Efficient Analysis of Noise Induced in Low-Voltage Installations Placed Inside Buildings with Lightning Protection Systems
Abstract
1. Introduction
2. MoM Formulation
3. Frequency Sampling
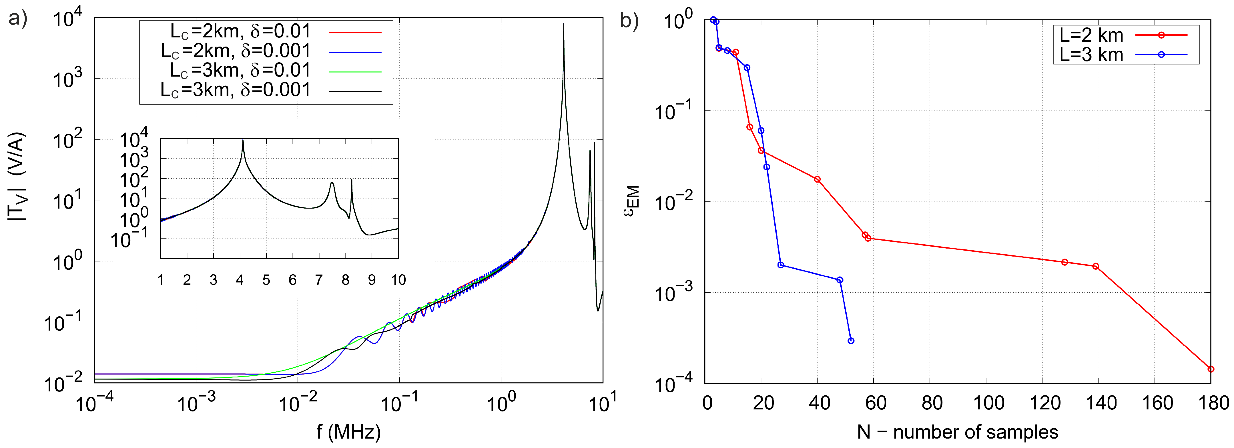
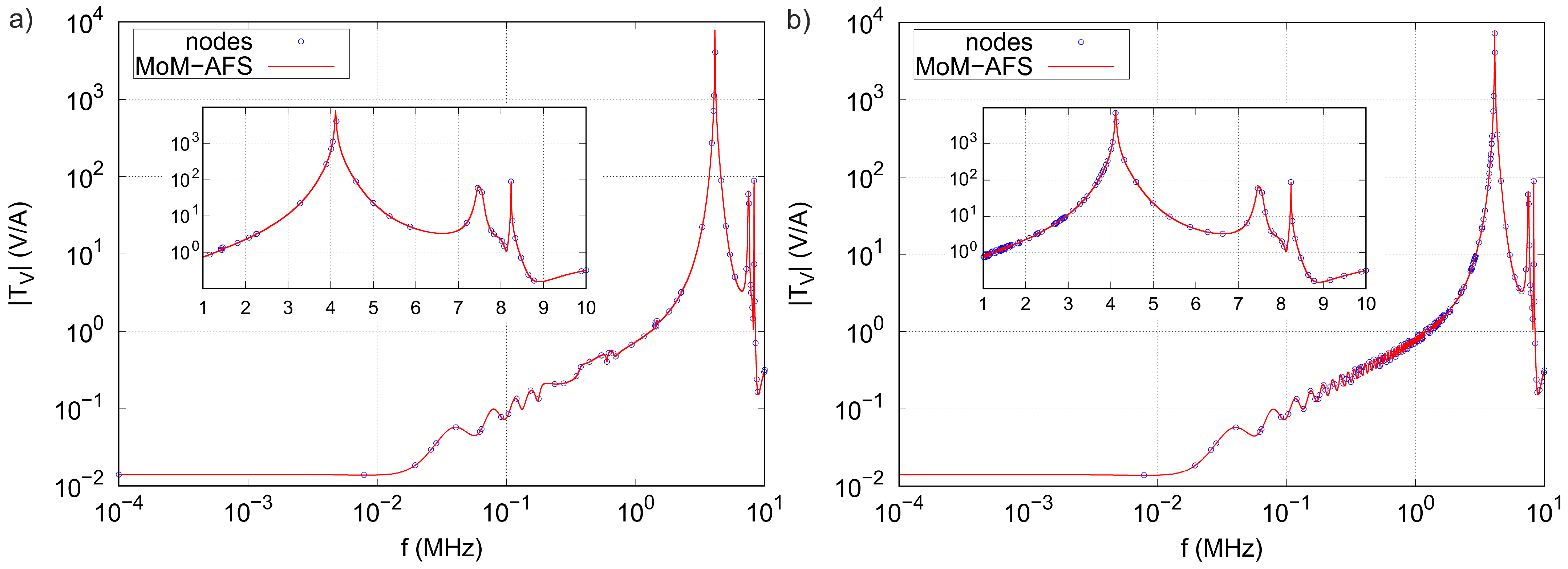
- The two data-driven interpolants and are constructed for the currently available N samples determined by the MoM. The algorithm computes their values for the assumed set of T testing frequencies , i.e., and are computed for . In the case of , it is assumed that the degree of numerator L is larger by three than the degree of denominator M, i.e., , when is odd. If is even, the degree of the numerator is larger by two (). In turn, the fitting model assumes that the degree of the denominator is larger by four () or by three (), depending on the value of . Table 1 shows the path for (blue) and (red) depending on the values of L and M. Then, for each testing frequency, the residual between the two interpolants is determined according to the following formula:where . Finally, the algorithm determines the testing frequency with the largest residual . It should be noticed that the distribution and the number of testing frequencies can be arbitrary, but these parameters affect the accuracy of the results. An insufficient number of can lead to the risk of missing critical resonances of the LPS frequency response. Since the interpolation is used to evaluate the observable at each frequency , T can be substantial. This is very important because the exact value of the sample determined by the MoM can be computed only for the frequencies that belong to the set of testing frequencies. For highly resonant structures, this is the advantage of the proposed algorithm. In the previous research combining the SB algorithm with the bisection method [32,33], for a too-small value of the convergence error, the algorithm produces a large number of samples around the resonant frequencies, determining samples with a local frequency step approaching zero. In this version of AFS, the frequency step between samples is locally determined depending on the location of the testing frequencies. In practice, regardless of T, the computational overhead of the method stems from the full-wave MoM computations performed in step 2.
- The next MoM sample and the interpolant are computed at the frequency . uses the so-called diagonal rational function with equal degrees of the numerator and the denominator () when is even. Alternatively, when is odd (see the green path in Table 1). and are used to check the convergence criterion:where is the residual and is the assumed convergence error. If (9) is satisfied, then the adaptive algorithm terminates. Otherwise, the algorithm goes back to step 1 and the whole process repeats for the number of MoM samples increased by one. Since the number of nodes determined rigorously by the MoM increases in each iteration, the interpolating functions return more accurate results in each iteration (i.e., ), and, finally, the residual is less than the convergence error .
4. Results
- Determine the transmittance , e.g., for the noise voltage:where is the observed voltage and is the current at the channel base. In this approach, the lightning channel is modeled by a vertical monopole antenna excited at its base by a unit voltage generator—see the numerical model description in the next section [55,56]. This means that is the current at the point of the 1 V generator location. For other observables, the voltage in (13) is replaced by the value of the current and of the electric or magnetic field at the point of observation. The transmittance uniquely characterizes the frequency properties of the observable, regardless of the lightning parameters.
- Determine the sought noise signal for the assumed stroke:where is the assumed lightning current in the frequency domain. In this work, a double exponential expression of the lightning current waveform is used and given in the frequency domain bywhere is the peak value, k is a dimensionless constant for the correction of the peak current and and are the front and tail time constants, respectively. All these parameters depend on the assumed lightning current at the channel base [2,3,55].
- Use IFT to compute the noise signal in the time domain. Of course, the maximum frequency of the considered characteristics and must be high enough to obtain good-quality time-domain waveforms.
4.1. Verification
4.2. Performance of AFS Algorithm
5. Conclusions
Author Contributions
Funding
Data Availability Statement
Conflicts of Interest
Abbreviations
| AFS | Adaptive Frequency Sampling |
| BNs | Bounding Networks |
| EFIE | Electric-Field Integral Equation |
| EM | Electromagnetic |
| IFT | Inverse Fourier Transformation |
| LPS | Lightning Protection System |
| LV | Low Voltage |
| MoM | Method of Moments |
| MOR | Model Order Reduction |
| PEC | Perfect Electric Conductor |
| SB | Stöer–Bulirsch |
References
- Piantini, A. Lightning-induced voltages on low-voltage distribution lines. Electr. Power Syst. Res. 2024, 233, 110526. [Google Scholar] [CrossRef]
- Metwally, I.A.; Heidler, F.H. Computation of transient overvoltages in low-voltage installations during direct strikes to different lightning protection systems. IEEE Trans. Electromagn. Compat. 2007, 49, 602–613. [Google Scholar] [CrossRef]
- Metwally, I.A.; Heidler, F.H. Lightning transients in low-voltage installations inside different types of class II lightning protection systems. IEEE Trans. Power Del. 2009, 24, 930–938. [Google Scholar] [CrossRef]
- Chikeur, H.; Nekhoul, B.; Harrat, B.; Khelifi, B. Lightning induced disturbances in the power network considering losses, frequency effect and non-linearities. Electr. Power Syst. Res. 2023, 223, 109565. [Google Scholar] [CrossRef]
- Formisano, A.; Hernández, J.C.; Petrarca, C.; Sanchez-Sutil, F. Modeling of PV module and DC/DC converter assembly for the analysis of induced transient response due to nearby lightning strike. Electronics 2021, 10, 120. [Google Scholar] [CrossRef]
- Ma, Z.; Liu, J.; Duan, Z.; Shi, C.; He, S. Analysis of indirect lightning effects on low-noise amplifier and protection design. Electronics 2023, 12, 4912. [Google Scholar] [CrossRef]
- Tatematsu, A.; Rachidi, F.; Rubinstein, M. Three-dimensional FDTD-based simulation of induced surges in secondary circuits owing to primary-circuit surges in substations. IEEE Trans. Electromagn. Compat. 2021, 63, 1078–1089. [Google Scholar] [CrossRef]
- Zhang, C.; Xing, H.; Li, C.; Cai, R.; Lv, D. Micro-degradation characteristics and mechanism of ZnO varistors under multi-pulse lightning strike. Energies 2020, 13, 2620. [Google Scholar] [CrossRef]
- Khurshid, Z.M.; Ab Aziz, N.F.; Rhazali, Z.A.; Ab Kadir, M.Z.A. Impact of geomagnetically induced currents on high voltage transformers in Malaysian power network and its mitigation. IEEE Access 2021, 9, 167204–167217. [Google Scholar] [CrossRef]
- Lo Piparo, G.B.; Kisielewicz, T.; Mazzetti, C.; Rousseau, A. Selection procedures for surge protective devices according to the probability of damage. Electr. Power Syst. Res. 2017, 146, 321–330. [Google Scholar] [CrossRef]
- IEC Standard 62305-4; Protection Against Lightning—Part 4: Electrical and Electronic Systems Within Structures. International Electrotechnical Commission: Geneva, Switzerland, 2011.
- Poljak, D. Advanced Modeling in Computational Electromagnetic Compatibility; Wiley-Interscience/John Wiley & Sons, Inc.: Hoboken, NJ, USA, 2007. [Google Scholar]
- Stracqualursi, E.; Araneo, R.; Andreotti, A.; Brandão Faria, J.; Silveira, F.H.; Visacro, S. Effects of macromodeling on the simulation of transient events caused by direct lightning to overhead power lines. Electr. Power Syst. Res. 2024, 235, 110866. [Google Scholar] [CrossRef]
- McDonald, T.; Fisher, R.; Rigden, G.; Perala, R. Parallel FDTD electromagnetic effects simulation using on-demand cloud HPC resources. In Proceedings of the 2013 IEEE International Symposium on Electromagnetic Compatibility, Denver, CO, USA, 5–9 August 2013; pp. 499–502. [Google Scholar]
- Stefański, T.; Drysdale, T.D. Parallel implementation of the ADI-FDTD method. Microw. Opt. Technol. Lett. 2009, 51, 1298–1304. [Google Scholar] [CrossRef]
- Ergul, Ö.; Gurel, L. Accurate solutions of extremely large integral-equation problems in computational electromagnetics. Proc. IEEE 2013, 101, 342–349. [Google Scholar] [CrossRef]
- Krakiwsky, S.E.; Turner, L.E.; Okoniewski, M.M. Graphics processor unit (GPU) acceleration of finite-difference time-domain (FDTD) algorithm. In Proceedings of the 2004 IEEE International Symposium on Circuits and Systems, Vancouver, BC, Canada, 23–26 May 2004; pp. 265–268. [Google Scholar]
- Dziekonski, A.; Sypek, P.; Lamecki, A.; Mrozowski, M. Accuracy, memory, and speed strategies in GPU-based finite-element matrix-generation. IEEE Antennas Wirel. Propag. Lett. 2011, 10, 1346–1349. [Google Scholar] [CrossRef]
- Topa, T.; Karwowski, A.; Noga, A. Using GPU with CUDA to accelerate MoM-based electromagnetic simulation of wire-grid models. IEEE Antennas Wirel. Propag. Lett. 2011, 10, 342–345. [Google Scholar] [CrossRef]
- Waidyasooriya, H.M.; Hariyama, M. FPGA-based deep-pipelined architecture for FDTD acceleration using OpenCL. In Proceedings of the 2016 IEEE/ACIS 15th International Conference on Computer and Information Science (ICIS), Okayama, Japan, 26–29 June 2016; pp. 1–6. [Google Scholar]
- Topa, T. Porting wire-grid MoM framework to reconfigurable computing technology. IEEE Antennas Wirel. Propag. Lett. 2020, 19, 1630–1633. [Google Scholar] [CrossRef]
- Topa, T.; Noga, A.; Stefanski, T.P. FPGA acceleration of matrix-assembly phase of RWG-based MoM. IEEE Antennas Wirel. Propag. Lett. 2022, 21, 1847–1851. [Google Scholar] [CrossRef]
- Antonini, G.; Deschrijver, D.; Dhaene, T. Broadband rational macromodeling based on the adaptive frequency sampling algorithm and the partial element equivalent circuit method. IEEE Trans. Electromagn. Compat. 2008, 50, 128–137. [Google Scholar] [CrossRef]
- Wittig, T.; Schuhmann, R.; Weiland, T. Model order reduction for large systems in computational electromagnetics. Linear Algebra Its Appl. 2006, 415, 499–530. [Google Scholar] [CrossRef]
- Denecker, B.; Olyslager, F.; Knockaert, L.; De Zutter, D. Generation of FDTD subcell equations by means of reduced order modeling. IEEE Trans. Antennas Propag. 2003, 51, 1806–1817. [Google Scholar] [CrossRef]
- Zhang, X.; Bekmambetova, F.; Triverio, P. A Stable FDTD method with embedded reduced-order models. IEEE Trans. Antennas Propag. 2018, 66, 827–837. [Google Scholar] [CrossRef]
- Adve, R.S.; Sarkar, T.K.; Rao, S.M.; Miller, E.K.; Pflug, D.R. Application of the Cauchy method for extrapolating/interpolating narrow-band system responses. IEEE Trans. Microw. Theory Techn. 1997, 45, 837–845. [Google Scholar] [CrossRef]
- Ding, Y.; Wu, K.-L.; Fang, D.G. A broad-band adaptive-frequency-sampling approach for microwave-circuit EM simulation exploiting Stöer—Bulirsch algorithm. IEEE Trans. Microw. Theory Tech. 2003, 51, 928–934. [Google Scholar] [CrossRef]
- Gustavsen, B.; Semlyen, A. Rational approximation of frequency domain responses by vector fitting. IEEE Trans. Power Del. 1999, 14, 1052–1061. [Google Scholar] [CrossRef]
- Harrington, R.F. Field Computation by Moment Methods; Oxford University Press/IEEE Press: New York, NY, USA, 1998. [Google Scholar]
- Gibson, W.C. The Method of Moments in Electromagnetics; Chapman and Hall/CRC: Boca Raton, FL, USA, 2008. [Google Scholar]
- Karwowski, A.; Noga, A.; Topa, T. Computationally efficient technique for wide-band analysis of grid-like spatial shields for protection against LEMP effects. Appl. Comput. Electromagn. Soc. J. 2017, 32, 87–92. [Google Scholar]
- Karwowski, A.; Noga, A.; Topa, T. An efficient framework for analysis of wire-grid shielding structures over a road frequency range. Radioengineering 2016, 25, 629–636. [Google Scholar] [CrossRef]
- Stöer, J.; Bulirsch, R. Introduction to Numerical Analysis; Springer: Berlin/Heidelberg, Germany, 1980. [Google Scholar]
- Chen, J.; Liu, Z.; Shen, P.; Ding, D.; Peng, H. Adaptive frequency-sampling method for wideband electromagnetic scattering of precipitation particles. IEEE Antennas Wirel. Propag. Lett. 2011, 10, 835–838. [Google Scholar] [CrossRef]
- Chen, J.Q.; Chen, R.S.; Liu, Z.W. Stöer-Bulirsch adaptive frequency sampling method for efficient analysis of frequency selective surfaces. Microw. Opt. Technol. Lett. 2008, 50, 755–758. [Google Scholar] [CrossRef]
- Li, P.; Li, Y.; Jiang, L.J.; Hu, J. A wide-band equivalent source reconstruction method exploiting the Stöer-Bulirsch algorithm with the adaptive frequency sampling. IEEE Trans. Antennas Propag. 2013, 61, 5338–5343. [Google Scholar] [CrossRef]
- Karwowski, A. Performance evaluation of MoM-based wide-band EM simulation with adaptive frequency sampling and Stöer-Bulirsch algorithm. COMPEL Int. J. Comput. Math. Electr. Electron. Eng. 2017, 36, 859–870. [Google Scholar] [CrossRef]
- Baba, Y.; Nagaoka, N.; Ametani, A. Modeling of thin wires in a lossy medium for FDTD simulation. IEEE Trans. Electromagn. Compat. 2005, 47, 54–60. [Google Scholar] [CrossRef]
- Otani, K.; Baba, Y.; Nagaoka, N.; Ametani, A.; Itamoto, N. FDTD surge analysis of grounding electrodes considering soil ionization. Electr. Power Syst. Res. 2014, 113, 171–179. [Google Scholar] [CrossRef]
- Tatematsu, A.; Rachidi, F.; Rubinstein, M. Analysis of electromagnetic fields inside a reinforced concrete building with layered reinforcing bar due to direct and indirect lightning strikes using the FDTD method. IEEE Trans. Electromagn. Compat. 2015, 57, 405–417. [Google Scholar] [CrossRef]
- Akbari, M.; Sheshyekani, K.; Pirayesh, A.; Rachidi, F.; Paolone, M.; Borghetti, A.; Nucci, C.A. Evaluation of lightning electromagnetic fields and their induced voltages on overhead lines considering the frequency dependence of soil electrical parameters. IEEE Trans. Electromagn. Compat. 2013, 55, 1210–1219. [Google Scholar] [CrossRef]
- Mota, P.C.A.; Chaves, M.L.R.; Camacho, J.R. Power line tower lightning surge impedance computation, a comparison of analytical and finite element methods. In Proceedings of the 2012 International Conference on Renewable Energies and Power Quality (ICREPQ’12), Santiago de Compostela, Spain, 28–30 March 2012; pp. 1468–1473. [Google Scholar]
- Ala, G.; Di Silvestre, M.L. A simulation model for electromagnetic transients in lightning protection systems. IEEE Trans. Electromagn. Compat. 2002, 44, 539–554. [Google Scholar] [CrossRef]
- Metwally, I.A.; Heidler, F.H.; Zischank, W.J. Magnetic fields and loop voltages inside reduced- and full-scale structures produced by direct lightning strikes. IEEE Trans. Electromagn. Compat. 2006, 48, 414–426. [Google Scholar] [CrossRef]
- Sartori, C.A.F.; Cardoso, J.R.; Orlandi, A. Transient induced voltage computation in a high building struck by lightning. IEEE Trans. Magn. 1998, 34, 2815–2818. [Google Scholar] [CrossRef]
- Ala, G.; Buccheri, P.L.; Romano, P.; Viola, F. Finite difference time domain simulation of earth electrodes soil ionisation under lightning surge condition. IET Sci. Meas. Technol. 2008, 2, 134–145. [Google Scholar] [CrossRef]
- Hwu, S.U.; Wilton, D.R. Electromagnetic Scattering and Radiation by Arbitrary Configurations of Conducting Bodies and Wires; Tech Doc. 1325; AEL; University of Houston: Houston, TX, USA, 1988. [Google Scholar]
- Golub, G.H.; van Loan, C.F. Matrix Computations; The John Hopkins University Press: Baltimore, MD, USA, 1996. [Google Scholar]
- Qi, R.; Du, Y.P.; Chen, M. Time-domain PEEC transient analysis for a wire structure above the perfectly conducting ground with the incident field from a distant lightning channel. IEEE Trans. Electromagn. Compat. 2020, 62, 1787–1795. [Google Scholar] [CrossRef]
- Zhang, Y.; Chen, H.; Du, Y.; Li, Z.; Wu, Y. Lightning transient analysis of main and submain circuits in commercial buildings using PEEC method. IEEE Trans. Ind. Appl. 2020, 56, 106–116. [Google Scholar] [CrossRef]
- Jia, J.; Shi, L.; Si, J. Modeling large-size round steel plates with surface PEEC method for lightning transient analysis. IEEE Trans. Electromagn. Compat. 2022, 64, 805–815. [Google Scholar] [CrossRef]
- Ye, W.; Liu, W.; Xiang, N.; Li, K.; Chen, W. A full-wave PEEC model for thin-wire structure in the air and homogeneous lossy ground. IEEE Trans. Electromagn. Compat. 2023, 65, 518–527. [Google Scholar] [CrossRef]
- Cao, J.; Du, Y.; Ding, Y.; Li, B.; Qi, R.; Zhang, Y.; Li, Z. Lightning surge analysis of transmission line towers with a hybrid FDTD-PEEC method. IEEE Trans. Power Deliv. 2022, 37, 1275–1284. [Google Scholar] [CrossRef]
- Aniserowicz, K.; Maksimowicz, T. Comparison of lightning-induced current simulations in the time and frequency domains using different computer codes. IEEE Trans. Electromagn. Compat. 2011, 53, 446–461. [Google Scholar] [CrossRef]
- Bonyadi-Ram, S.; Moini, R.; Sadeghi, S.H.H.; Rakoc, V.A. On representation of lightning return stroke as a lossy monopole antenna with inductive loading. IEEE Trans. Electromagn. Compat. 2008, 50, 118–127. [Google Scholar] [CrossRef]
- CONCEPT-II. Institut für Theoretische Elektrotechnik. Hamburg University of Technology, Hamburg, Germany. Available online: https://www.tet.tuhh.de/en/concept-ii-family/ (accessed on 8 November 2024).














| L → ↓ M | 0 | 1 | 2 | 3 | 4 | 5 | ⋯ |
|---|---|---|---|---|---|---|---|
| 0 | [0/0] | [1/0] | [2/0] | [3/0] | [4/0] | [5/0] | ⋯ |
| 1 | [0/1] | [1/1] | [2/1] | [3/1] | [4/1] | [5/1] | ⋯ |
| 2 | [0/2] | [1/2] | [2/2] | [3/2] | [4/2] | [5/2] | ⋯ |
| 3 | [0/3] | [1/3] | [2/3] | [3/3] | [4/3] | [5/3] | ⋯ |
| 4 | [0/4] | [1/4] | [2/4] | [3/4] | [4/4] | [5/4] | ⋯ |
| 5 | [0/5] | [1/5] | [2/5] | [3/5] | [4/5] | [5/5] | ⋯ |
| ⋮ | ⋮ | ⋮ | ⋮ | ⋮ | ⋮ | ⋮ | ⋱ |
Disclaimer/Publisher’s Note: The statements, opinions and data contained in all publications are solely those of the individual author(s) and contributor(s) and not of MDPI and/or the editor(s). MDPI and/or the editor(s) disclaim responsibility for any injury to people or property resulting from any ideas, methods, instructions or products referred to in the content. |
© 2024 by the authors. Licensee MDPI, Basel, Switzerland. This article is an open access article distributed under the terms and conditions of the Creative Commons Attribution (CC BY) license (https://creativecommons.org/licenses/by/4.0/).
Share and Cite
Noga, A.; Topa, T.; Stefański, T.P. Efficient Analysis of Noise Induced in Low-Voltage Installations Placed Inside Buildings with Lightning Protection Systems. Electronics 2024, 13, 4472. https://doi.org/10.3390/electronics13224472
Noga A, Topa T, Stefański TP. Efficient Analysis of Noise Induced in Low-Voltage Installations Placed Inside Buildings with Lightning Protection Systems. Electronics. 2024; 13(22):4472. https://doi.org/10.3390/electronics13224472
Chicago/Turabian StyleNoga, Artur, Tomasz Topa, and Tomasz P. Stefański. 2024. "Efficient Analysis of Noise Induced in Low-Voltage Installations Placed Inside Buildings with Lightning Protection Systems" Electronics 13, no. 22: 4472. https://doi.org/10.3390/electronics13224472
APA StyleNoga, A., Topa, T., & Stefański, T. P. (2024). Efficient Analysis of Noise Induced in Low-Voltage Installations Placed Inside Buildings with Lightning Protection Systems. Electronics, 13(22), 4472. https://doi.org/10.3390/electronics13224472

