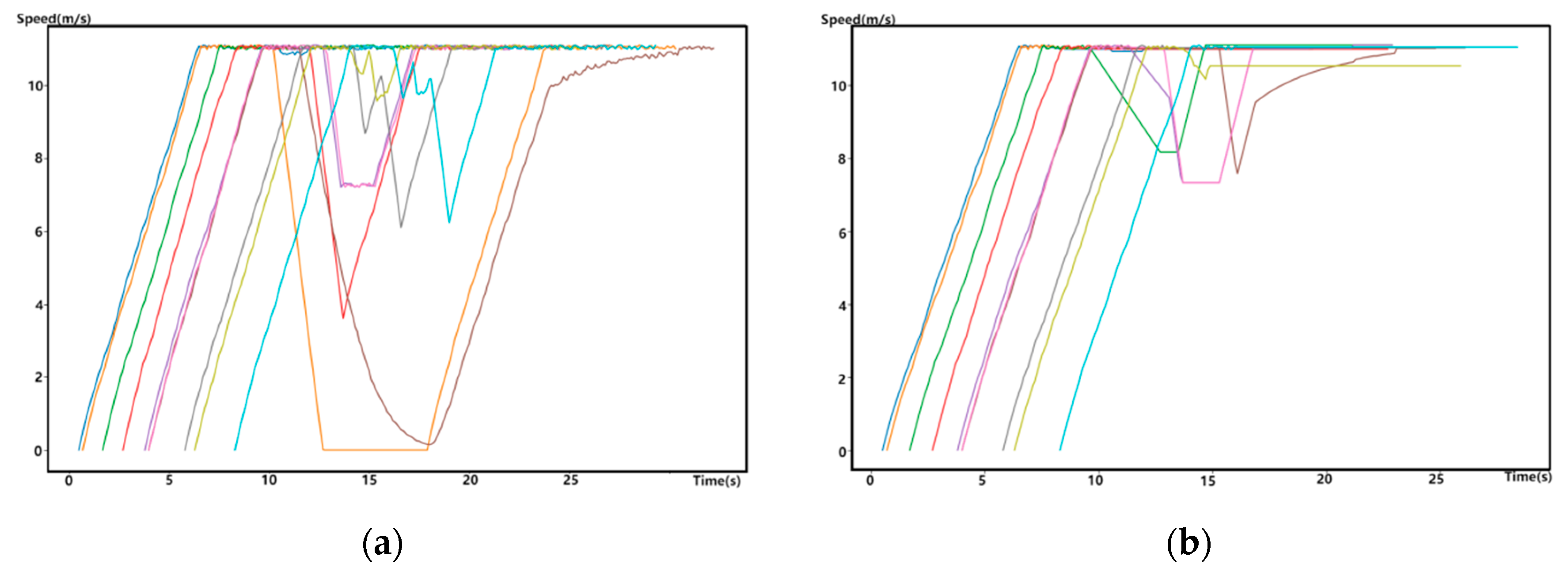
4.2. Comparative Simulation
4.3. Corroborating Cases for Generalized Strategy Applicability
5. Conclusions
Author Contributions
Funding
Data Availability Statement
Conflicts of Interest
References
- Caban, J. Traffic Congestion Level in 10 Selected Cities of Poland. Sci. J. Silesian Univ. Technol. Ser. Transp. 2021, 112, 17–31. [Google Scholar] [CrossRef]
- Wang, L.; Yang, M.; Wang, J.; Huang, S.; Cui, S. Cooperative Control of Connected-Autonomous Electric Buses With Tradeoffs Between Energy Saving and Mobility. IEEE Trans. Intell. Transp. Syst. 2024, 1–15. [Google Scholar] [CrossRef]
- Gu, W.; Mei, Y.; Chen, H.; Xuan, Y.; Luo, X. An Integrated Intersection Design for Promoting Bus and Car Traffic. Transp. Res. Part C Emerg. Technol. 2021, 128, 103211. [Google Scholar] [CrossRef]
- Dai, Z.; Liu, X.C.; Chen, X.; Ma, X. Joint Optimization of Scheduling and Capacity for Mixed Traffic with Autonomous and Human-Driven Buses: A Dynamic Programming Approach. Transp. Res. Part C Emerg. Technol. 2020, 114, 598–619. [Google Scholar] [CrossRef]
- Cheng, X.; (Marco) Nie, Y.; Lin, J. An Autonomous Modular Public Transit Service. Transp. Res. Part C Emerg. Technol. 2024, 168, 104746. [Google Scholar] [CrossRef]
- Alozi, A.R.; Hussein, M. How Do Active Road Users Act around Autonomous Vehicles? An Inverse Reinforcement Learning Approach. Transp. Res. Part C Emerg. Technol. 2024, 161, 104572. [Google Scholar] [CrossRef]
- Zhou, D.; Hang, P.; Sun, J. Reasoning Graph-Based Reinforcement Learning to Cooperate Mixed Connected and Autonomous Traffic at Unsignalized Intersections. Transp. Res. Part C Emerg. Technol. 2024, 167, 104807. [Google Scholar] [CrossRef]
- Cui, S.; Xue, Y.; Gao, K.; Wang, K.; Yu, B.; Qu, X. Delay-Throughput Tradeoffs for Signalized Networks with Finite Queue Capacity. Transp. Res. Part B Methodol. 2024, 180, 102876. [Google Scholar] [CrossRef]
- Xue, Y.; Wang, C.; Ding, C.; Yu, B.; Cui, S. Observer-Based Event-Triggered Adaptive Platooning Control for Autonomous Vehicles with Motion Uncertainties. Transp. Res. Part C Emerg. Technol. 2024, 159, 104462. [Google Scholar] [CrossRef]
- Wang, M.; Chen, S.; Meng, Q. Robust Safety Driver Scheduling for Autonomous Buses. Transp. Res. Part B Methodol. 2024, 184, 102965. [Google Scholar] [CrossRef]
- Li, G.; Jiao, Y.; Calvert, S.C.; van Lint, J.W.C. (Hans) Lateral Conflict Resolution Data Derived from Argoverse-2: Analysing Safety and Efficiency Impacts of Autonomous Vehicles at Intersections. Transp. Res. Part C Emerg. Technol. 2024, 167, 104802. [Google Scholar] [CrossRef]
- Morales Medina, A.I.; Creemers, F.; Lefeber, E.; Van De Wouw, N. Optimal Access Management for Cooperative Intersection Control. IEEE Trans. Intell. Transp. Syst. 2020, 21, 2114–2127. [Google Scholar] [CrossRef]
- Dresner, K.; Stone, P. Multiagent Traffic Management: A Reservation-Based Intersection Control Mechanism. In Proceedings of the Third International Joint Conference on Autonomous Agents and Multiagent Systems, AAMAS 2004, New York, NY, USA, 23 July 2004; pp. 530–537. [Google Scholar]
- Li, J.; Liu, X.; Xiao, M.; Lu, G. A Planning Control Strategy Based on Dynamic Safer Buffer to Avoid Traffic Collisions in an Emergency for CAVs at Nonsignalized Intersections. J. Transp. Eng. Part Syst. 2023, 149, 04023066. [Google Scholar] [CrossRef]
- Zhao, W.; Ngoduy, D.; Shepherd, S.; Liu, R.; Papageorgiou, M. A Platoon Based Cooperative Eco-Driving Model for Mixed Automated and Human-Driven Vehicles at a Signalised Intersection. Transp. Res. Part C Emerg. Technol. 2018, 95, 802–821. [Google Scholar] [CrossRef]
- de Beaucorps, P.; Streubel, T.; Verroust-Blondet, A.; Nashashibi, F.; Bradai, B.; Resende, P. Decision-Making for Automated Vehicles at Intersections Adapting Human-like Behavior. In Proceedings of the 2017 IEEE Intelligent Vehicles Symposium (IV), Los Angeles, CA, USA, 11–14 June 2017; pp. 212–217. [Google Scholar]
- Liu, M.; Lu, G.; Wang, Y.; Wang, Y.; Zhang, Z. Preempt or Yield? An Analysis of Driver’s Dynamic Decision Making at Unsignalized Intersections by Classification Tree. Saf. Sci. 2014, 65, 36–44. [Google Scholar] [CrossRef]
- Meng, Y.; Li, L.; Wang, F.-Y.; Li, K.; Li, Z. Analysis of Cooperative Driving Strategies for Nonsignalized Intersections. IEEE Trans. Veh. Technol. 2018, 67, 2900–2911. [Google Scholar] [CrossRef]
- Li, Z.; Wu, Q.; Yu, H.; Chen, C.; Zhang, G.; Tian, Z.Z.; Prevedouros, P.D. Temporal-Spatial Dimension Extension-Based Intersection Control Formulation for Connected and Autonomous Vehicle Systems. Transp. Res. Part C Emerg. Technol. 2019, 104, 234–248. [Google Scholar] [CrossRef]
- Söntges, S.; Althoff, M. Computing the Drivable Area of Autonomous Road Vehicles in Dynamic Road Scenes. IEEE Trans. Intell. Transp. Syst. 2018, 19, 1855–1866. [Google Scholar] [CrossRef]
- Rios-Torres, J.; Malikopoulos, A.A. A Survey on the Coordination of Connected and Automated Vehicles at Intersections and Merging at Highway On-Ramps. IEEE Trans. Intell. Transp. Syst. 2017, 18, 1066–1077. [Google Scholar] [CrossRef]
- Zhou, D.; Ma, Z.; Sun, J. Autonomous Vehicles’ Turning Motion Planning for Conflict Areas at Mixed-Flow Intersections. IEEE Trans. Intell. Veh. 2020, 5, 204–216. [Google Scholar] [CrossRef]
- Yang, H.; Rakha, H.; Ala, M.V. Eco-Cooperative Adaptive Cruise Control at Signalized Intersections Considering Queue Effects. IEEE Trans. Intell. Transp. Syst. 2017, 18, 1575–1585. [Google Scholar] [CrossRef]
- Cruz-Piris, L.; Lopez-Carmona, M.A.; Marsa-Maestre, I. Automated Optimization of Intersections Using a Genetic Algorithm. IEEE Access 2019, 7, 15452–15468. [Google Scholar] [CrossRef]
- Schulz, J.; Hirsenkorn, K.; Löchner, J.; Werling, M.; Burschka, D. Estimation of Collective Maneuvers through Cooperative Multi-Agent Planning. In Proceedings of the 2017 IEEE Intelligent Vehicles Symposium (IV), Los Angeles, CA, USA, 11–14 June 2017; pp. 624–631. [Google Scholar]
- Cui, S.; Xue, Y.; Gao, K.; Lv, M.; Yu, B. Adaptive Collision-Free Trajectory Tracking Control for String Stable Bidirectional Platoons. IEEE Trans. Intell. Transp. Syst. 2023, 24, 12141–12153. [Google Scholar] [CrossRef]
- Chen, S.; Hu, J.; Shi, Y.; Zhao, L.; Li, W. A Vision of C-V2X: Technologies, Field Testing, and Challenges With Chinese Development. IEEE Internet Things J. 2020, 7, 3872–3881. [Google Scholar] [CrossRef]
- Yu, C.; Sun, W.; Liu, H.X.; Yang, X. Managing Connected and Automated Vehicles at Isolated Intersections: From Reservation- to Optimization-Based Methods. Transp. Res. Part B Methodol. 2019, 122, 416–435. [Google Scholar] [CrossRef]
- Jiang, S.; Chen, X.; Lin, X.; Li, M. Intersection Control Based on Fine-Grained Phases for Connected and Automated Vehicles. Transp. Res. Part C Emerg. Technol. 2024, 163, 104619. [Google Scholar] [CrossRef]
- Xiao, Y.; Yang, J.; Wang, Z. Driver’s conflict avoidance decision model based on preemptive level. J. Traffic Transp. Eng. 2009, 9, 116–120. [Google Scholar] [CrossRef]
- Lopez, P.A.; Behrisch, M.; Bieker-Walz, L.; Erdmann, J.; Flötteröd, Y.-P.; Hilbrich, R.; Lücken, L.; Rummel, J.; Wagner, P.; Wiessner, E. Microscopic Traffic Simulation Using SUMO. In Proceedings of the 2018 21st International Conference on Intelligent Transportation Systems (ITSC), Maui, HI, USA, 4–7 November 2018; pp. 2575–2582. [Google Scholar]
- Lu, Z.; Wu, T.; Su, J.; Xu, Y.; Qian, B.; Zhang, T.; Zhou, H. Toward Edge-Computing-Enabled Collision-Free Scheduling Management for Autonomous Vehicles at Unsignalized Intersections. Digit. Commun. Netw. 2024. [Google Scholar] [CrossRef]
- Pan, Y.; Fang, W.; Ge, Z.; Li, C.; Wang, C.; Guo, B. A Hybrid On-Line Approach for Predicting the Energy Consumption of Electric Buses Based on Vehicle Dynamics and System Identification. Energy 2024, 290, 130205. [Google Scholar] [CrossRef]
- Raja, G.; Raja, K.; Kanagarathinam, M.R.; Needhidevan, J.; Vasudevan, P. Advanced Decision Making and Motion Planning Framework for Autonomous Navigation in Unsignalized Intersections. IEEE Access 2024, 12, 158657–158668. [Google Scholar] [CrossRef]
- Pečman, J.; Šarkan, B.; Ližbetinová, L.; Ľupták, V.; Loman, M.; Bartuška, L. Impact of Acceleration Style on Vehicle Emissions and Perspectives for Improvement through Transportation Engineering Solutions. Arch. Motoryz. 2024, 104, 48–62. [Google Scholar] [CrossRef]
- Milojević, S.; Savić, S.; Marić, D.; Stopka, O.; Krstić, B.; Stojanović, B. Correlation between Emission and Combustion Characteristics with the Compression Ratio and Fuel Injection Timing in Tribologically Optimized Diesel Engine. Teh. Vjesn. 2022, 29, 1210–1219. [Google Scholar] [CrossRef]
- Wiseman, Y. Autonomous Vehicles Will Spur Moving Budget from Railroads to Roads. Int. J. Intell. Unmanned Syst. 2024, 12, 19–31. [Google Scholar] [CrossRef]











| Evaluating Indicator | Sumo Control | Cooperative Control | Optimization Rate |
|---|---|---|---|
| Case A1 | |||
| Mean Travel Time/s | 16 | 13.66 | 14.63% |
| Mean Speed/m/s | 9.2 | 9.53 | 3.59% |
| Mean Halts Per AV/s | 0.15 | 0 | 100.00% |
| Standard Deviation of Speed/m/s | 3.33 | 2.96 | 11.11% |
| NOx/mg | 309.64 | 260.23 | 15.96% |
| Fuel/mg | 315.71 | 283.51 | 10.20% |
| Case A2 | |||
| Mean Travel Time/s | 17.97 | 14.59 | 18.81% |
| Mean Speed/m/s | 8.62 | 9.37 | 8.70% |
| Mean Halts Per AV/s | 0.2 | 0 | 100.00% |
| Standard Deviation of Speed/m/s | 3.46 | 2.97 | 14.16% |
| NOx/mg | 336.29 | 265.26 | 21.12% |
| Fuel/mg | 340.71 | 283.44 | 16.81% |
| Case A3 | |||
| Mean Travel Time/s | 15.94 | 13.94 | 12.55% |
| Mean Speed/m/s | 8.66 | 9.57 | 10.51% |
| Mean Halts Per AV/s | 0.32 | 0 | 100.00% |
| Standard Deviation of Speed/m/s | 3.40 | 2.97 | 12.65% |
| NOx/mg | 301.45 | 256.91 | 14.78% |
| Fuel/mg | 307.72 | 280.25 | 8.93% |
| Case A4 | |||
| Mean Travel Time/s | 16.87 | 13.96 | 17.25% |
| Mean Speed/m/s | 8.37 | 9.23 | 10.27% |
| Mean Halts Per AV/s | 0.16 | 0 | 100.00% |
| Standard Deviation of Speed/m/s | 3.20 | 3 | 6.25% |
| NOx/mg | 265.05 | 233.49 | 11.91% |
| Fuel/mg | 273.24 | 256.56 | 6.10% |
| Evaluating Indicator | Sumo Control | Cooperative Control | Optimization Rate |
| Case B1 | |||
| Mean Travel Time/s | 15.46 | 13.05 | 15.59% |
| Mean Speed/m/s | 9.27 | 9.73 | 4.96% |
| Mean Halts Per AV/s | 0.13 | 0 | 100.00% |
| Standard Deviation of Speed/m/s | 3.23 | 2.95 | 8.67% |
| NOx/mg | 310.36 | 256.48 | 17.36% |
| Fuel/mg | 316.01 | 283.29 | 10.35% |
| Case B2 | |||
| Mean Travel Time/s | 16.87 | 13.7 | 18.79% |
| Mean Speed/m/s | 8.95 | 9.7 | 8.38% |
| Mean Halts Per AV/s | 0.18 | 0 | 100.00% |
| Standard Deviation of Speed/m/s | 3.23 | 2.96 | 8.36% |
| NOx/mg | 314.05 | 257.7 | 17.94% |
| Fuel/mg | 319.5 | 284 | 11.11% |
| Case B3 | |||
| Mean Travel Time/s | 20.99 | 18.25 | 13.05% |
| Mean Speed/m/s | 7.33 | 7.57 | 3.27% |
| Mean Halts Per AV/s | 0.45 | 0 | 100.00% |
| Standard Deviation of Speed/m/s | 3.55 | 2.96 | 16.62% |
| NOx/mg | 349.41 | 280.28 | 19.78% |
| Fuel/mg | 353.92 | 306.03 | 13.53% |
| Case B4 | |||
| Mean Travel Time/s | 15.22 | 13.15 | 13.60% |
| Mean Speed/m/s | 8.68 | 9.67 | 11.41% |
| Mean Halts Per AV/s | 0.38 | 0 | 100.00% |
| Standard Deviation of Speed/m/s | 3.39 | 2.95 | 12.98% |
| NOx/mg | 294.80 | 257.24 | 12.74% |
| Fuel/mg | 302.33 | 283.22 | 6.32% |
Disclaimer/Publisher’s Note: The statements, opinions and data contained in all publications are solely those of the individual author(s) and contributor(s) and not of MDPI and/or the editor(s). MDPI and/or the editor(s) disclaim responsibility for any injury to people or property resulting from any ideas, methods, instructions or products referred to in the content. |
© 2024 by the authors. Licensee MDPI, Basel, Switzerland. This article is an open access article distributed under the terms and conditions of the Creative Commons Attribution (CC BY) license (https://creativecommons.org/licenses/by/4.0/).
Share and Cite
Li, P.; Liu, M.; Zhu, M.; Yao, M. Preemptive-Level-Based Cooperative Autonomous Vehicle Trajectory Optimization for Unsignalized Intersection with Mixed Traffic. Electronics 2025, 14, 71. https://doi.org/10.3390/electronics14010071
Li P, Liu M, Zhu M, Yao M. Preemptive-Level-Based Cooperative Autonomous Vehicle Trajectory Optimization for Unsignalized Intersection with Mixed Traffic. Electronics. 2025; 14(1):71. https://doi.org/10.3390/electronics14010071
Chicago/Turabian StyleLi, Pengrui, Miaomiao Liu, Mingyue Zhu, and Minkun Yao. 2025. "Preemptive-Level-Based Cooperative Autonomous Vehicle Trajectory Optimization for Unsignalized Intersection with Mixed Traffic" Electronics 14, no. 1: 71. https://doi.org/10.3390/electronics14010071
APA StyleLi, P., Liu, M., Zhu, M., & Yao, M. (2025). Preemptive-Level-Based Cooperative Autonomous Vehicle Trajectory Optimization for Unsignalized Intersection with Mixed Traffic. Electronics, 14(1), 71. https://doi.org/10.3390/electronics14010071
