A Behavior Model of SiC DMOSFET Considering Thermal-Runaway Failures in Short-Circuit and Avalanche Breakdown Faults
Abstract
1. Introduction
2. Physical Basis
2.1. Finite-Element Cell Model and Fault Simulations
2.2. Cell-Level Physical Processes of Short-Circuit Fault and the Thermal-Runaway Failure in It
2.2.1. Cell-Level Physical Processes of Short-Circuit Fault
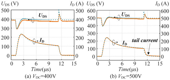
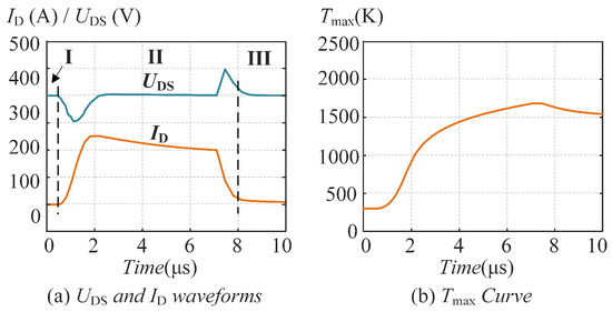
- In stage I, gate drive voltage UGS = −5 V and the SiC MOSFET is blocking. As shown in Figure 4a, the value of cell-level total current density is very low, which means almost no current flows through the device.
- In stage II, UGS increases to 20 V and the device turns on. As shown in Figure 4b, the current begins to flow through the channel at the cell level. ID increases and then falls because the channel electron mobility falls with increasing temperature.
- In stage III, UGS turns to −5 V and the device turns off. ID does not drop directly to zero, but first drops sharply to a small value and then slowly to zero, which is called tail current. At the cell level, as provided in Figure 4c, there is still leakage current flowing at the channel, but the value is far lower than that in stage II. The tail current is composed of the leakage current and it increases with the length of short-circuit pulse and maximum lattice temperature, indicating that high temperature is a main cause of non-negligible tail current [9,25,26].
2.2.2. Discussion on the Short-Circuit Failure Mechanism
2.3. Cell-Level Physical Processes of Avalanche Breakdown Fault and the Thermal-Runaway Failure within It
2.3.1. Cell-Level Physical Processes of Short-Circuit Fault
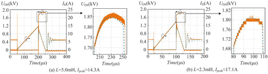
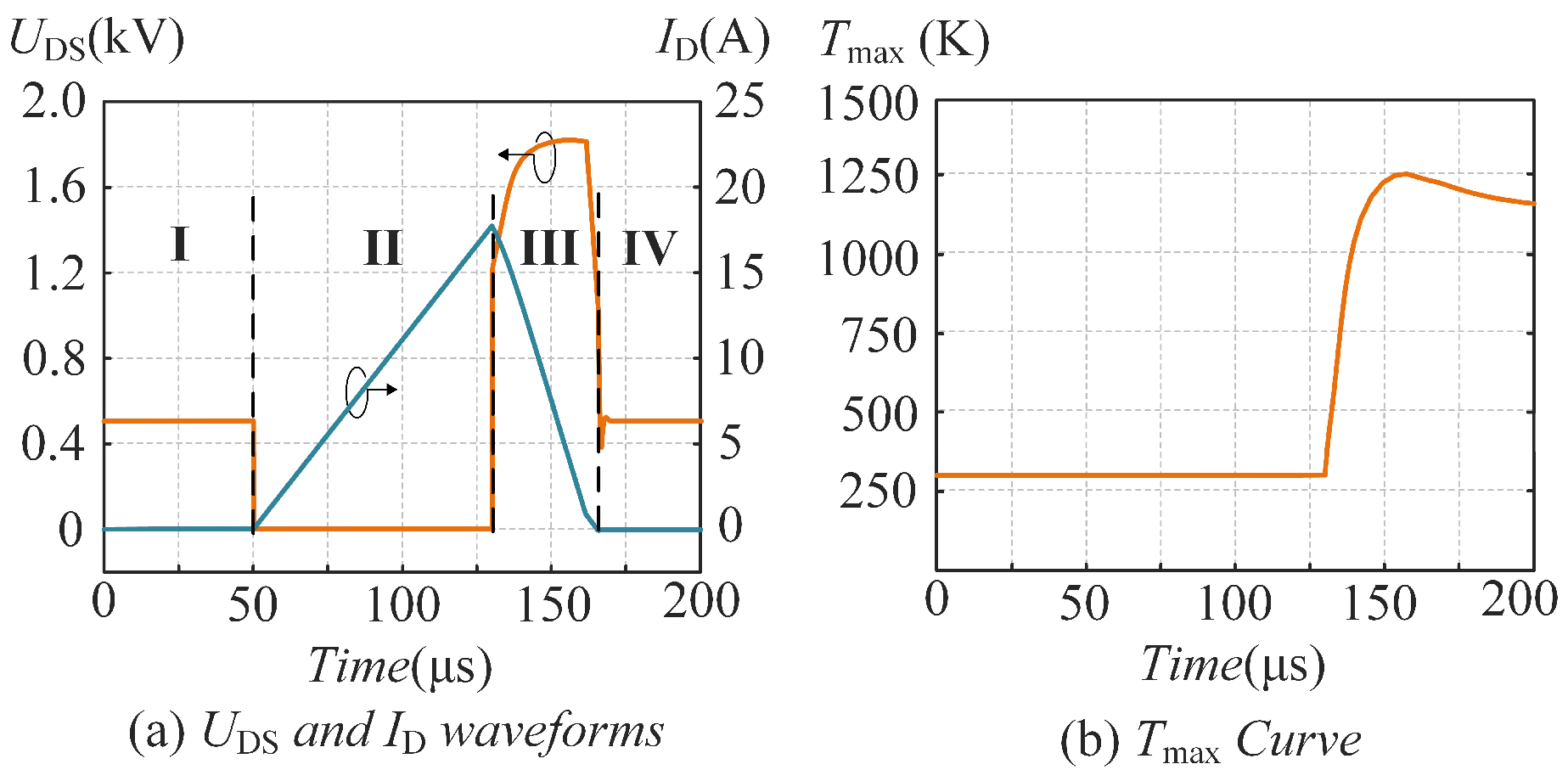
- In stage I, the device is in off-state. As shown in Figure 8a, at the cell level, there is only leakage current flow through the channel and the value is so small that it can be ignored.
- In stage II, the device turns on. ID increases linearly because a large inductance is in series. At the cell level, the current flows through a thin channel closed to the SiC/SiO2 interface, just like the stage II of short-circuit fault.
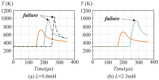
- In stage III, UGS returns to −5 V and the device withstands very high voltage stress, causing an avalanche breakdown fault to occur at that moment. During a fault, UDS is clamped to breakdown voltage, and it varies with increasing Tmax. At the cell level, as shown in Figure 8c, it is obvious that the PN junction at the corner of the P-well region is broken down and the current path changes from the channel to the P-well region.
- In stage IV, ID decreases to zero and UDS drops to VDC, which means the avalanche breakdown fault is over and the device returns to the blocking state. The cell-level total current density distribution is just the same as that in stage I.
2.3.2. Discussion on the Avalanche Breakdown Failure Mechanism
3. Working Principles of the Proposed Behavior Model
4. Models and Calculations
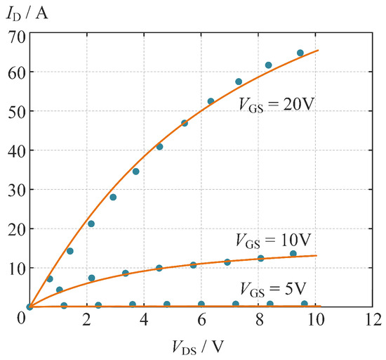
4.1. Channel Current IMOS, Parasitic Junction Capacitance CGS, CDS, CGD, and Body Diode D
4.2. Drain Resistance RD
4.3. Leakage Current ILEAK
4.4. Junction Temperature
4.5. Physical Parameters
4.5.1. Intrinsic Carrier Concentration
4.5.2. Threshold Voltage
4.5.3. Carrier Mobility
5. Model Validation
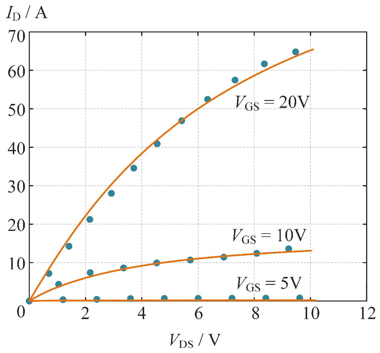
5.1. Static Characteristics
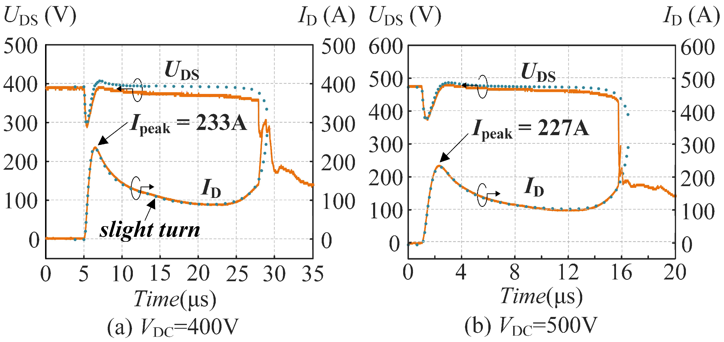
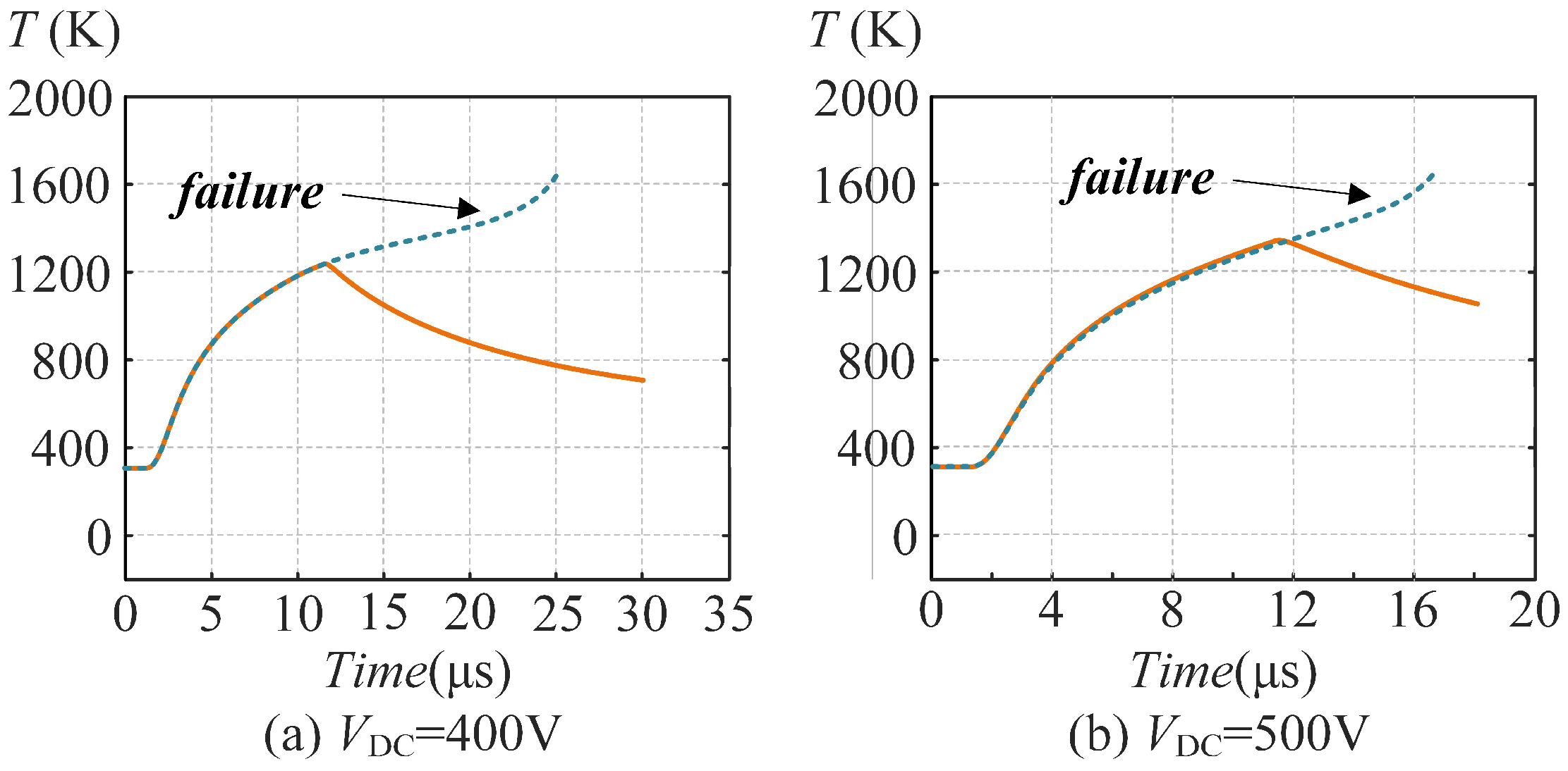
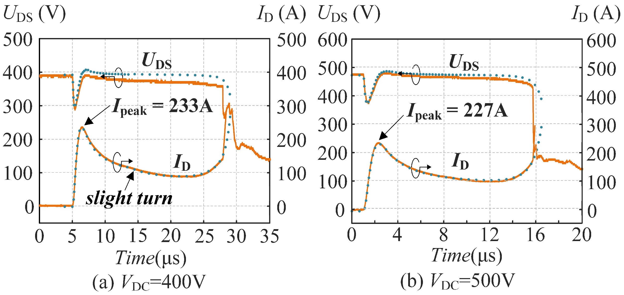
5.2. Short-Circuit Faults and Failures
5.3. Avalanche Breakdown Faults and Failures
6. Conclusions
Author Contributions
Funding
Data Availability Statement
Conflicts of Interest
Appendix A
| Symbol | Quantity | Value | Symbol | Quantity | Value |
|---|---|---|---|---|---|
| Cox | Capacitance of oxide per unit area | 8.63 × 10−8 F/cm2 | WCELL | Width of a cell | 4.0 μm |
| LCH | Length of channel | 0.5 μm | WJFET | Width of JFET region | 0.8 μm |
| LCELL | Total with of channel considering the number of cells | 8.2 × 105 μm | q | Elementary charge | 1.602 × 10−19 C |
| λ | Channel length modulation coefficient | 5.44 × 10−5 V−1 | kB | Boltzmann constant | 1.38 × 10−23 J/K |
| Gate-source, drain-source capacitance | 1130 pF | εSiC | Permittivity of 4H-SiC | 8.553 × 10−13 F/cm | |
| Cr0 | Parameters used for fitting parasitic junction capacitances Crss | 381.2 pF | S | Equivalent junction area generating leakage current | 0.18 cm2 |
| Vr | Ditto | 19.7 V | τg | Carrier lifetime | 2.0 ns |
| Mr | Ditto | 0.0084 | NCH | Equivalent doping concentration of the channel | 8.0 × 1016 cm−3 |
| δr | Ditto | 872.7 pF | me | Electron mass | 9.1 × 10−31 kg |
| γr | Ditto | 0.1861 V−1 | h | Planck constant | 6.63 × 10−30 kg⸱cm2/s |
| CrssFD | Ditto | −363.3 pF | nF | Density of fixed charge at the SiC/SiO2 interface | 1.3 × 1012 cm−2 |
| Co0 | Parameters used for fitting parasitic junction capacitances Coss | 1747.9 pF | ΦM | Work function of the poly silicon gate | 4.05 eV |
| Vo | Ditto | 2.6 V | χ | Electronic affinity of 4H-SiC | 3.60 eV |
| Mo | Ditto | 0.79 | μMIN | Parameters used in μB calculation | 40 |
| δo | Ditto | −91.8 pF | μL | Ditto | 950 |
| γo | Ditto | 100 V−1 | NREF | Ditto | 1.94 × 1017 cm−3 |
| CossFD | Ditto | 80.1 pF | K1 | Parameters used in μAC calculation | 1.0 × 106 cm/s |
| NJFET | Equivalent doping concentration of JFET region | 5.0 × 1016 cm−3 | K2 | Ditto | 3.23 × 106K⸱cm⸱s−1⸱(V/cm)−2/3 |
| NDR | Doping of N-type drift layer | 9.0 × 1015 cm−3 | ΓSR | Parameters used in μSR calculation | 5.82 × 1014 V/s |
| NPWELL | Equivalent doping of P-well region | 1.0 × 1017 cm−3 | ΓCit | Parameters used in μCit calculation | 2.375 eV−1cm−2 |
| HJFET | Height of JFET region | 1.0 μm | nSCR | Ditto | 1.4 × 1012 cm−2 |
| HEPI | Thickness of epitaxial layer | 12.0 μm | ζC | Ditto | 0.8 |
| HDIFF | Thickness of current diffusion layer | 4.0 μm |
Appendix B
| Symbol | Quantity | Symbol | Quantity |
|---|---|---|---|
| NA | Acceptor impurity doping concentration in the channel | WTA | The temperature-dependent band-tail energy parameter that governs the distribution of the states close to the edge of band |
| ND | Donor impurity doping concentration in the channel | DIT,MA | Band tails of acceptors distributed in the upper bandgap |
| EA | Ionization energy of acceptor impurity | DIT,T0 | Deep-level trap distribution |
| ED | Ionization energy of donor impurity | VFB | Flat band voltage |
| EV | Energy level of valence band | γ | Bulk coefficient |
| EC | Energy level of conduction band | ΦF | Fermi potential in the bulk |
References
- Kimoto, T. Material Science and Device Physics in SiC Technology for High-Voltage Power Devices. Jpn. J. Appl. Phys. 2015, 54, 040103. [Google Scholar] [CrossRef]
- She, X.; Huang, A.Q.; Lucía, Ó.; Ozpineci, B. Review of Silicon Carbide Power Devices and Their Applications. IEEE Trans. Ind. Electron. 2017, 64, 8193–8205. [Google Scholar] [CrossRef]
- Millán, J.; Godignon, P.; Perpiñà, X.; Pérez-Tomás, A.; Rebollo, J. A Survey of Wide Bandgap Power Semiconductor Devices. IEEE Trans. Power Electron. 2014, 29, 2155–2163. [Google Scholar] [CrossRef]
- Zhao, T.; Wang, J.; Huang, A.Q.; Agarwal, A. Comparisons of SiC MOSFET and Si IGBT Based Motor Drive Systems. In Proceedings of the 2007 IEEE Industry Applications Annual Meeting, New Orleans, LA, USA, 23–27 September 2007; pp. 331–335. [Google Scholar]
- Srdic, S.; Liang, X.; Zhang, C.; Yu, W.; Lukic, S. A SiC-Based High-Performance Medium-Voltage Fast Charger for Plug-in Electric Vehicles. In Proceedings of the 2016 IEEE Energy Conversion Congress and Exposition (ECCE), Milwaukee, WI, USA, 18–22 September 2016; pp. 1–6. [Google Scholar]
- Ren, N.; Wang, K.L.; Wu, J.; Xu, H.; Sheng, K. Failure Mechanism Analysis of SiC MOSFETs in Unclamped Inductive Switching Conditions. In Proceedings of the 2019 31st International Symposium on Power Semiconductor Devices and ICs (ISPSD), Shanghai, China, 19–23 May 2019; pp. 183–186. [Google Scholar]
- Ceccarelli, L.; Reigosa, P.D.; Iannuzzo, F.; Blaabjerg, F. A Survey of SiC Power MOSFETs Short-Circuit Robustness and Failure Mode Analysis. Microelectron. Reliab. 2017, 76–77, 272–276. [Google Scholar] [CrossRef]
- Li, H.; Zhong, Y.; Wang, S.; Yu, R.; Chen, X.; Yao, R.; Wang, X.; Long, H. Failure Mechanism of SiC MOSFET under Different Avalanche Shocks Mode. Proc. CSEE 2019, 39, 5595–5603+5887. [Google Scholar] [CrossRef]
- Zhao, X.; Li, T.; Liang, X.; Wu, Y.; Li, C.; Zheng, Z. Investigation on SiC MOSFET’s Avalanche and Short-Circuit Failure Mechanism. In Proceedings of the 2022 IEEE 5th International Electrical and Energy Conference (CIEEC), Nangjing, China, 27–29 May 2022; pp. 3916–3921. [Google Scholar]
- Sun, K.; Wu, H.; Lu, J.; Xing, Y.; Huang, L. Improved Modeling of Medium Voltage SiC MOSFET Within Wide Temperature Range. IEEE Trans. Power Electron. 2014, 29, 2229–2237. [Google Scholar] [CrossRef]
- Mudholkar, M.; Ahmed, S.; Ericson, M.N.; Frank, S.S.; Britton, C.L.; Mantooth, H.A. Datasheet Driven Silicon Carbide Power MOSFET Model. IEEE Trans. Power Electron. 2014, 29, 2220–2228. [Google Scholar] [CrossRef]
- Kraus, R.; Castellazzi, A. A Physics-Based Compact Model of SiC Power MOSFETs. IEEE Trans. Power Electron. 2016, 31, 5863–5870. [Google Scholar] [CrossRef]
- Ji, S.; Zheng, S.; Wang, F.; Tolbert, L.M. Temperature-Dependent Characterization, Modeling, and Switching Speed-Limitation Analysis of Third-Generation 10-kV SiC MOSFET. IEEE Trans. Power Electron. 2018, 33, 4317–4327. [Google Scholar] [CrossRef]
- Duan, Z.; Fan, T.; Wen, X.; Zhang, D. Improved SiC Power MOSFET Model Considering Nonlinear Junction Capacitances. IEEE Trans. Power Electron. 2018, 33, 2509–2517. [Google Scholar] [CrossRef]
- DiMarino, C.; Hull, B. Characterization and Prediction of the Avalanche Performance of 1.2 kV SiC MOSFETs. In Proceedings of the 2015 IEEE 3rd Workshop on Wide Bandgap Power Devices and Applications (WiPDA), Blacksburg, VA, USA, 2–4 November 2015; pp. 263–267. [Google Scholar]
- Ahmed, M.R.; Todd, R.; Forsyth, A.J. Predicting SiC MOSFET Behavior Under Hard-Switching, Soft-Switching, and False Turn-On Conditions. IEEE Trans. Ind. Electron. 2017, 64, 9001–9011. [Google Scholar] [CrossRef]
- Zarebski, J.; Górecki, K. The Electrothermal Large-Signal Model of Power MOS Transistors for SPICE. IEEE Trans. Power Electron. 2010, 25, 1265–1274. [Google Scholar] [CrossRef]
- Li, H.; Wang, Y.; Zhao, X.; Sun, K.; Zhou, Z.; Xu, Y. A Junction Temperature-Based PSpice Short-Circuit Model of SiC MOSFET Considering Leakage Current. In Proceedings of the IECON 2019—45th Annual Conference of the IEEE Industrial Electronics Society, Lisbon, Portugal, 14–17 October 2019; Volume 1, pp. 5095–5100. [Google Scholar]
- Xiang, P.; Hao, R.; You, X.; Liu, S.; Jiao, H.; Li, F. Analytical Modeling of SiC MOSFETs Short-Circuit Behavior Considering Parasitic Parameters. In Proceedings of the 2020 IEEE Energy Conversion Congress and Exposition (ECCE), Detroit, MI, USA, 11–15 October 2020; pp. 2835–2841. [Google Scholar]
- Wang, Z.; Shi, X.; Tolbert, L.M.; Wang, F.; Liang, Z.; Costinett, D.; Blalock, B.J. Temperature-Dependent Short-Circuit Capability of Silicon Carbide Power MOSFETs. IEEE Trans. Power Electron. 2016, 31, 1555–1566. [Google Scholar] [CrossRef]
- Hofstetter, P.; Bakran, M.-M. Predicting Failure of SiC MOSFETs under Short Circuit and Surge Current Conditions with a Single Thermal Model. In Proceedings of the 2018 20th European Conference on Power Electronics and Applications (EPE’18 ECCE Europe), Riga, Latvia, 17–21 September 2018; pp. P.1–P.9. [Google Scholar]
- Zhou, Y.; Liu, H.; Mu, S.; Chen, Z.; Wang, B. Short-Circuit Failure Model of SiC MOSFET Including the Interface Trapped Charges. IEEE J. Emerg. Sel. Top. Power Electron. 2020, 8, 90–98. [Google Scholar] [CrossRef]
- Riccio, M.; d’Alessandro, V.; Romano, G.; Maresca, L.; Breglio, G.; Irace, A. A Temperature-Dependent SPICE Model of SiC Power MOSFETs for Within and Out-of-SOA Simulations. IEEE Trans. Power Electron. 2018, 33, 8020–8029. [Google Scholar] [CrossRef]
- Lixin, T.; Fei, Y.; Xiping, N.; Yunlai, A.; Wenting, Z.; Rui, L.; Zechen, D.; Junmin, W. Development and Analysis of 6500V SiC Power MOSFET. In Proceedings of the 2021 18th China International Forum on Solid State Lighting & 2021 7th International Forum on Wide Bandgap Semiconductors (SSLChina: IFWS), Shenzhen, China, 6–8 December 2021; pp. 6–9. [Google Scholar]
- Unger, C.; Pfost, M. Particularities of the Short-Circuit Operation and Failure Modes of SiC-MOSFETs. IEEE J. Emerg. Sel. Top. Power Electron. 2021, 9, 6432–6440. [Google Scholar] [CrossRef]
- Han, K.; Kanale, A.; Baliga, B.J.; Ballard, B.; Morgan, A.; Hopkins, D.C. New Short Circuit Failure Mechanism for 1.2kV 4H-SiC MOSFETs and JBSFETs. In Proceedings of the 2018 IEEE 6th Workshop on Wide Bandgap Power Devices and Applications (WiPDA), Atlanta, GA, USA, 31 October–2 November 2018; pp. 108–113. [Google Scholar]
- Jiang, X.; Wang, J.; Lu, J.; Chen, J.; Yang, X.; Li, Z.; Tu, C.; Shen, Z.J. Failure Modes and Mechanism Analysis of SiC MOSFET under Short-Circuit Conditions. Microelectron. Reliab. 2018, 88–90, 593–597. [Google Scholar] [CrossRef]
- Chen, X.; Chen, H.; Shi, B.; Wang, Y.; Li, X.; Zhou, C.; Li, C.; Deng, X.; Luo, H.; Wu, Y.; et al. Investigation on Short-Circuit Characterization and Optimization of 3.3-kV SiC MOSFETs. IEEE Trans. Electron. Devices 2021, 68, 184–191. [Google Scholar] [CrossRef]
- Unger, C.; Pfost, M. Investigation of Gate and Drain Leakage Currents During the Short Circuit of SiC-MOSFETs. In Proceedings of the 2020 32nd International Symposium on Power Semiconductor Devices and ICs (ISPSD), Vienna, Austria, 13–18 September 2020; pp. 238–241. [Google Scholar]
- Reigosa, P.D.; Iannuzzo, F.; Ceccarelli, L. Failure Analysis of a Degraded 1.2 kV SiC MOSFET after Short Circuit at High Temperature. In Proceedings of the 2018 IEEE International Symposium on the Physical and Failure Analysis of Integrated Circuits (IPFA), Singapore, 16–19 July 2018; pp. 1–5. [Google Scholar]
- Romano, G.; Maresca, L.; Riccio, M.; d’Alessandro, V.; Breglio, G.; Irace, A.; Fayyaz, A.; Castellazzi, A. Short-Circuit Failure Mechanism of SiC Power MOSFETs. In Proceedings of the 2015 IEEE 27th International Symposium on Power Semiconductor Devices & IC’s (ISPSD), Hong Kong, China, 10–14 May 2015; pp. 345–348. [Google Scholar]
- Riccio, M.; Castellazzi, A.; De Falco, G.; Irace, A. Experimental Analysis of Electro-Thermal Instability in SiC Power MOSFETs. Microelectron. Reliab. 2013, 53, 1739–1744. [Google Scholar] [CrossRef]
- Pulvirenti, M.; Cavallaro, D.; Bentivegna, N.; Cascino, S.; Zanetti, E.; Saggio, M. Thermal Model Development for SiC MOSFETs Robustness Analysis under Repetitive Short Circuit Tests. In Proceedings of the 2020 22nd European Conference on Power Electronics and Applications (EPE’20 ECCE Europe), Lyon, France, 7–11 September 2020; pp. P.1–P.10. [Google Scholar]
- Kakarla, B.; Ziemann, T.; Stark, R.; Natzke, P.; Grossner, U. Short Circuit Ruggedness of New Generation 1.2 kV SiC MOSFETs. In Proceedings of the 2018 IEEE 6th Workshop on Wide Bandgap Power Devices and Applications (WiPDA), Atlanta, GA, USA, 31 October 2018–2 November 2018; pp. 118–124. [Google Scholar]
- Reigosa, P.D.; Iannuzzo, F.; Ceccarelli, L. Effect of Short-Circuit Stress on the Degradation of the SiO2 Dielectric in SiC Power MOSFETs. Microelectron. Reliab. 2018, 88–90, 577–583. [Google Scholar] [CrossRef]
- Yao, K.; Yano, H.; Tadano, H.; Iwamuro, N. Investigations of SiC MOSFET Short-Circuit Failure Mechanisms Using Electrical, Thermal, and Mechanical Stress Analyses. IEEE Trans. Electron. Devices 2020, 67, 4328–4334. [Google Scholar] [CrossRef]
- Liu, J.; Zhang, G.; Wang, B.; Li, W.; Wang, J. Gate Failure Physics of SiC MOSFETs Under Short-Circuit Stress. IEEE Electron. Device Lett. 2020, 41, 103–106. [Google Scholar] [CrossRef]
- Kelley, M.D.; Pushpakaran, B.N.; Bayne, S.B. Single-Pulse Avalanche Mode Robustness of Commercial 1200 V/80 mΩ SiC MOSFETs. IEEE Trans. Power Electron. 2017, 32, 6405–6415. [Google Scholar] [CrossRef]
- Kimoto, T.; Cooper, J. Fundamentals of Silicon Carbide Technology: Growth, Characterization, Devices and Applications; John Wiley & Sons: Hoboken, NJ, USA, 2014. [Google Scholar]
- Fayyaz, A.; Yang, L.; Riccio, M.; Castellazzi, A.; Irace, A. Single Pulse Avalanche Robustness and Repetitive Stress Ageing of SiC Power MOSFETs. Microelectron. Reliab. 2014, 54, 2185–2190. [Google Scholar] [CrossRef]
- An, J.; Namai, M.; Okamoto, D.; Yano, H.; Tadano, H.; Iwamuro, N. Investigation of Maximum Junction Temperature for 4H-SiC MOSFET During Unclamped Inductive Switching Test. Electron. Commun. Jpn. 2018, 101, 24–31. [Google Scholar] [CrossRef]
- Gao, Z.; Cao, L.; Guo, Q.; Sheng, K. Experimental Investigation of the Single Pulse Avalanche Ruggedness of SiC Power MOSFETs. In Proceedings of the 2020 IEEE Applied Power Electronics Conference and Exposition (APEC), New Orleans, LA, USA, 15–19 March 2020; pp. 2601–2604. [Google Scholar]
- Liu, S.; Tong, X.; Wei, J.; Sun, W. Single-Pulse Avalanche Failure Investigations of Si-SJ-Mosfet and SiC-Mosfet by Step-Control Infrared Thermography Method. IEEE Trans. Power Electron. 2020, 35, 5180–5189. [Google Scholar] [CrossRef]
- Dchar, I.; Zolkos, M.; Buttay, C.; Morel, H. Robustness of SiC MOSFET under Avalanche Conditions. In Proceedings of the 2017 IEEE Applied Power Electronics Conference and Exposition (APEC), Tampa, FL, USA, 26–30 March 2017; pp. 2263–2268. [Google Scholar]
- Nida, S.; Kakarla, B.; Ziemann, T.; Grossner, U. Analysis of Current Capability of SiC Power MOSFETs Under Avalanche Conditions. IEEE Trans. Electron. Devices 2021, 68, 4587–4592. [Google Scholar] [CrossRef]
- Fayyaz, A.; Romano, G.; Urresti, J.; Riccio, M.; Castellazzi, A.; Irace, A.; Wright, N. A Comprehensive Study on the Avalanche Breakdown Robustness of Silicon Carbide Power MOSFETs. Energies 2017, 10, 452. [Google Scholar] [CrossRef]
- Luo, H.; Zhang, J.; Wu, H.; Zheng, F.; Qian, J.; Chen, X. Reliability and Failure Investigation of SiC MOSFET Under Avalanche. In Proceedings of the 2022 23rd International Conference on Electronic Packaging Technology (ICEPT), Dalian, China, 10–13 August 2022; pp. 1–5. [Google Scholar]
- Jiao, Y.; Zhang, J.Q.; Liu, P. Review of Avalanche Tolerance of Silicon Carbide Power MOSFETs. In Proceedings of the 2022 19th China International Forum on Solid State Lighting & 2022 8th International Forum on Wide Bandgap Semiconductors (SSLCHINA: IFWS), Suzhou, China, 7–10 February 2023; pp. 8–12. [Google Scholar]
- Yu, R.; Li, H.; Zhong, Y.; Lai, W.; Wang, X.; Yao, R.; Liu, R.; Yu, Y. Improved Temperature Estimation Model of 4H-SiC MOSFET under Avalanche Condition. In Proceedings of the 2020 4th International Conference on HVDC (HVDC), Xi’an, China, 6–9 November 2020; pp. 874–879. [Google Scholar]
- Ren, N.; Hu, H.; Wang, K.L.; Zuo, Z.; Li, R.; Sheng, K. Investigation on Single Pulse Avalanche Failure of 900V SiC MOSFETs. In Proceedings of the 2018 IEEE 30th International Symposium on Power Semiconductor Devices and ICs (ISPSD), Chicago, IL, USA, 13–17 May 2018; pp. 431–434. [Google Scholar]
- Fayyaz, A.; Castellazzi, A.; Romano, G.; Riccio, M.; Irace, A.; Urresti, J.; Wright, N. UIS Failure Mechanism of SiC Power MOSFETs. In Proceedings of the 2016 IEEE 4th Workshop on Wide Bandgap Power Devices and Applications (WiPDA), Fayetteville, AR, USA, 7–9 November 2016; pp. 118–122. [Google Scholar]
- Alexakis, P.; Alatise, O.; Hu, J.; Jahdi, S.; Gonzalez, J.O.; Ran, L.; Mawby, P.A. Analysis of Power Device Failure under Avalanche Mode Conduction. In Proceedings of the 2015 9th International Conference on Power Electronics and ECCE Asia (ICPE-ECCE Asia), Seoul, Republic of Korea, 1–5 June 2015; pp. 1833–1839. [Google Scholar]
- Pala, V.; Hull, B.; Richmond, J.; Butler, P.; Allen, S.; Palmour, J. Methodology to Qualify Silicon Carbide MOSFETs for Single Shot Avalanche Events. In Proceedings of the 2015 IEEE 3rd Workshop on Wide Bandgap Power Devices and Applications (WiPDA), Blacksburg, VA, USA, 2–4 November 2015; pp. 56–59. [Google Scholar]
- Wu, Y.; Li, C.; Zheng, Z.; Wang, L.; Liu, T.; Liu, G. A Behavior Model of Planar SiC MOSFET Considering Avalanche Breakdown. In ICWPT 2022: The Proceedings of 2022 International Conference on Wireless Power Transfer (ICWPT2022); Ma, C., Zhang, Y., Li, S., Zhao, L., Liu, M., Zhang, P., Eds.; Springer Nature: Singapore, 2023; pp. 748–765. [Google Scholar]
- Hsu, F.-J.; Hung, C.-C.; Chu, K.-T.; Lee, L.-S.; Lee, C.-Y. A Dynamic Switching Response Improved SPICE Model for SiC MOSFET with Non-Linear Parasitic Capacitance. In Proceedings of the 2020 IEEE Workshop on Wide Bandgap Power Devices and Applications in Asia (WiPDA Asia), Suita, Japan, 23–25 September 2020; pp. 1–4. [Google Scholar]
- Neamen, D.A. Semiconductor Physics and Devices: Basic Principles; Publish House of Electronics Industry: Beijing, China, 2018. [Google Scholar]
- Goldberg, Y.; Levinshtein, M.; Rumyantsev, S. Properties of Advanced Semiconductor Materials: GaN, AIN, InN, BN, SiC, SiGe; John Wiley & Sons: Hoboken, NJ, USA, 2001; Volume 25. [Google Scholar]
- Arnold, E.; Alok, D. Effect of Interface States on Electron Transport in 4H-SiC Inversion Layers. IEEE Trans. Electron. Devices 2001, 48, 1870–1877. [Google Scholar] [CrossRef]
- Masetti, G.; Severi, M.; Solmi, S. Modeling of Carrier Mobility against Carrier Concentration in Arsenic-, Phosphorus-, and Boron-Doped Silicon. IEEE Trans. Electron. Devices 1983, 30, 764–769. [Google Scholar] [CrossRef]
- Pérez-Tomás, A.; Brosselard, P.; Godignon, P.; Millán, J.; Mestres, N.; Jennings, M.R.; Covington, J.A.; Mawby, P.A. Field-Effect Mobility Temperature Modeling of 4H-SiC Metal-Oxide-Semiconductor Transistors. J. Appl. Phys. 2006, 100, 114508. [Google Scholar] [CrossRef]
- Zeng, Y.A.; White, M.H.; Das, M.K. Electron Transport Modeling in the Inversion Layers of 4H and 6H–SiC MOSFETs on Implanted Regions. Solid-State Electron. 2005, 49, 1017–1028. [Google Scholar] [CrossRef]
- Tilak, V.; Matocha, K.; Dunne, G. Electron-Scattering Mechanisms in Heavily Doped Silicon Carbide MOSFET Inversion Layers. IEEE Trans. Electron. Devices 2007, 54, 2823–2829. [Google Scholar] [CrossRef]
- Dhar, S.; Haney, S.; Cheng, L.; Ryu, S.-R.; Agarwal, A.K.; Yu, L.C.; Cheung, K.P. Inversion Layer Carrier Concentration and Mobility in 4H–SiC Metal-Oxide-Semiconductor Field-Effect Transistors. J. Appl. Phys. 2010, 108, 054509. [Google Scholar] [CrossRef]
- Powell, S.K.; Goldsman, N.; McGarrity, J.M.; Bernstein, J.; Scozzie, C.J.; Lelis, A. Physics-Based Numerical Modeling and Characterization of 6H-Silicon-Carbide Metal–Oxide–Semiconductor Field-Effect Transistors. J. Appl. Phys. 2002, 92, 4053–4061. [Google Scholar] [CrossRef]
- Arnold, E. Charge-Sheet Model for Silicon Carbide Inversion Layers. IEEE Trans. Electron. Devices 1999, 46, 497–503. [Google Scholar] [CrossRef]
- Licciardo, G.D.; Di Benedetto, L.; Bellone, S. Modeling of the SiO2/SiC Interface-Trapped Charge as a Function of the Surface Potential in 4H-SiC Vertical-DMOSFET. IEEE Trans. Electron. Devices 2016, 63, 1783–1787. [Google Scholar] [CrossRef]
- Haasmann, D.; Dimitrijev, S. Energy Position of the Active Near-Interface Traps in Metal–Oxide–Semiconductor Field-Effect Transistors on 4H–SiC. Appl. Phys. Lett. 2013, 103, 113506. [Google Scholar] [CrossRef]
- Potbhare, S.; Goldsman, N.; Lelis, A.; McGarrity, J.M.; McLean, F.B.; Habersat, D. A Physical Model of High Temperature 4H-SiC MOSFETs. IEEE Trans. Electron. Devices 2008, 55, 2029–2040. [Google Scholar] [CrossRef]





















| i | 1 | 2 | 3 | 4 | 5 | 6 | 7 | 8 | 9 | 10 | 11 | 12 | 13 | 14 |
|---|---|---|---|---|---|---|---|---|---|---|---|---|---|---|
| Rthi (mK/W) | 13.3 | 13.3 | 37.8 | 36.9 | 83.6 | 58.4 | 43.2 | 51.2 | 51.9 | 47.5 | 46.6 | 58.7 | 40.8 | 10.4 |
| Cthi (mJ/K) | 0.424 | 0.341 | 1.32 | 1.58 | 1.88 | 2.64 | 8.50 | 14.2 | 26.0 | 47.8 | 102 | 165 | 282 | 2410 |
| Instruments | Types | Parameters |
|---|---|---|
| DC power supply | Magna-Power XR6000 | 0~6000 V |
| Oscilloscope | Tektronix MSO58 | 500 MHz |
| Voltage probe | Tektronix THDP0100 | 6000 Vpk/600 Vpk |
| Current probe | CWTUM/06 | 120 A |
| Working Conditions | Measured | Simulated | Error |
|---|---|---|---|
| L = 5.0 mH, Ipeak = 19.2 A | 32.82 μs | 32.75 μs | 0.2% |
| L = 5.0 mH, Ipeak = 24.1 A | 17.47 μs | 18.05 μs | 3.3% |
| L = 2.3 mH, Ipeak = 25.1 A | 25.39 μs | 25.80 μs | 1.7% |
| Working Conditions | Measured | Simulated | Error |
|---|---|---|---|
| VDC = 500 V, L = 5.0 mH | 837.6 mJ | 802.9 mJ | 4.14% |
| VDC = 500 V, L = 2.3 mH | 727.4 mJ | 749.7 mJ | 3.06% |
Disclaimer/Publisher’s Note: The statements, opinions and data contained in all publications are solely those of the individual author(s) and contributor(s) and not of MDPI and/or the editor(s). MDPI and/or the editor(s) disclaim responsibility for any injury to people or property resulting from any ideas, methods, instructions or products referred to in the content. |
© 2024 by the authors. Licensee MDPI, Basel, Switzerland. This article is an open access article distributed under the terms and conditions of the Creative Commons Attribution (CC BY) license (https://creativecommons.org/licenses/by/4.0/).
Share and Cite
Wu, Y.; Li, C.; Zheng, Z.; Wang, L.; Zhao, W.; Zou, Q. A Behavior Model of SiC DMOSFET Considering Thermal-Runaway Failures in Short-Circuit and Avalanche Breakdown Faults. Electronics 2024, 13, 996. https://doi.org/10.3390/electronics13050996
Wu Y, Li C, Zheng Z, Wang L, Zhao W, Zou Q. A Behavior Model of SiC DMOSFET Considering Thermal-Runaway Failures in Short-Circuit and Avalanche Breakdown Faults. Electronics. 2024; 13(5):996. https://doi.org/10.3390/electronics13050996
Chicago/Turabian StyleWu, Yifan, Chi Li, Zedong Zheng, Lianzhong Wang, Wenxian Zhao, and Qifeng Zou. 2024. "A Behavior Model of SiC DMOSFET Considering Thermal-Runaway Failures in Short-Circuit and Avalanche Breakdown Faults" Electronics 13, no. 5: 996. https://doi.org/10.3390/electronics13050996
APA StyleWu, Y., Li, C., Zheng, Z., Wang, L., Zhao, W., & Zou, Q. (2024). A Behavior Model of SiC DMOSFET Considering Thermal-Runaway Failures in Short-Circuit and Avalanche Breakdown Faults. Electronics, 13(5), 996. https://doi.org/10.3390/electronics13050996

