Enhanced WiFi/Pedestrian Dead Reckoning Indoor Localization Using Artemisinin Optimization-Particle Swarm Optimization-Particle Filter
Abstract
1. Introduction
- Considering the insufficient localization accuracy of the WKNN algorithm in WiFi portion, the PSO model is proposed to leverage the PSO to identify the k closest approximate fingerprints and then utilize WKNN to locate the final position. By transforming the matching problem into a combined optimization and matching problem, we have initially optimized the positioning results for the WiFi portion.
- We employed an AO algorithm to enhance the performance and effectiveness of the PF algorithm by addressing its particle impoverishment problem.
- We designed two indoor positioning experiments, incorporating four distinct user postures including calling, dangling, handheld, and pocketed mode. These experiments aim to evaluate the positioning accuracy and performance of various algorithms under different real-world scenarios.
2. Related Work
3. System Model
3.1. Data Filter
3.2. WiFi Fingerprint Database
3.3. IDW Interpolation Method
3.4. PSO Model Review
3.4.1. Particle Initialization and Particle Generation
3.4.2. Fitness Calculation by MDTW
3.4.3. Particle Sorting
3.4.4. WKNN in PSO Model
3.4.5. PSO Procedure Summary
| Algorithm 1. PSO |
| Input: The measured signal and signal and position coordinates x_db 1. Particle initialization and parameter setting 2. iterations = 10 3. n = 50 (number of particles) 4. omega = 0.01 (inertia weight) 5. v = Random 2 × 1 vector 6. c1 = 0.01 (cognitive coefficient) 7. c2 = 0.01 (social coefficient) 8. r1, r2 = Random numbers between 0 and 1 9. kk = 3 (Number of nearest neighbors in WKNN) 10. Initialize particles with random positions and velocities. 11. Set initial global and personal bests based on initial distances computed by fitness 12. For k = 1 to iters do: 13. For each particle i = 1 to n do: 14. Update particle velocity and position using PSO formula: 15. 16. Apply interpolation to the RSS values at new positions using IDW. 17. Compute new distances using fitness and update personal and global bests. 18. Calculate weights for WKNN 19. Compute distances for top kk-nearest neighbors using the updated . 20. Calculate weights inversely proportional to distances. 21. Estimate location using a weighted sum of the top kk nearest locations. 22. Output: PSO_res. |
3.4.6. The Difference between PSO and WKNN
3.5. PDR Review
3.5.1. EKF
3.5.2. Step Length
3.5.3. Heading
3.5.4. PDR
3.6. AO-PF Fusion Algorithm
3.6.1. AO Algorithm
3.6.2. AO-PF Utilized in WiFi/PDR Fusion
- (1)
- Equation of State
- (2)
- Observation Equation
- (3)
- AO Algorithm Generates New Particles
- (4)
- Weight Update
- (5)
- Resampling
- (6)
- The Effectiveness of AO
4. Experiment and Analysis
4.1. Experimental Setup
4.2. Experimental Process
4.3. Experiment Result
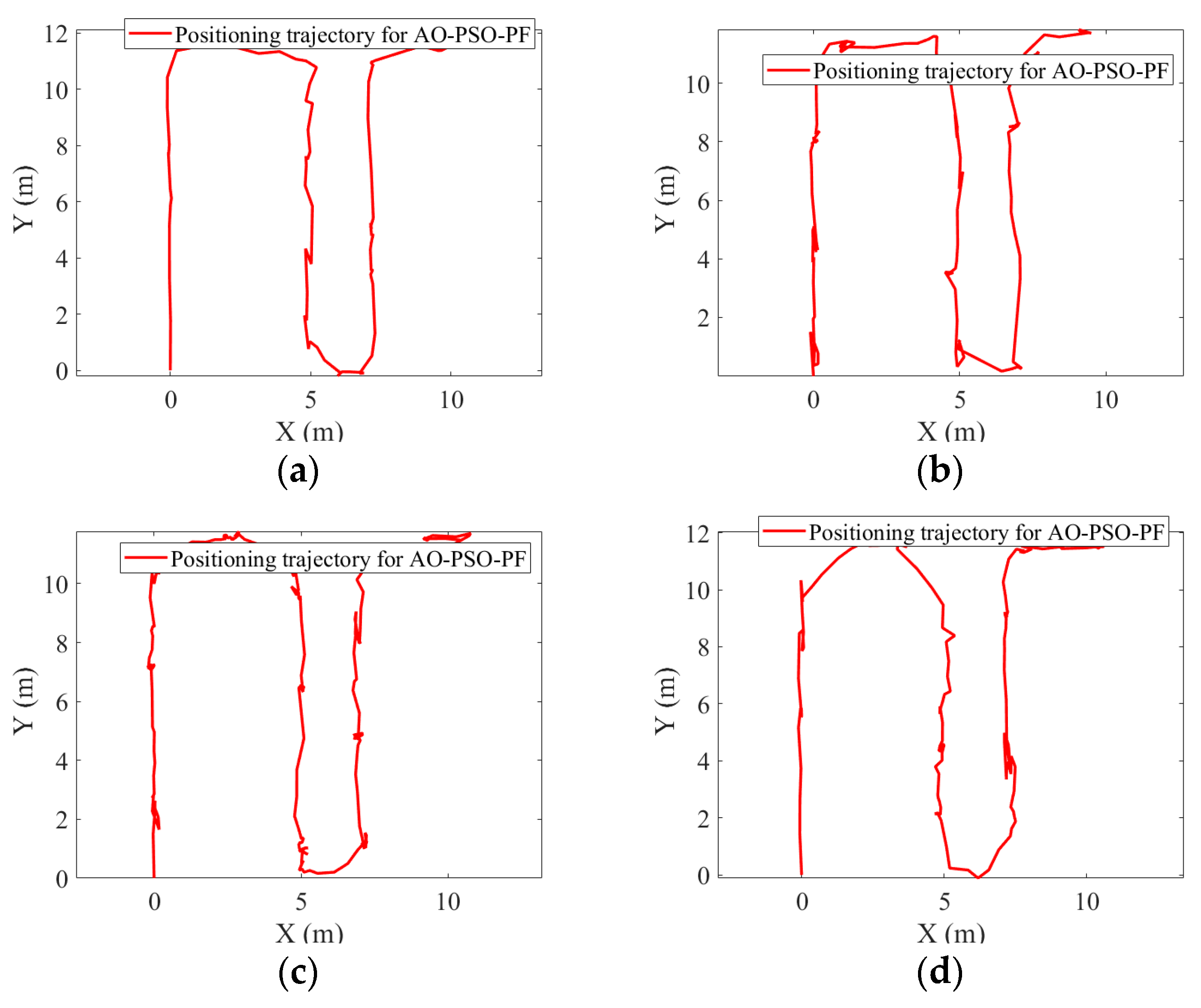
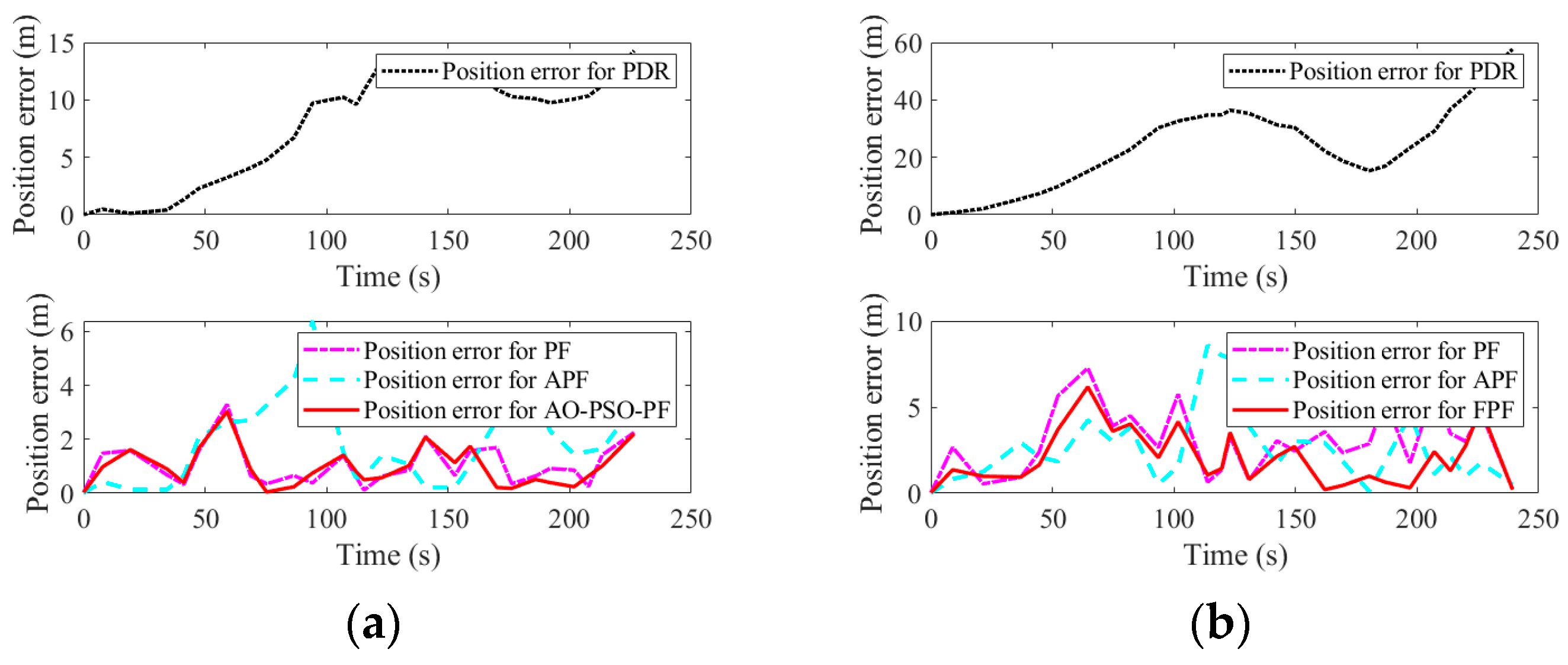
4.3.1. The Result of the First Experiment
4.3.2. The Result of the Second Experiment
4.4. Experiment Analysis
5. Conclusions
Author Contributions
Funding
Data Availability Statement
Acknowledgments
Conflicts of Interest
References
- Zafari, F.; Gkelias, A.; Leung, K.K. A survey of indoor localization systems and technologies. IEEE Commun. Surv. Tutor. 2019, 21, 2568–2599. [Google Scholar] [CrossRef]
- Sun, W.; Xue, M.; Yu, H.; Tang, H.; Lin, A. Augmentation of fingerprints for indoor WiFi localization based on Gaussian process regression. IEEE Trans. Veh. Technol. 2018, 67, 10896–10905. [Google Scholar] [CrossRef]
- Jung, C.-C.; Hsu, N.-Y.; Su, H.-J. Temporal and spatial variations in IAQ and its association with building characteristics and human activities in tropical and subtropical areas. Build. Environ. 2019, 163, 106249. [Google Scholar] [CrossRef]
- Xu, J.; Li, Z.; Zhang, K.; Yang, J.; Gao, N.; Zhang, Z.; Meng, Z. The principle, methods and recent progress in RFID positioning techniques: A review. IEEE J. Radio Freq. Identif. 2023, 7, 50–63. [Google Scholar] [CrossRef]
- Zhao, Z.; Lou, Z.; Wang, R.; Li, Q.; Xu, X. I-WKNN: Fast-speed and high-accuracy WIFI positioning for intelligent sports stadiums. Comput. Electr. Eng. 2022, 98, 107619. [Google Scholar] [CrossRef]
- Kim, D.-H.; Farhad, A.; Pyun, J.-Y. UWB positioning system based on LSTM classification with mitigated NLOS effects. IEEE Internet Things J. 2022, 10, 1822–1835. [Google Scholar] [CrossRef]
- Pau, G.; Arena, F.; Gebremariam, Y.E.; You, I. Bluetooth 5.1: An analysis of direction finding capability for high-precision location services. Sensors 2021, 21, 3589. [Google Scholar] [CrossRef]
- Cheng, C.-H.; Syu, S.-J. Improving area positioning in ZigBee sensor networks using neural network algorithm. Microsyst. Technol. 2021, 27, 1419–1428. [Google Scholar] [CrossRef]
- Thio, V.; Aparicio, J.; Ånonsen, K.B.; Bekkeng, J.K.; Booij, W. Fusing of a continuous output PDR algorithm with an ultrasonic positioning system. IEEE Sens. J. 2021, 22, 2464–2474. [Google Scholar] [CrossRef]
- Bernardes, E.; Viollet, S.; Raharijaona, T. A three-photo-detector optical sensor accurately localizes a mobile robot indoors by using two infrared light-emitting diodes. IEEE Access 2020, 8, 87490–87503. [Google Scholar] [CrossRef]
- Tian, Z.; Fang, X.; Zhou, M.; Li, L. Smartphone-based indoor integrated WiFi/MEMS positioning algorithm in a multi-floor environment. Micromachines 2015, 6, 347–363. [Google Scholar] [CrossRef]
- Horn, B.K.P. Indoor localization using uncooperative wi-fi access points. Sensors 2022, 22, 3091. [Google Scholar] [CrossRef] [PubMed]
- Kokkinis, A.; Kanaris, L.; Liotta, A.; Stavrou, S. RSS indoor localization based on a single access point. Sensors 2019, 19, 3711. [Google Scholar] [CrossRef] [PubMed]
- He, S.; Chan, S.-H.G. Wi-Fi fingerprint-based indoor positioning: Recent advances and comparisons. IEEE Commun. Surv. Tutor. 2015, 18, 466–490. [Google Scholar] [CrossRef]
- Chen, J.; Song, S.; Yu, H. An indoor multi-source fusion positioning approach based on PDR/MM/WiFi. AEU-Int. J. Electron. Commun. 2021, 135, 153733. [Google Scholar] [CrossRef]
- Wang, T.; Han, L.; Kong, Q.; Li, Z.; Li, C.; Han, J.; Bai, Q.; Chen, Y. An improved particle filter indoor fusion positioning approach based on Wi-Fi/PDR/geomagnetic field. Def. Technol. 2024, 32, 443–458. [Google Scholar] [CrossRef]
- Chen, G.; Meng, X.; Wang, Y.; Zhang, Y.; Tian, P.; Yang, H. Integrated WiFi/PDR/Smartphone using an unscented kalman filter algorithm for 3D indoor localization. Sensors 2015, 15, 24595–24614. [Google Scholar] [CrossRef]
- Deng, Z.-A.; Hu, Y.; Yu, J.; Na, Z. Extended Kalman filter for real time indoor localization by fusing WiFi and smartphone inertial sensors. Micromachines 2015, 6, 523–543. [Google Scholar] [CrossRef]
- Chen, J.; Song, S.; Liu, Z. A PDR/WiFi indoor navigation algorithm using the federated particle filter. Electronics 2022, 11, 3387. [Google Scholar] [CrossRef]
- Wang, X.; Gao, L.; Mao, S. BiLoc: Bi-modal deep learning for indoor localization with commodity 5GHz WiFi. IEEE Access 2017, 5, 4209–4220. [Google Scholar] [CrossRef]
- Irsan, F.A.; Aminah, N.S.; Djamal, M. RSSI-WIFI Based Indoor Position Tracking System Using Support Vector Machine (SVM). In Proceedings of the 2022 International Conference on Electrical, Computer, Communications and Mechatronics Engineering (ICECCME), Male, Maldives,, 16–18 November 2022. [Google Scholar]
- Hoang, M.T.; Yuen, B.; Dong, X.; Lu, T.; Westendorp, R.; Reddy, K. Recurrent neural networks for accurate RSSI indoor localization. IEEE Internet Things J. 2019, 6, 10639–10651. [Google Scholar] [CrossRef]
- Khassanov, Y.; Nurpeiissov, M.; Sarkytbayev, A.; Kuzdeuov, A.; Varol, H.A. Finer-level sequential wifi-based indoor localization. In Proceedings of the 2021 IEEE/SICE International Symposium on System Integration (SII), Iwaki, Japan, 11–14 January 2021. [Google Scholar]
- Hernández, N.; Parra, I.; Corrales, H.; Izquierdo, R.; Ballardini, A.L.; Salinas, C.; García, I. WiFiNet: WiFi-based indoor localisation using CNNs. Expert Syst. Appl. 2021, 177, 114906. [Google Scholar] [CrossRef]
- Njima, W.; Bazzi, A.; Chafii, M. DNN-based indoor localization under limited dataset using GANs and semi-supervised learning. IEEE Access 2022, 10, 69896–69909. [Google Scholar] [CrossRef]
- Vishwakarma, R.; Joshi, R.B.; Mishra, S. IndoorGNN: A Graph Neural Network Based Approach for Indoor Localization Using WiFi RSSI. In Proceedings of the International Conference on Big Data Analytics, Delhi, India, 7–9 December 2023. [Google Scholar]
- Qin, F.; Zuo, T.; Wang, X. Ccpos: Wifi fingerprint indoor positioning system based on cdae-cnn. Sensors 2021, 21, 1114. [Google Scholar] [CrossRef] [PubMed]
- Bi, J.; Cao, H.; Yao, G.; Chen, Z.; Cao, J.; Gu, X. Indoor fingerprint positioning method with standard particle swarm optimization. In Proceedings of the China Satellite Navigation Conference (CSNC 2021), Nanchang, China, 22–25 May 2021. [Google Scholar]
- Oh, S.H.; Kim, J.G. WiFi positioning in 3GPP indoor office with modified particle swarm optimization. Appl. Sci. 2021, 11, 9522. [Google Scholar] [CrossRef]
- Wang, Z.; Xing, L.; Xiong, Z.; Ding, Y.; Sun, Y.; Shi, C. An Improved Pedestrian Navigation Method Based on the Combination of Indoor Map Assistance and Adaptive Particle Filter. Remote Sens. 2022, 14, 6282. [Google Scholar] [CrossRef]
- Wei, R.; Xu, H.; Yang, M.; Yu, X.; Xiao, Z.; Yan, B. Real-time pedestrian tracking terminal based on adaptive zero velocity update. Sensors 2021, 21, 3808. [Google Scholar] [CrossRef]
- Yu, D.; Li, C.; Xiao, J. Neural networks-based Wi-Fi/PDR indoor navigation fusion methods. IEEE Trans. Instrum. Meas. 2022, 72, 1–14. [Google Scholar] [CrossRef]
- Lin, Y.; Yu, K. An Improved Integrated Indoor Positioning Algorithm Based on PDR and Wi-Fi under Map Constraints. IEEE Sens. J. 2024, 24, 24096–24107. [Google Scholar] [CrossRef]
- Li, Y.; Zhuang, Y.; Lan, H.; Zhou, Q.; Niu, X.; El-Sheimy, N. A hybrid WiFi/magnetic matching/PDR approach for indoor navigation with smartphone sensors. IEEE Commun. Lett. 2015, 20, 169–172. [Google Scholar] [CrossRef]
- Chen, J.; Song, S.; Gong, Y.; Zhang, S. An indoor fusion navigation algorithm using HV-derivative dynamic time warping and the chicken particle filter. Satell. Navig. 2022, 3, 13. [Google Scholar] [CrossRef]
- Chen, J.; Ou, G.; Peng, A.; Zheng, L.; Shi, J. An INS/WiFi indoor localization system based on the Weighted Least Squares. Sensors 2018, 18, 1458. [Google Scholar] [CrossRef] [PubMed]
- Ismail, A.H.; Kitagawa, H.; Tasaki, R.; Terashima, K. WiFi RSS fingerprint database construction for mobile robot indoor positioning system. In Proceedings of the 2016 IEEE International Conference on Systems, Man, and Cybernetics (SMC), Budapest, Hungary, 9–12 October 2016. [Google Scholar]
- Yuan, C.; Zhao, D.; Heidari, A.A.; Liu, L.; Chen, Y.; Wu, Z.; Chen, H. Artemisinin optimization based on malaria therapy: Algorithm and applications to medical image segmentation. Displays 2024, 84, 102740. [Google Scholar] [CrossRef]
- Yin, S.; Zhu, X. Intelligent particle filter and its application to fault detection of nonlinear system. IEEE Trans. Ind. Electron. 2015, 62, 3852–3861. [Google Scholar] [CrossRef]
- Potortì, F.; Crivello, A.; Barsocchi, P.; Palumbo, F. Evaluation of indoor localisation systems: Comments on the ISO/IEC 18305 standard. In Proceedings of the 2018 International Conference on Indoor Positioning and Indoor Navigation (IPIN), Nantes, France, 24–27 September 2018. [Google Scholar]
- Li, Y.; Georgy, J.; Niu, X.; Li, Q.; El-Sheimy, N. Autonomous calibration of MEMS gyros in consumer portable devices. IEEE Sens. J. 2015, 15, 4062–4072. [Google Scholar] [CrossRef]
- Csuzdi, D.; Törő, O.; Bécsi, T. Differentiable Particle Filtering using Optimal Placement Resampling. arXiv 2024, arXiv:2402.16639. [Google Scholar]
- Hu, Y.; Peng, A.; Tang, B.; Xu, H. An indoor navigation algorithm using multi-dimensional Euclidean distance and an adaptive particle filter. Sensors 2021, 21, 8228. [Google Scholar] [CrossRef]































| Parameter | Value |
|---|---|
| Particle size of PSO | 50 |
| ω | 0.01 |
| c1 | 0.01 |
| c2 | 0.01 |
| Particle size of PF | 500 |
| N (particle size of AO) | 500 |
| D | 2 |
| lb | −1 |
| ub | 1 |
| Phone | Honor 50 | Nexus 5X |
|---|---|---|
| WiFi chip model | FastConnect 6200 | BCM4358 |
| Accelerometer | BMA456 | BMA255 |
| Gyroscope | LSM6DSO | MPU-6500 |
| Magnetometer | AK09918C | AK8963 |
| Motion Modes | Algorithm | AE | RMSE | ME | CEP of 75% | CEP of 95% |
|---|---|---|---|---|---|---|
| Calling mode | PDR | 3.64 | 4.06 | 6.64 | 4.97 | 6.62 |
| WiFi | 1.06 | 1.26 | 2.64 | 1.37 | 2.62 | |
| FPF | 1.07 | 1.26 | 2.27 | 1.28 | 2.22 | |
| AO-PSO-PF | 0.82 | 1.03 | 2.29 | 1.08 | 2.21 | |
| Dangling mode | PDR | 6.24 | 7.54 | 15.37 | 9.38 | 15.32 |
| WiFi | 1.04 | 1.17 | 2.25 | 1.42 | 2.22 | |
| FPF | 0.98 | 1.14 | 2.34 | 1.28 | 2.32 | |
| AO-PSO-PF | 0.85 | 0.99 | 1.77 | 1.23 | 1.72 | |
| Handheld mode | PDR | 14.78 | 16.81 | 26.19 | 20.44 | 26.12 |
| WiFi | 1.17 | 1.26 | 1.89 | 1.48 | 1.87 | |
| FPF | 1.36 | 1.52 | 2.45 | 1.68 | 2.42 | |
| AO-PSO-PF | 1.11 | 1.22 | 1.87 | 1.48 | 1.82 | |
| Pocketed mode | PDR | 4.26 | 4.61 | 7.42 | 5.18 | 7.42 |
| WiFi | 1.19 | 1.37 | 2.31 | 1.76 | 2.36 | |
| FPF | 1.36 | 1.58 | 2.97 | 1.98 | 2.92 | |
| AO-PSO-PF | 1.02 | 1.25 | 2.16 | 1.68 | 2.12 | |
| General | PDR | 7.23 | 8.26 | 13.91 | 9.99 | 13.37 |
| WiFi | 1.12 | 1.27 | 2.27 | 1.51 | 2.27 | |
| FPF | 1.19 | 1.32 | 2.51 | 1.48 | 2.47 | |
| AO-PSO-PF | 0.95 | 1.12 | 2.02 | 1.37 | 1.97 |
| Motion Modes | Algorithm | AE | RMSE | ME | CEP of 75% | CEP of 95% |
|---|---|---|---|---|---|---|
| Calling mode | PDR | 7.98 | 9.24 | 14.28 | 11.23 | 13.48 |
| PF | 1.01 | 1.26 | 3.30 | 1.51 | 2.27 | |
| APF | 1.84 | 2.39 | 6.39 | 2.76 | 4.27 | |
| AO-PSO-PF | 0.93 | 1.18 | 3.03 | 1.43 | 2.27 | |
| Dangling mode | PDR | 22.67 | 26.48 | 55.95 | 32.13 | 42.67 |
| PF | 2.57 | 3.32 | 8.74 | 3.93 | 6.17 | |
| APF | 2.49 | 3.14 | 8.02 | 3.43 | 5.97 | |
| AO-PSO-PF | 1.95 | 2.58 | 6.28 | 2.73 | 4.87 | |
| Handheld mode | PDR | 42.37 | 50.01 | 107.89 | 57.53 | 88.67 |
| PF | 1.80 | 2.35 | 6.50 | 2.83 | 4.47 | |
| APF | 6.97 | 10.12 | 29.60 | 9.93 | 26.57 | |
| AO-PSO-PF | 1.57 | 2.01 | 6.10 | 1.97 | 3.87 | |
| Pocketed mode | PDR | 2.94 | 3.56 | 8.69 | 3.83 | 6.97 |
| PF | 1.37 | 1.95 | 4.97 | 2.33 | 4.27 | |
| APF | 1.70 | 1.89 | 3.40 | 2.03 | 3.37 | |
| AO-PSO-PF | 1.21 | 1.66 | 4.70 | 1.93 | 3.47 | |
| General | PDR | 18.99 | 22.32 | 46.20 | 26.28 | 37.45 |
| PF | 1.69 | 2.22 | 5.88 | 2.65 | 4.29 | |
| APF | 3.06 | 4.03 | 11.85 | 3.89 | 7.85 | |
| AO-PSO-PF | 1.42 | 1.86 | 5.03 | 2.02 | 3.62 |
| Motion Modes | Person 1 | Person 2 | Person 3 | Person 4 | Person 5 |
|---|---|---|---|---|---|
| Calling | 0.93 | 1.21 | 1.43 | 1.29 | 1.08 |
| Dangling | 1.95 | 1.98 | 1.89 | 1.67 | 1.71 |
| Handheld | 1.57 | 1.82 | 1.75 | 1.90 | 1.93 |
| Pocketed | 1.21 | 1.20 | 1.25 | 1.65 | 1.47 |
Disclaimer/Publisher’s Note: The statements, opinions and data contained in all publications are solely those of the individual author(s) and contributor(s) and not of MDPI and/or the editor(s). MDPI and/or the editor(s) disclaim responsibility for any injury to people or property resulting from any ideas, methods, instructions or products referred to in the content. |
© 2024 by the authors. Licensee MDPI, Basel, Switzerland. This article is an open access article distributed under the terms and conditions of the Creative Commons Attribution (CC BY) license (https://creativecommons.org/licenses/by/4.0/).
Share and Cite
Liu, Z.; Song, S.; Chen, J.; Hou, C. Enhanced WiFi/Pedestrian Dead Reckoning Indoor Localization Using Artemisinin Optimization-Particle Swarm Optimization-Particle Filter. Electronics 2024, 13, 3366. https://doi.org/10.3390/electronics13173366
Liu Z, Song S, Chen J, Hou C. Enhanced WiFi/Pedestrian Dead Reckoning Indoor Localization Using Artemisinin Optimization-Particle Swarm Optimization-Particle Filter. Electronics. 2024; 13(17):3366. https://doi.org/10.3390/electronics13173366
Chicago/Turabian StyleLiu, Zhihui, Shaojing Song, Jian Chen, and Chao Hou. 2024. "Enhanced WiFi/Pedestrian Dead Reckoning Indoor Localization Using Artemisinin Optimization-Particle Swarm Optimization-Particle Filter" Electronics 13, no. 17: 3366. https://doi.org/10.3390/electronics13173366
APA StyleLiu, Z., Song, S., Chen, J., & Hou, C. (2024). Enhanced WiFi/Pedestrian Dead Reckoning Indoor Localization Using Artemisinin Optimization-Particle Swarm Optimization-Particle Filter. Electronics, 13(17), 3366. https://doi.org/10.3390/electronics13173366

