EDF-YOLOv5: An Improved Algorithm for Power Transmission Line Defect Detection Based on YOLOv5
Abstract
:1. Introduction
- We have designed a module with enhanced feature extraction capabilities, referred to as EN-SPPFCSPC. This module outperforms Spatial Pyramid Pooling-Fast and Fully Connected Spatial Pyramid Convolution (SPPFCSPC), providing higher detection accuracy while maintaining a lower parameter count. EN-SPPFCSPC effectively leverages feature information, reducing the loss of detailed information, and significantly enhancing detection accuracy.
- We have introduced a high-level semantic information extraction module, DCNv3C3, with stronger adaptive capabilities. This module is employed to replace the C3 module in the YOLOv5s algorithm’s neck. This improvement effectively boosts the algorithm’s generalization ability, enabling it to perform better in various scenarios.
- To expedite model convergence and enhance detection accuracy, we have proposed the Focal-CIoU loss function. This novel loss function aims to augment the gradient contribution of high-quality samples during the training process.
2. Methods
2.1. Network Architecture
2.2. EN-SPPFCSPC Module
2.3. DCNv3C3 Module
2.4. Focal-CIoU Loss Function
3. Experimentation and Results Analysis
3.1. Experimental Conditions
3.2. Experimental Evaluation Indicators
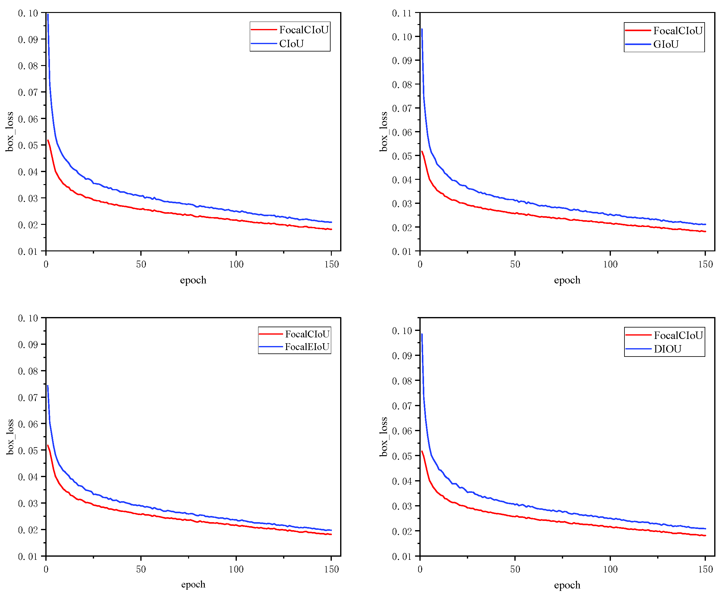
3.3. Comparison of Different Loss Functions in Experiments
3.4. Comparison of Different Spatial Pyramid Pooling Modules in Experiments
3.5. Experimental Comparison of DCNv3C3 Module at Different Usage Positions
3.6. Ablation Experiment
- (1)
- When using EN-SPPFCSPC alone to improve the algorithm, there is a slight improvement in the average detection accuracy of defect targets. The mAP@.5 increased by 0.9%. Although the detection speed decreased slightly, it still met the real-time detection standard.
- (2)
- When using DCNv3C3 alone to improve the algorithm, the algorithm can more accurately detect defects in power transmission lines. The mAP@.5 increased by 1.2%, and the F1 score also improved by 1.2%. This improvement effectively optimized the algorithm.
- (3)
- When using the Focal-CIoU loss function alone to improve the algorithm, there is a significant improvement in the average detection accuracy of defects in power transmission lines. The mAP@.5 increased by 1.5%, and there is also some improvement in the F1 score, while the detection speed remains unchanged. It is evident that the algorithm’s performance significantly improved.
- (4)
- When simultaneously using EN-SPPFCSPC and DCNv3C3 to improve the algorithm, the mAP@.5 increased by 1.2%, and there is some improvement in the F1 score. Although the detection speed is lower than the original algorithm, it still meets the real-time detection standard.
- (5)
- When simultaneously using Focal-CIoU and DCNv3C3 to improve the algorithm, the mAP@.5 increased by 1.0%, and the F1 score improved slightly, while the model’s detection speed decreased.
- (6)
- When simultaneously using the EN-SPPFCSPC and Focal-CIoU loss function to improve the algorithm, the mAP@.5 increased by 1.1%, and there is some improvement in the F1 score. Although the speed decreased by 31 frames per second, real-time detection was still guaranteed.
- (7)
- When simultaneously applying the three proposed improvement methods in this paper to the algorithm, the algorithm achieves optimal detection accuracy for defects in power transmission lines in this experiment. The mAP@.5 increased by 2.3%, and the F1 score improved by 0.8%. The detection speed decreased by 49 frames per second, but it did not affect the algorithm’s real-time performance. Furthermore, in conjunction with the detection results displayed in Figure 10, we can draw the following conclusions. It is evident that the EDF-YOLOv5 algorithm proposed in this paper performs better on the power transmission line defect dataset. Compared to the unimproved algorithm, it achieves a significant improvement in detection accuracy and can more accurately detect defect targets, demonstrating the effectiveness of the improvements proposed in this paper.
3.7. Comparison of Evaluation Metrics for Mainstream Object Detection Algorithms
- (1)
- In terms of mAP@.5, EDF-YOLOv5 demonstrates an outstanding performance. It outperforms classical two-stage object detection algorithms, Faster R-CNN and Mask R-CNN, with accuracy improvements of 13.5% and 9.8%, respectively. Compared to other single-stage object detection algorithms, such as YOLOv5s, SSD, YOLOX, and YOLOv8, it achieves improvements of 2.3%, 12.0%, 7.5%, and 0.4%, respectively. This indicates that the algorithm exhibits superior detection effectiveness for power transmission line defects.
- (2)
- Analyzing the detection speed of the algorithms, it is observed that the two-stage object detection algorithm, Faster R-CNN, has the lowest detection speed. YOLOv8 achieves the fastest detection speed, reaching up to 181 frames per second, while EDF-YOLOv5’s detection speed of 117 frames per second ranks third among the compared algorithms. It is evident that EDF-YOLOv5 also possesses a certain advantage in terms of detection speed, meeting the real-time detection requirements.
- (3)
- The F1 score is another standard for assessing algorithm accuracy. Comparing the F1 scores of different object detection algorithms, it is noted that EDF-YOLOv5 achieves an F1 score of 90.1%. This is an improvement of 0.8%, 27.4%, 16.4%, and 0.7% compared to other object detection algorithms, including YOLOv5s, Faster R-CNN, SSD, and YOLOv8, respectively. It is evident that the EDF-YOLOv5 algorithm exhibits an outstanding performance in power transmission line defect detection, both in terms of detection speed and accuracy.
4. Conclusions
Author Contributions
Funding
Data Availability Statement
Conflicts of Interest
References
- Liu, C.; Wu, Y.; Liu, J.; Sun, Z.; Xu, H. Insulator faults detection in aerial images from high-voltage transmission lines based on deep learning model. Appl. Sci. 2021, 11, 4647. [Google Scholar] [CrossRef]
- Liu, Z.; Wu, G.; He, W.; Fan, F.; Ye, X. Key target and defect detection of high-voltage power transmission lines with deep learning. Int. J. Electr. Power Energy Syst. 2022, 142, 108277. [Google Scholar] [CrossRef]
- Liang, H.; Zuo, C.; Wei, W. Detection and evaluation method of transmission line defects based on deep learning. IEEE Access 2020, 8, 38448–38458. [Google Scholar] [CrossRef]
- Yang, H. Transmission Line Fault Detection Based on Multi-layer Perceptron. In Proceedings of the 2022 International Conference on Big Data, Information and Computer Network (BDICN), Sanya, China, 20–22 January 2022; pp. 778–781. [Google Scholar]
- Wanguo, W.; Zhenli, W.; Bin, L.; Yuechen, Y.; Xiaobin, S. Typical defect detection technology of transmission line based on deep learning. In Proceedings of the 2019 Chinese Automation Congress (CAC), Hangzhou, China, 22–24 November 2019; pp. 1185–1189. [Google Scholar]
- Zhao, W.; Xu, M.; Cheng, X.; Zhao, Z. An insulator in transmission lines recognition and fault detection model based on improved faster RCNN. IEEE Trans. Instrum. Meas. 2021, 70, 1–8. [Google Scholar] [CrossRef]
- Wang, J.; Deng, F.; Wei, B. Defect Detection Scheme for Key Equipment of Transmission Line for Complex Environment. Electronics 2022, 11, 2332. [Google Scholar] [CrossRef]
- Feng, Z.; Guo, L.; Huang, D.; Li, R. Electrical insulator defects detection method based on yolov5. In Proceedings of the 2021 IEEE 10th Data Driven Control and Learning Systems Conference (DDCLS), Suzhou, China, 14–16 May 2021; pp. 979–984. [Google Scholar]
- Li, Q.; Zhao, F.; Xu, Z.; Wang, J.; Liu, K.; Qin, L. Insulator and damage detection and location based on YOLOv5. In Proceedings of the 2022 International Conference on Power Energy Systems and Applications (ICoPESA), Virtual, 25–27 February 2022; pp. 17–24. [Google Scholar]
- Deng, F.; Xie, Z.; Mao, W.; Li, B.; Shan, Y.; Wei, B.; Zeng, H. Research on edge intelligent recognition method oriented to transmission line insulator fault detection. Int. J. Electr. Power Energy Syst. 2022, 139, 108054. [Google Scholar] [CrossRef]
- Wang, X.; Li, W.; Guo, W.; Cao, K. SPB-YOLO: An efficient real-time detector for unmanned aerial vehicle images. In Proceedings of the 2021 International Conference on Artificial Intelligence in Information and Communication (ICAIIC), Jeju Island, Republic of Korea, 13–16 April 2021; pp. 99–104. [Google Scholar]
- Souza, B.J.; Stefenon, S.F.; Singh, G.; Freire, R.Z. Hybrid-YOLO for classification of insulators defects in transmission lines based on UAV. Int. J. Electr. Power Energy Syst. 2023, 148, 108982. [Google Scholar] [CrossRef]
- Zaidi, S.S.A.; Ansari, M.S.; Aslam, A.; Kanwal, N.; Asghar, M.; Lee, B. A survey of modern deep learning based object detection models. Digit. Signal Process. 2022, 126, 103514. [Google Scholar] [CrossRef]
- Girshick, R. Fast r-cnn. In Proceedings of the IEEE International Conference on Computer Vision, Santiago, Chile, 7–13 December 2015; pp. 1440–1448. [Google Scholar]
- Ren, S.; He, K.; Girshick, R.; Sun, J. Faster r-cnn: Towards real-time object detection with region proposal networks. Adv. Neural Inf. Process. Syst. 2015, 28. [Google Scholar] [CrossRef]
- Cui, F.; Ning, M.; Shen, J.; Shu, X. Automatic recognition and tracking of highway layer-interface using Faster R-CNN. J. Appl. Geophys. 2022, 196, 104477. [Google Scholar] [CrossRef]
- Kim, J.H.; Kim, N.; Park, Y.W.; Won, C.S. Object detection and classification based on YOLO-V5 with improved maritime dataset. J. Mar. Sci. Eng. 2022, 10, 377. [Google Scholar] [CrossRef]
- Kim, J.; Sung, J.Y.; Park, S. Comparison of Faster-RCNN, YOLO, and SSD for real-time vehicle type recognition. In Proceedings of the 2020 IEEE International Conference on Consumer Electronics-Asia (ICCE-Asia), Seoul, Republic of Korea, 1–3 November 2020; pp. 1–4. [Google Scholar]
- Fang, W.; Wang, L.; Ren, P. Tinier-YOLO: A real-time object detection method for constrained environments. IEEE Access 2019, 8, 1935–1944. [Google Scholar] [CrossRef]
- Hu, C.; Min, S.; Liu, X.; Zhou, X.; Zhang, H. Research on an Improved Detection Algorithm Based on YOLOv5s for Power Line Self-Exploding Insulators. Electronics 2023, 12, 3675. [Google Scholar] [CrossRef]
- Han, G.; Yuan, Q.; Zhao, F.; Wang, R.; Zhao, L.; Li, S.; He, M.; Yang, S.; Qin, L. An Improved Algorithm for Insulator and Defect Detection Based on YOLOv4. Electronics 2023, 12, 933. [Google Scholar] [CrossRef]
- Bao, W.; Du, X.; Wang, N.; Yuan, M.; Yang, X. A Defect Detection Method Based on BC-YOLO for Transmission Line Components in UAV Remote Sensing Images. Remote Sens. 2022, 14, 5176. [Google Scholar] [CrossRef]
- Qiu, Z.; Zhu, X.; Liao, C.; Shi, D.; Qu, W. Detection of transmission line insulator defects based on an improved lightweight YOLOv4 model. Appl. Sci. 2022, 12, 1207. [Google Scholar] [CrossRef]
- Benjumea, A.; Teeti, I.; Cuzzolin, F.; Bradley, A. YOLO-Z: Improving small object detection in YOLOv5 for autonomous vehicles. arXiv 2021, arXiv:2112.11798. [Google Scholar]
- Zhou, F.; Zhao, H.; Nie, Z. Safety helmet detection based on YOLOv5. In Proceedings of the 2021 IEEE International Conference on Power Electronics, Computer Applications (ICPECA), Shenyang, China, 22–24 January 2021; pp. 6–11. [Google Scholar]
- Mahaur, B.; Mishra, K.K. Small-object detection based on YOLOv5 in autonomous driving systems. Pattern Recognit. Lett. 2023, 168, 115–122. [Google Scholar] [CrossRef]
- Wang, L.; Cao, Y.; Wang, S.; Song, X.; Zhang, S.; Zhang, J.; Niu, J. Investigation into recognition algorithm of helmet violation based on YOLOv5-CBAM-DCN. IEEE Access 2022, 10, 60622–60632. [Google Scholar] [CrossRef]
- Li, C.; Li, L.; Geng, Y.; Jiang, H.; Cheng, M.; Zhang, B.; Ke, Z.; Xu, X.; Chu, X. Yolov6 v3.0: A full-scale reloading. arXiv 2023, arXiv:2301.05586. [Google Scholar]
- Stergiou, A.; Poppe, R.; Kalliatakis, G. Refining activation downsampling with SoftPool. In Proceedings of the IEEE/CVF International Conference on Computer Vision, Montreal, BC, Canada, 11–17 October 2021; pp. 10357–10366. [Google Scholar]
- Wang, W.; Dai, J.; Chen, Z.; Huang, Z.; Li, Z.; Zhu, X.; Qiao, Y. Internimage: Exploring large-scale vision foundation models with deformable convolutions. In Proceedings of the IEEE/CVF Conference on Computer Vision and Pattern Recognition, Vancouver, BC, Canada, 18–22 June 2023; pp. 14408–14419. [Google Scholar]
- Zhang, Y.F.; Ren, W.; Zhang, Z.; Jia, Z.; Wang, L.; Tan, T. Focal and efficient IOU loss for accurate bounding box regression. Neurocomputing 2022, 506, 146–157. [Google Scholar] [CrossRef]










| Defect Name | Defect Description |
|---|---|
| Nest | Birds nesting on power towers are prone to short-circuit failures |
| Pollution Flashover | A significant reduction in the insulation level of insulators, leading to intense discharge phenomena under the influence of an electric field |
| Insulator Damage | Insulators with fracture or cracking problems, resulting in reduced insulation capacity |
| Loss Function | mAP@0.5/% | P/% | R/% | F1-Score/% |
|---|---|---|---|---|
| YOLOv5s + CIoU | 90.8 | 89.4 | 89.3 | 89.3 |
| YOLOv5s + GIoU | 91.0 | 88.9 | 88.1 | 88.4 |
| YOLOv5s + DIoU | 90.8 | 90.2 | 88.6 | 89.3 |
| YOLOv5s + Focal-EIoU | 92.0 | 89.7 | 88.2 | 88.2 |
| YOLOv5s + Focal-CIoU | 92.3 | 88.9 | 90.8 | 89.8 |
| Module | mAP@0.5/% | Parameters | FPS |
|---|---|---|---|
| YOLOv5s + SPPF | 90.8 | 7,020,913 | 166 |
| YOLOv5s + SPPFCSPC | 91.5 | 13,446,257 | 144 |
| YOLOv5s + EN-SPPFCSPC | 92.7 | 8,141,425 | 133 |
| Usage Positions | mAP@0.5/% | Parameters | F1-Score/% | FPS |
|---|---|---|---|---|
| Not Used | 90.8 | 7,020,913 | 89.3 | 166 |
| Backbone | 91.4 | 6,712,465 | 89.1 | 128 |
| Neck | 92.0 | 6,762,697 | 90.5 | 138 |
| Module | EN-SPPFCSPC | DCNv3C3 | Focal-CIoU | mAP@0.5/% | F1-Score/% | FPS |
|---|---|---|---|---|---|---|
| M0 | 90.8 | 89.3 | 166 | |||
| M1 | √ | 91.7 | 89.1 | 135 | ||
| M2 | √ | 92.0 | 90.5 | 138 | ||
| M3 | √ | 92.3 | 89.8 | 166 | ||
| M4 | √ | √ | 92.3 | 89.9 | 117 | |
| M5 | √ | √ | 91.8 | 88.8 | 138 | |
| M6 | √ | √ | 91.9 | 90.1 | 135 | |
| Ours | √ | √ | √ | 93.1 | 90.1 | 117 |
| Module | mAP@0.5/% | F1-Score/% | FPS |
|---|---|---|---|
| YOLOv5s | 90.8 | 89.3 | 166 |
| Faster R-CNN | 79.6 | 62.7 | 18 |
| Mask R-CNN | 83.3 | - | 21 |
| SSD | 81.0 | 73.7 | 103 |
| YOLOX | 85.6 | - | 37 |
| YOLOv8 | 92.7 | 89.4 | 181 |
| EDF-YOLOv5 | 93.1 | 91.4 | 117 |
Disclaimer/Publisher’s Note: The statements, opinions and data contained in all publications are solely those of the individual author(s) and contributor(s) and not of MDPI and/or the editor(s). MDPI and/or the editor(s) disclaim responsibility for any injury to people or property resulting from any ideas, methods, instructions or products referred to in the content. |
© 2023 by the authors. Licensee MDPI, Basel, Switzerland. This article is an open access article distributed under the terms and conditions of the Creative Commons Attribution (CC BY) license (https://creativecommons.org/licenses/by/4.0/).
Share and Cite
Peng, H.; Liang, M.; Yuan, C.; Ma, Y. EDF-YOLOv5: An Improved Algorithm for Power Transmission Line Defect Detection Based on YOLOv5. Electronics 2024, 13, 148. https://doi.org/10.3390/electronics13010148
Peng H, Liang M, Yuan C, Ma Y. EDF-YOLOv5: An Improved Algorithm for Power Transmission Line Defect Detection Based on YOLOv5. Electronics. 2024; 13(1):148. https://doi.org/10.3390/electronics13010148
Chicago/Turabian StylePeng, Hongxing, Minjun Liang, Chang Yuan, and Yongqiang Ma. 2024. "EDF-YOLOv5: An Improved Algorithm for Power Transmission Line Defect Detection Based on YOLOv5" Electronics 13, no. 1: 148. https://doi.org/10.3390/electronics13010148
APA StylePeng, H., Liang, M., Yuan, C., & Ma, Y. (2024). EDF-YOLOv5: An Improved Algorithm for Power Transmission Line Defect Detection Based on YOLOv5. Electronics, 13(1), 148. https://doi.org/10.3390/electronics13010148
