Gate-Driving Performance Evaluation Based on a New Figure of Merit
Abstract
1. Introduction
- An algorithm to calculate the FOM in experimental switching waveforms that takes into account important aspects in the extraction of switching patterns: the duration of extraction, centering the extraction time interval, and the sampling period.
- An evaluation of the effects on the FOM at different sampling periods and different noise levels.
- A definition of a criterion to select an adequate sampling period.
- The implementation of the FOM to evaluate switching waveforms on an experimental platform.
2. Definitions
2.1. Time and Frequency Spread
2.2. Heisenberg–Gabor Inequality
2.3. Model of a Switching Waveform
2.4. Key Properties of Switching Patterns
2.5. Figure of Merit Definition
2.5.1. Theoretical Analysis of Symmetric Waveforms
2.5.2. Practical Analysis for Non-Symmetric Waveforms
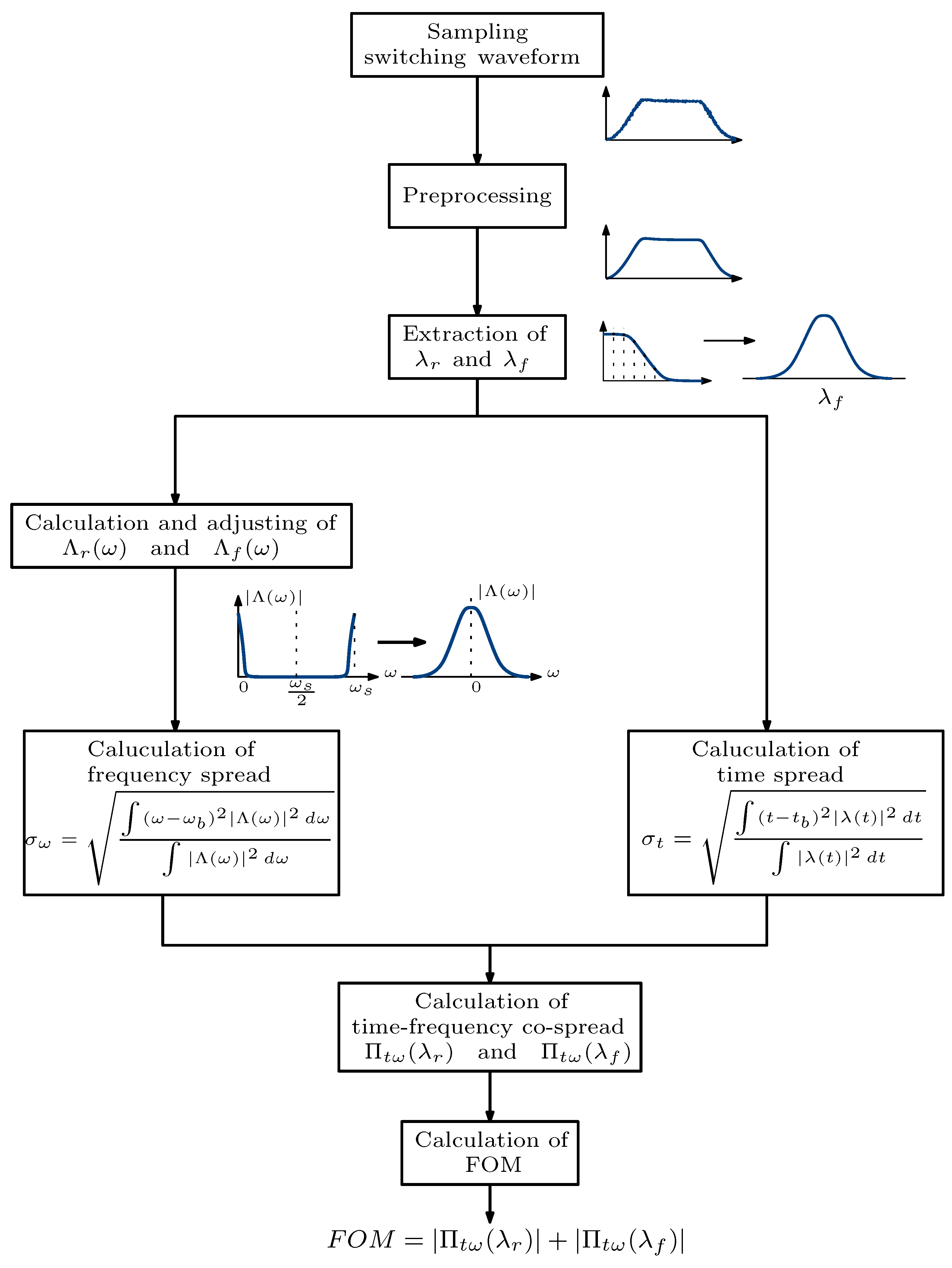
3. FOM Calculation
3.1. Preprocessing
3.2. Extraction
3.3. Calculation of and
3.4. Time–Frequency Co-Spread and FOM Calculation
4. FOM Validation
4.1. Switching Pattern Evaluation
4.2. Sampling Period
4.3. Signal-to-Noise Ratio Evaluation
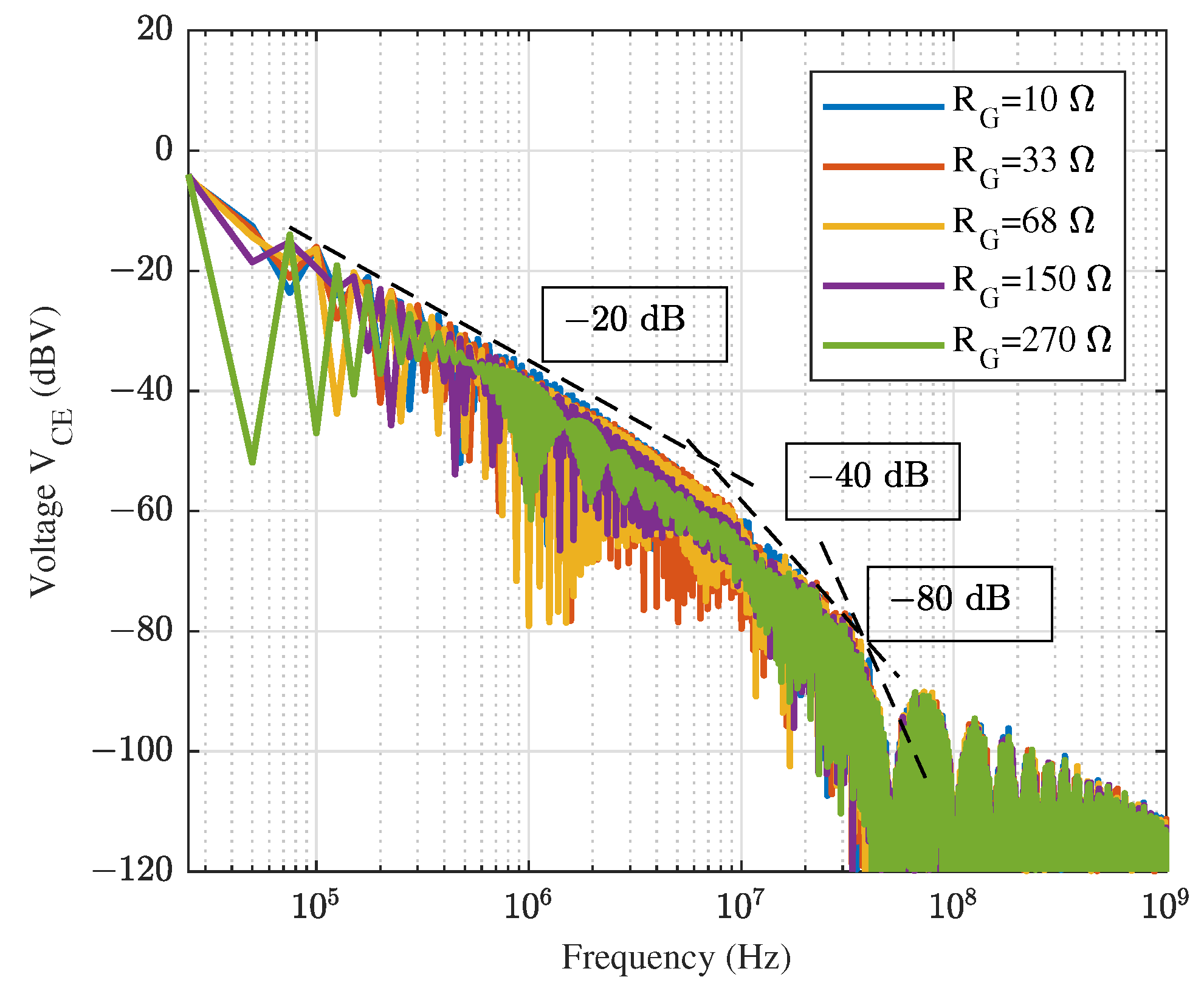
5. Practical Evaluation
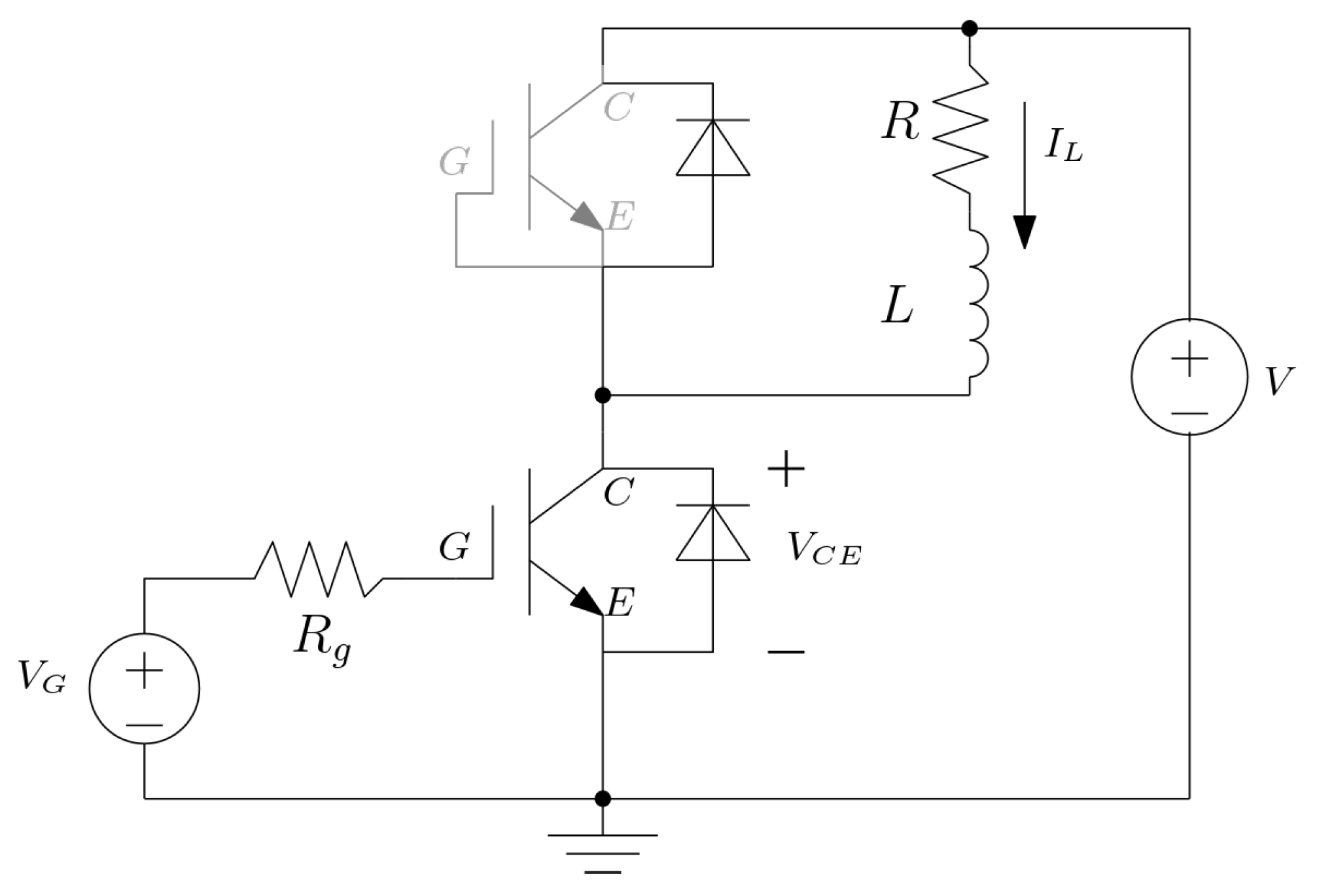
5.1. Test Circuit
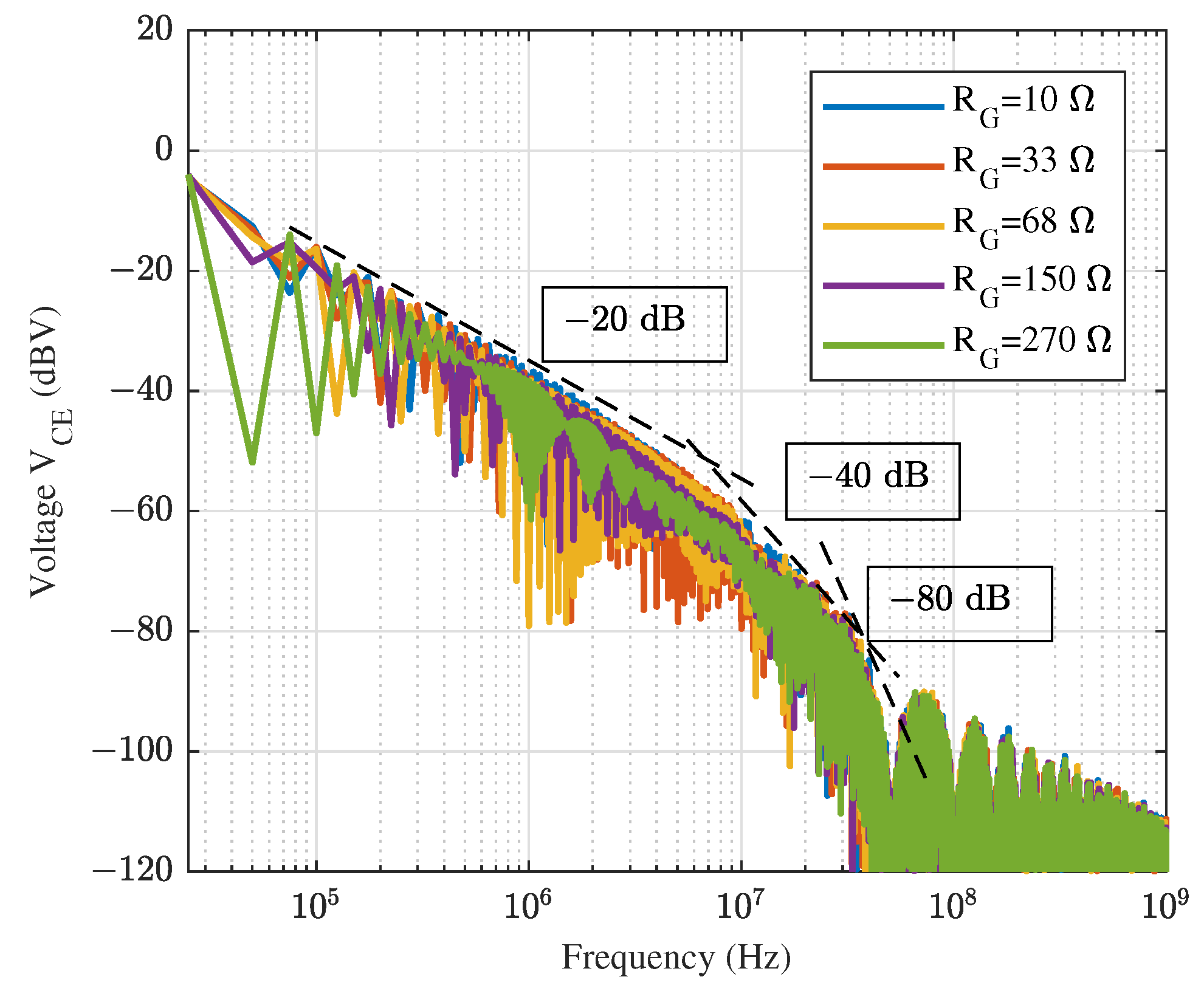
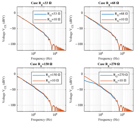
5.2. Results
5.3. Sampling Period and Filtering
6. Conclusions
Author Contributions
Funding
Data Availability Statement
Conflicts of Interest
References
- Zhang, R.; Chen, W.; Zhou, Y.; Shi, Z.; Yan, R.; Yang, X. Mathematical Modeling of EMI Spectrum Envelope Based on Switching Transient Behavior. IEEE J. Emerg. Sel. Top. Power Electron. 2022, 10, 2497–2515. [Google Scholar] [CrossRef]
- Bi, C.; Lu, R.; Li, H. Prediction of Electromagnetic Interference Noise in SiC MOSFET Module. IEEE Trans. Circuits Syst. II Express Briefs 2019, 66, 853–857. [Google Scholar] [CrossRef]
- Meng, J.; Ma, W.; Pan, Q.; Zhang, L.; Zhao, Z. Multiple Slope Switching Waveform Approximation to Improve Conducted EMI Spectral Analysis of Power Converters. IEEE Trans. Electromagn. Compat. 2006, 48, 742–751. [Google Scholar] [CrossRef]
- Costa, F.; Magnon, D. Graphical analysis of the spectra of EMI sources in power electronics. IEEE Trans. Power Electron. 2005, 20, 1491–1498. [Google Scholar] [CrossRef]
- Oswald, N.; Stark, B.H.; Holliday, D.; Hargis, C.; Drury, B. Analysis of Shaped Pulse Transitions in Power Electronic Switching Waveforms for Reduced EMI Generation. IEEE Trans. Ind. Appl. 2011, 47, 2154–2165. [Google Scholar] [CrossRef]
- Consoli, A.; Musumeci, S.; Oriti, G.; Testa, A. An innovative EMI reduction design technique in power converters. IEEE Trans. Electromagn. Compat. 1996, 38, 567–575. [Google Scholar] [CrossRef]
- Musumeci, S.; Raciti, A.; Testa, A.; Galluzzo, A.; Melito, M. Switching-behavior improvement of insulated gate-controlled devices. IEEE Trans. Power Electron. 1997, 12, 645–653. [Google Scholar] [CrossRef]
- Chen, L.; Peng, F.Z. Closed-Loop Gate Drive for High Power IGBTs. In Proceedings of the 2009 Twenty-Fourth Annual IEEE Applied Power Electronics Conference and Exposition, Washington, DC, USA, 15–19 February 2009; pp. 1331–1337. [Google Scholar]
- Lobsiger, Y.; Kolar, J.W. Closed-Loop di/dt and dv/dt IGBT Gate Driver. IEEE Trans. Power Electron. 2015, 30, 3402–3417. [Google Scholar] [CrossRef]
- Riazmontazer, H.; Rahnamaee, A.; Mojab, A.; Mehrnami, S.; Mazumder, S.K.; Zefran, M. Closed-loop control of switching transition of SiC MOSFETs. In Proceedings of the 2015 IEEE Applied Power Electronics Conference and Exposition (APEC), Charlotte, NC, USA, 15–19 March 2015; pp. 782–788. [Google Scholar]
- Wang, Z.; Shi, X.; Tolbert, L.M.; Wang, F.; Blalock, B.J. A di/dt Feedback-Based Active Gate Driver for Smart Switching and Fast Overcurrent Protection of IGBT Modules. IEEE Trans. Power Electron. 2014, 29, 3720–3732. [Google Scholar] [CrossRef]
- Idir, N.; Bausiere, R.; Franchaud, J.J. Active gate voltage control of turn-on di/dt and turn-off dv/dt in insulated gate transistors. IEEE Trans. Power Electron. 2006, 21, 849–855. [Google Scholar] [CrossRef]
- Huang, X.; Wang, F.; Liu, Y.; Lin, F.; Sun, H.; Yang, Z. Multi-Level Synthesis Gate Voltage Active Control Technology for Optimizing IGBT Switching Characteristics. IEEE J. Emerg. Sel. Top. Power Electron. 2023, 11, 2918–2929. [Google Scholar] [CrossRef]
- Takayama, H.; Okuda, T.; Hikihara, T. A Study on Suppressing Surge Voltage of SiC MOSFET Using Digital Active Gate Driver. In Proceedings of the 2020 IEEE Workshop on Wide Bandgap Power Devices and Applications in Asia (WiPDA Asia), Suita, Japan, 23–25 September 2020; pp. 1–5. [Google Scholar]
- Morikawa, R.; Sai, T.; Hata, K.; Takamiya, M. New Gate Driving Technique Using Digital Gate Driver IC to Reduce Both EMI in Specific Frequency Band and Switching Loss in IGBTs. In Proceedings of the 2020 IEEE 9th International Power Electronics and Motion Control Conference (IPEMC2020-ECCE Asia), Nanjing, China, 29 November–2 December 2020; pp. 644–651. [Google Scholar]
- Horii, K.; Yano, H.; Hata, K.; Wang, R.; Mikami, K.; Hatori, K.; Tanaka, K.; Saito, W.; Takamiya, M. Large-Current Output Digital Gate Driver for 6500 V, 1000 A IGBT Module to Reduce Switching Loss and Collector Current Overshoot. IEEE Trans. Power Electron. 2023, 38, 8075–8088. [Google Scholar] [CrossRef]
- Yang, X.; Yuan, Y.; Zhang, X.; Palmer, P.R. Shaping High-Power IGBT Switching Transitions by Active Voltage Control for Reduced EMI Generation. IEEE Trans. Ind. Appl. 2015, 51, 1669–1677. [Google Scholar] [CrossRef]
- Mohsenzade, S. A High-Voltage Series-Stacked IGBT Switch With Output Pulse Shaping Capability to Reduce EMI Generation. IEEE Trans. Electromagn. Compat. 2022, 64, 559–568. [Google Scholar] [CrossRef]
- Walder, S.; Yuan, X.; Laird, I.; Dalton, J.J.O. Identification of the temporal source of frequency domain characteristics of SiC MOSFET based power converter waveforms. In Proceedings of the 2016 IEEE Energy Conversion Congress and Exposition (ECCE), Milwaukee, WI, USA, 18–22 September 2016; pp. 1–8. [Google Scholar]
- Patin, N.; Viñals, M.L. Toward an optimal Heisenberg’s closed-loop gate drive for Power MOSFETs. In Proceedings of the IECON 2012—38th Annual Conference on IEEE Industrial Electronics Society, Montreal, QC, Canada, 25–28 October 2012; pp. 828–833. [Google Scholar]
- Martinez-Padron, D.S.; Patin, N.; Monmasson, E. Definition and Implementation of an EMI Figure of Merit for Switching Pattern in Power Converters. In Proceedings of the IECON 2022—48th Annual Conference of the IEEE Industrial Electronics Society, Brussels, Belgium, 17–20 October 2022; pp. 1–6. [Google Scholar]
- Akansu, A.N.; Haddad, R.A. Chapter 5—Time-Frequency Representations. In Multiresolution Signal Decomposition, 2nd ed.; Akansu, A.N., Haddad, R.A., Eds.; Academic Press: Cambridge, MA, USA, 2001; pp. 331–390. ISBN 9780120471416. [Google Scholar]
- Patin, N. 1—Introduction to EMC, Power Electronics Applied to Industrial Systems and Transports; Elsevier: Amsterdam, The Netherlands, 2015; Volume 4, pp. 1–21. [Google Scholar]
- Gabor, D. Theory of communication. Part 1: The analysis of information. J. Inst. Electr. Eng. Part III Radio Commun. Eng. 1946, 93, 429–441. [Google Scholar] [CrossRef]
- Paul, C.R. Introduction to Electromagnetic Compatibility, 2nd ed.; Wiley: Hoboken, NJ, USA, 2006. [Google Scholar]
- Infineon. Low Loss Duopack: IGBT with Trench and Fieldstop Technology IKW40N65ET7, TRENCHSTOP; Datasheet Version 2.2; Infineon Technologies: Neubiberg, Germany, 2020. [Google Scholar]






















| Rectangular | ∞ | indeterminate | |
| Triangular | |||
| Gaussian |
| Parameter | Estimated | Theoretical |
|---|---|---|
| Triangular | 7.88 | 7.90 |
| Triangular | 7.04 | 6.92 |
| Triangular | 0.55 | 0.547 |
| Triangular FOM | 1.1 | 1.094 |
| Gaussian | 3.59 | 3.53 |
| Gaussian | 14.03 | 14.14 |
| Gaussian | 0.49 | 0.50 |
| Gaussian FOM | 0.98 | 1 |
| Parameter | Value |
|---|---|
| Switching period (T) | 50 s |
| Threshold voltage () | 5.7 V |
| Collector voltage (V) | 40 V |
| Resistance load (R) | 12.5 |
| Inductance load (L) | 0.71 H |
Disclaimer/Publisher’s Note: The statements, opinions and data contained in all publications are solely those of the individual author(s) and contributor(s) and not of MDPI and/or the editor(s). MDPI and/or the editor(s) disclaim responsibility for any injury to people or property resulting from any ideas, methods, instructions or products referred to in the content. |
© 2024 by the authors. Licensee MDPI, Basel, Switzerland. This article is an open access article distributed under the terms and conditions of the Creative Commons Attribution (CC BY) license (https://creativecommons.org/licenses/by/4.0/).
Share and Cite
Martinez-Padron, D.S.; Patin, N.; Monmasson, E. Gate-Driving Performance Evaluation Based on a New Figure of Merit. Electronics 2024, 13, 609. https://doi.org/10.3390/electronics13030609
Martinez-Padron DS, Patin N, Monmasson E. Gate-Driving Performance Evaluation Based on a New Figure of Merit. Electronics. 2024; 13(3):609. https://doi.org/10.3390/electronics13030609
Chicago/Turabian StyleMartinez-Padron, Daniel Sting, Nicolas Patin, and Eric Monmasson. 2024. "Gate-Driving Performance Evaluation Based on a New Figure of Merit" Electronics 13, no. 3: 609. https://doi.org/10.3390/electronics13030609
APA StyleMartinez-Padron, D. S., Patin, N., & Monmasson, E. (2024). Gate-Driving Performance Evaluation Based on a New Figure of Merit. Electronics, 13(3), 609. https://doi.org/10.3390/electronics13030609

