An Improved Modulation Recognition Algorithm Based on Fine-Tuning and Feature Re-Extraction
Abstract
1. Introduction
- (1)
- A novel modulation recognition algorithm based on fine-tuning and feature re-extraction is proposed, and the proposed algorithm can improve the performance of the neural network in the recognition of the signals that are easily confused at low SNRs.
- (2)
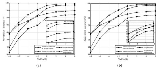
- With the fine-tuning method, we can transfer the weights of the networks trained with the modulated signals at different SNRs. This can improve the recognition accuracy for signals at low SNRs, as well as the stability of the network.
- (3)
- Since neural networks cannot achieve good recognition of all modulation types, we propose the feature re-extraction method. With the method, deeper features are extracted from the outputs of the trained network’s penultimate layer, thus achieving the effective recognition of easily confused modulation types.
- (4)
- Finally, the combination of fine-tuning and feature re-extraction can improve recognition performance to the maximum extent.
2. Literature Review of Related Works
3. System Model
3.1. Signal Model
3.2. Network Model
3.3. Recognition Methods
3.3.1. SNR Estimation Based on the Algorithm
3.3.2. Fine-Tuning
4. Algorithm Design
4.1. Data
4.2. Backbone Neural Network
4.2.1. Network Structure
4.2.2. Parameter Optimization
4.3. Signal Feature Extraction
4.3.1. High-Order Cumulant Features
4.3.2. Frequency-Domain Features
4.3.3. Spectrum Features
4.3.4. Envelope Features
4.4. Implementation Details
5. Simulation Results
5.1. SNR Region Classification
5.2. Network with Randomly Initialized Weights
5.3. Network with Weight Transfer
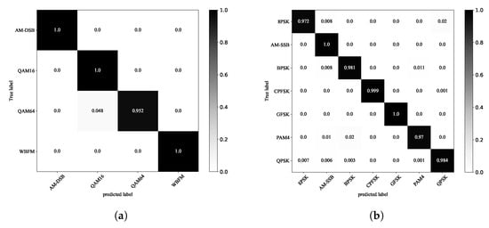
5.4. Feature Re-Extraction
5.5. Combination of Fine-Tuning and Feature Re-Extraction
5.6. Performance Comparison of the Proposed MR Algorithm and Other Existing Algorithms
6. Conclusions
Author Contributions
Funding
Data Availability Statement
Acknowledgments
Conflicts of Interest
References
- Dobre, O.A.; Abdi, A.; Bar-Ness, Y.; Su, W. Survey of automatic modulation classification techniques: Classical approaches and new trends. IET Commun. 2007, 1, 137–156. [Google Scholar] [CrossRef]
- Huang, Z.; Yang, J.; Wang, X.; Cui, X.; Wang, Y. A Survey of modulation recognition algorithms in non-cooperative communication. Sci. Technol. Rev. 2019, 37, 55–62. [Google Scholar] [CrossRef]
- Zebarjadi, M.; Teimouri, M. Non-cooperative burst detection and synchronisation in downlink TDMA-based wireless communication networks. IET Commun. 2019, 13, 863–872. [Google Scholar] [CrossRef]
- Liu, C.; Wang, H.; Zhang, J.; He, Z. Wideband spectrum sensing based on single-channel sub-Nyquist sampling for cognitive radio. Sensors 2018, 18, 2222. [Google Scholar] [CrossRef]
- Yang, Z.; Li, D.; Zhao, N.; Wu, Z.; Li, Y.; Niyato, D. Secure precoding optimization for NOMA-aided integrated sensing and communication. IEEE Trans. Commun. 2022, 70, 8370–8382. [Google Scholar] [CrossRef]
- Ma, R.; Tang, J.; Zhang, X.; Wong, K.K.; Chambers, J. Energy Efficiency Optimization for Mutual-Coupling-Aware Wireless Communication System based on RIS-enhanced SWIPT. IEEE Internet Things J. 2023. [Google Scholar] [CrossRef]
- Liu, M.; Zhang, H.; Liu, Z.; Zhao, N. Attacking Spectrum Sensing With Adversarial Deep Learning in Cognitive Radio-Enabled Internet of Things. IEEE Trans. Reliab. 2022, 1–14. [Google Scholar] [CrossRef]
- Mohammed Tag Elsir Awad, E.; Xiong, Y.; Wang, J.; Tang, B. A new approach for high order MQAM signal modulation recognition. In Proceedings of the Eighth International Conference on Digital Image Processing (ICDIP 2016), Chengdu, China, 20–23 May 2016; pp. 1036–1040. [Google Scholar] [CrossRef]
- Kumar, A.; Majhi, S.; Gui, G.; Wu, H.C.; Yuen, C. A Survey of Blind Modulation Classification Techniques for OFDM Signals. Sensors 2022, 22, 1020. [Google Scholar] [CrossRef]
- Kim, K.; Polydoros, A. Digital modulation classification: The BPSK versus QPSK case. In Proceedings of the MILCOM 88, 21st Century Military Communications-What’s Possible?’. Conference Record. Military Communications Conference, San Diego, CA, USA, 23–26 October 1988; pp. 431–436. [Google Scholar] [CrossRef]
- Wei, W.; Mendel, J.M. Maximum-likelihood classification for digital amplitude-phase modulations. IEEE Trans. Commun. 2000, 48, 189–193. [Google Scholar] [CrossRef]
- Majhi, S.; Gupta, R.; Xiang, W.; Glisic, S. Hierarchical hypothesis and feature-based blind modulation classification for linearly modulated signals. IEEE Trans. Veh. Technol. 2017, 66, 11057–11069. [Google Scholar] [CrossRef]
- Gupta, R.; Majhi, S.; Dobre, O.A. Design and implementation of a tree-based blind modulation classification algorithm for multiple-antenna systems. IEEE Trans. Instrum. Meas. 2018, 68, 3020–3031. [Google Scholar] [CrossRef]
- Zhang, X.; Ge, T.; Chen, Z. Automatic modulation recognition of communication signals based on instantaneous statistical characteristics and SVM classifier. In Proceedings of the 2018 IEEE Asia-Pacific Conference on Antennas and Propagation (APCAP), Auckland, New Zealand, 5–8 August 2018; pp. 344–346. [Google Scholar] [CrossRef]
- Yang, Y.; Yang, L.; Hu, M. A method for digital modulation recognition based on mixed signal features. In Proceedings of the 2019 International Conference on Electronic Engineering and Informatics (EEI), Nanjing, China, 8–10 November 2019; pp. 195–199. [Google Scholar] [CrossRef]
- Xie, W.; Hu, S.; Yu, C.; Zhu, P.; Peng, X.; Ouyang, J. Deep learning in digital modulation recognition using high order cumulants. IEEE Access 2019, 7, 63760–63766. [Google Scholar] [CrossRef]
- Wang, A.; Li, R. Research on digital signal recognition based on higher order cumulants. In Proceedings of the 2019 International Conference on Intelligent Transportation, Big Data & Smart City (ICITBS), Changsha, China, 12–13 January 2019; pp. 586–588. [Google Scholar] [CrossRef]
- Hassanpour, S.; Pezeshk, A.M.; Behnia, F. A robust algorithm based on wavelet transform for recognition of binary digital modulations. In Proceedings of the 2015 38th International Conference on Telecommunications and Signal Processing (TSP), Prague, Czech Republic, 9–11 July 2015; pp. 508–512. [Google Scholar] [CrossRef]
- Yang, J.; Liu, F. Modulation recognition using wavelet transform based on AlexNet. In Proceedings of the 2019 IEEE 7th International Conference on Computer Science and Network Technology (ICCSNT), Dalian, China, 19–20 October 2019; pp. 339–342. [Google Scholar] [CrossRef]
- Majhi, S.; Gupta, R.; Xiang, W. Novel blind modulation classification of circular and linearly modulated signals using cyclic cumulants. In Proceedings of the 2017 IEEE 28th Annual International Symposium on Personal, Indoor, and Mobile Radio Communications (PIMRC), Montreal, QC, Canada, 8–13 October 2017; pp. 1–5. [Google Scholar] [CrossRef]
- Wei, Y.; Fang, S.; Wang, X. Automatic modulation classification of digital communication signals using SVM based on hybrid features, cyclostationary, and information entropy. Entropy 2019, 21, 745. [Google Scholar] [CrossRef] [PubMed]
- Shi, C. Signal pattern recognition based on fractal features and machine learning. Appl. Sci. 2018, 8, 1327. [Google Scholar] [CrossRef]
- Wang, F.; Wang, Y.; Chen, X. Graphic constellations and DBN based automatic modulation classification. In Proceedings of the 2017 IEEE 85th Vehicular Technology Conference (VTC Spring), Sydney, Australia, 4–7 June 2017; pp. 1–5. [Google Scholar] [CrossRef]
- Yan, X.; Zhang, G.; Wu, H.C. A Novel Automatic Modulation Classifier Using Graph-Based Constellation Analysis for M-ary QAM. IEEE Commun. Lett. 2018, 23, 298–301. [Google Scholar] [CrossRef]
- Liu, M.; Liu, C.; Chen, Y.; Yan, Z.; Zhao, N. Radio Frequency Fingerprint Collaborative Intelligent Blind Identification for Green Radios. IEEE Trans. Green Commun. Netw. 2022. [Google Scholar] [CrossRef]
- Ding, Y.; Feng, Y.; Lu, W.; Zheng, S.; Zhao, N.; Meng, L.; Nallanathan, A.; Yang, X. Online Edge Learning Offloading and Resource Management for UAV-Assisted MEC Secure Communications. IEEE J. Sel. Top. Signal Process. 2023, 17, 54–65. [Google Scholar] [CrossRef]
- Lu, W.; Mo, Y.; Feng, Y.; Gao, Y.; Zhao, N.; Wu, Y.; Nallanathan, A. Secure Transmission for Multi-UAV-Assisted Mobile Edge Computing Based on Reinforcement Learning. IEEE Trans. Netw. Sci. Eng. 2022, 1–12. [Google Scholar] [CrossRef]
- Peng, S.; Jiang, H.; Wang, H.; Alwageed, H.; Yao, Y. Modulation classification using convolutional neural network based deep learning model. In Proceedings of the 2017 26th Wireless and Optical Communication Conference (WOCC), Newark, NJ, USA, 7–8 April 2017; pp. 1–5. [Google Scholar] [CrossRef]
- Matuszewski, J.; Pietrow, D. Recognition of electromagnetic sources with the use of deep neural networks. In Proceedings of the XII Conference on Reconnaissance and Electronic Warfare Systems, Oltarzew, Poland, 19–21 November 2018; Volume 11055, pp. 100–114. [Google Scholar] [CrossRef]
- Matuszewski, J.; Pietrow, D. Specific radar recognition based on characteristics of emitted radio waveforms using convolutional neural networks. Sensors 2021, 21, 8237. [Google Scholar] [CrossRef]
- Lee, J.; Kim, B.; Kim, J.; Yoon, D.; Choi, J.W. Deep neural network-based blind modulation classification for fading channels. In Proceedings of the 2017 International Conference on Information and Communication Technology Convergence (ICTC), Jeju Island, Republic of Korea, 18–20 October 2017; pp. 551–554. [Google Scholar] [CrossRef]
- Kim, B.; Kim, J.; Chae, H.; Yoon, D.; Choi, J.W. Deep neural network-based automatic modulation classification technique. In Proceedings of the 2016 International Conference on Information and Communication Technology Convergence (ICTC), Jeju Island, Republic of Korea, 19–21 October 2016; pp. 579–582. [Google Scholar] [CrossRef]
- Mendis, G.J.; Wei, J.; Madanayake, A. Deep learning-based automated modulation classification for cognitive radio. In Proceedings of the 2016 IEEE International Conference on Communication Systems (ICCS), Shenzhen, China, 14–16 December 2016; pp. 1–6. [Google Scholar] [CrossRef]
- Duan, S.; Chen, K.; Yu, X.; Qian, M. Automatic multicarrier waveform classification via PCA and convolutional neural networks. IEEE Access 2018, 6, 51365–51373. [Google Scholar] [CrossRef]
- Gou, Z.; Xu, H.; Zheng, W.; Feng, L.; Bai, P. Semi-supervised Joint Neural Network Based Recognition Algorithm of Modulation Signal. J. Signal Process. 2020, 36, 168–176. [Google Scholar] [CrossRef]
- O’Shea, T.J.; Roy, T.; Clancy, T.C. Over-the-air deep learning based radio signal classification. IEEE J. Sel. Top. Signal Process. 2018, 12, 168–179. [Google Scholar] [CrossRef]
- Zhang, Y.; Liu, T.; Zhang, L.; Wang, K. A deep learning approach for modulation recognition. In Proceedings of the 2018 IEEE 23rd International Conference on Digital Signal Processing (DSP), Shanghai, China, 19–21 November 2018; pp. 1–5. [Google Scholar] [CrossRef]
- Vanhoy, G.; Thurston, N.; Burger, A.; Breckenridge, J.; Bose, T. Hierarchical modulation classification using deep learning. In Proceedings of the MILCOM 2018—2018 IEEE Military Communications Conference (MILCOM), Los Angeles, CA, USA, 29–31 October 2018; pp. 20–25. [Google Scholar] [CrossRef]
- Xu, J.; Luo, C.; Parr, G.; Luo, Y. A spatiotemporal multi-channel learning framework for automatic modulation recognition. IEEE Wirel. Commun. Lett. 2020, 9, 1629–1632. [Google Scholar] [CrossRef]
- Bu, K.; He, Y.; Jing, X.; Han, J. Adversarial transfer learning for deep learning based automatic modulation classification. IEEE Signal Process. Lett. 2020, 27, 880–884. [Google Scholar] [CrossRef]
- Wang, Y.; Gui, G.; Gacanin, H.; Ohtsuki, T.; Sari, H.; Adachi, F. Transfer learning for semi-supervised automatic modulation classification in ZF-MIMO systems. IEEE J. Emerg. Sel. Top. Power Electron. 2020, 10, 231–239. [Google Scholar] [CrossRef]
- Perenda, E.; Rajendran, S.; Bovet, G.; Pollin, S.; Zheleva, M. Learning the unknown: Improving modulation classification performance in unseen scenarios. In Proceedings of the IEEE INFOCOM 2021—IEEE Conference on Computer Communications, Vancouver, BC, Canada, 10–13 May 2021; pp. 1–10. [Google Scholar] [CrossRef]
- Pauluzzi, D.R.; Beaulieu, N.C. A comparison of SNR estimation techniques for the AWGN channel. IEEE Trans. Commun. 2000, 48, 1681–1691. [Google Scholar] [CrossRef]
- Qun, X.; Jian, Z. Improved SNR estimation algorithm. In Proceedings of the 2017 International Conference on Computer Systems, Electronics and Control (ICCSEC), Dalian, China, 25–27 December 2017; pp. 1458–1461. [Google Scholar] [CrossRef]
- Pan, S.J.; Yang, Q. A survey on transfer learning. IEEE Trans. Knowl. Data Eng. 2010, 22, 1345–1359. [Google Scholar] [CrossRef]
- Niu, S.; Liu, Y.; Wang, J.; Song, H. A decade survey of transfer learning (2010–2020). IEEE Trans. Artif. Intell. 2020, 1, 151–166. [Google Scholar] [CrossRef]
- Vrbančič, G.; Podgorelec, V. Transfer learning with adaptive fine-tuning. IEEE Access 2020, 8, 196197–196211. [Google Scholar] [CrossRef]
- O’Shea, T.J.; West, N. Radio machine learning dataset generation with GNU radio. In Proceedings of the GNU Radio Conference 2016, Boulder, CO, USA, 12–16 September 2017; pp. 1–6. [Google Scholar]
- Li, J.; Cheng, J.H.; Shi, J.Y.; Huang, F. Brief introduction of back propagation (BP) neural network algorithm and its improvement. In Proceedings of the Advances in Computer Science and Information Engineering, Zhengzhou, China, 19–20 May 2012; Volume 2, pp. 553–558. [Google Scholar] [CrossRef]
- Zaheer, R.; Shaziya, H. A study of the optimization algorithms in deep learning. In Proceedings of the 2019 Third International Conference on Inventive Systems and Control (ICISC), Coimbatore, India, 10–11 January 2019; pp. 536–539. [Google Scholar] [CrossRef]
- Abdelmutalab, A.; Assaleh, K.; El-Tarhuni, M. Automatic modulation classification based on high order cumulants and hierarchical polynomial classifiers. Phys. Commun. 2016, 21, 10–18. [Google Scholar] [CrossRef]
- Zhao, Y.; Xu, Y.T.; Jiang, H.; Luo, Y.J.; Wang, Z.W. Recognition of digital modulation signals based on high-order cumulants. In Proceedings of the 2015 International Conference on Wireless Communications & Signal Processing (WCSP), Nanjing, China, 15–17 October 2015; pp. 1–5. [Google Scholar] [CrossRef]
- Hao, Y.; Wang, X.; Lan, X. Frequency domain analysis and convolutional neural network based modulation signal classification method in OFDM system. In Proceedings of the 2021 13th International Conference on Wireless Communications and Signal Processing (WCSP), Changsha, China, 20–22 October 2021; pp. 1–5. [Google Scholar] [CrossRef]
- Bai, J.; Gao, L.; Gao, J.; Li, H.; Zhang, R.; Lu, Y. A new radar signal modulation recognition algorithm based on time-frequency transform. In Proceedings of the 2019 IEEE 4th International Conference on Signal and Image Processing (ICSIP), Wuxi, China, 19–21 July 2019; pp. 21–25. [Google Scholar] [CrossRef]
- Venkata Subbarao, M.; Samundiswary, P. Spectrum sensing in cognitive radio networks using time–frequency analysis and modulation recognition. In Proceedings of the Microelectronics, Electromagnetics and Telecommunications: Proceedings of ICMEET 2017, Hyderabad, India, 9–10 September 2017; pp. 827–837. [Google Scholar] [CrossRef]
- Zeng, Y.; Zhang, M.; Han, F.; Gong, Y.; Zhang, J. Spectrum analysis and convolutional neural network for automatic modulation recognition. IEEE Wirel. Commun. Lett. 2019, 8, 929–932. [Google Scholar] [CrossRef]
- Zhang, L.; Liu, H.; Yang, X.; Jiang, Y.; Wu, Z. Intelligent denoising-aided deep learning modulation recognition with cyclic spectrum features for higher accuracy. IEEE Trans. Aerosp. Electron. Syst. 2021, 57, 3749–3757. [Google Scholar] [CrossRef]
- Nandi, A.K.; Azzouz, E.E. Algorithms for automatic modulation recognition of communication signals. IEEE Trans. Commun. 1998, 46, 431–436. [Google Scholar] [CrossRef]
- O’Shea, T.J.; Corgan, J.; Clancy, T.C. Convolutional radio modulation recognition networks. In Proceedings of the Engineering Applications of Neural Networks, Aberdeen, UK, 2–5 September 2016; pp. 213–226. [Google Scholar] [CrossRef]
- Rajendran, S.; Meert, W.; Giustiniano, D.; Lenders, V.; Pollin, S. Deep learning models for wireless signal classification with distributed low-cost spectrum sensors. IEEE Trans. Cogn. Commun. Netw. 2018, 4, 433–445. [Google Scholar] [CrossRef]
- West, N.E.; O’shea, T. Deep architectures for modulation recognition. In Proceedings of the 2017 IEEE International Symposium on Dynamic Spectrum Access Networks (DySPAN), Baltimore, MD, USA, 6–9 March 2017; pp. 1–6. [Google Scholar] [CrossRef]






















| Reference | Method | Modulation Set | Advantages | Limitations | Recognition Accuracy |
|---|---|---|---|---|---|
| [31] | 28 statistical features + DNN | BPSK, QPSK, 16QAM, 64QAM and 8PSK | Good performance and robust to fading channels | Poor recognition of 16QAM and 64QAM | Acc = 86.43% when the Doppler frequency and SNR are set to 100 Hz and 5 dB |
| [32] | 21 statistical features + DNN | BPSK, QPSK, 16QAM, 64QAM and 8PSK | Good discrimination of modulation types for high-Doppler fading channels | Unreliable performance comparison with previous methods (inconsistent network inputs) | Acc = 100% when SNR > 0 dB |
| [33] | SCF patterns + DBN | 4FSK, 16QAM, BPSK, QPSK and OFDM | Robust at low SNRs | Poor recognition of BPSK and QPSK | Acc > 90% when SNR > −2 dB |
| [34] | Instantaneous amplitude + CNN | OFDM-QAM, FBMC-OQAM and UFMC | Good discrimination of multicarrier waveforms in dense transmission environment; low computational complexity | Raw amplitude features are not effective at low SNRs | Acc = 97.4% at SNRs ranging from −5 dB to 20 dB |
| [35] | Instantaneous parameters + LSTM-ResNet | RML2016.10a | Good recognition of modulation types under small-sample- scale conditions | High model complexity; poor recognition of 8PSK and QPSK, 16QAM and 64QAM, and WBFM and AM-DSB | Acc = 92% at 0 dB |
| [36] | IQ data + ResNet | RML2018.01a | Good performance on the difficult signal database | Poor recognition of high-order modulation types (16-/32-PSK and 64-/128-/256-QAM) and AM modes; requires high SNRs; requires many samples | Acc = 80% at 10 dB |
| [37] | IQ data + DBN | RML2016.10a | Simple model structure | Poor recognition of 16QAM and 64QAM; requires high SNRs | Acc = 92.12% at 18 dB |
| [38] | IQ data + CLDNN with hierarchical structure | MGFSK, MCPFSK, MPAM, MQAM, AM, WBFM, IFM, OFDM, MASK and MPSK | Different network structures for different families of modulations | Poor recognition of high-order modulations; recognition rate is enhanced with the increase in sample size | Acc > 75% when SNR > 0 dB; maximum rate is 80% |
| [39] | IQ data + MCLDNN | RML2016.10a | Efficient convergence speed | Poor recognition of 16QAM and 64QAM, and WBFM and AM-DSB | Acc = 92% at SNRs ranging from 0 dB to 18 dB |
| [40] | IQ data + ATLA | RML2016.10a | Good recognition performance with insufficient data and under various imperfections (frequency offset, etc.) | Poor recognition of 16QAM and 64QAM, and WBFM and AM-DSB | Acc = 82% with half of the training data; Acc increased by 17.3% with one-tenth of training data |
| [41] | IQ data + TL-AMC | BPSK, QPSK, 8PSK and 16QAM | Good performance at high SNRs | Poor recognition of 16QAM and 8PSK at low SNRs | Acc = 100% at 10 dB |
| [42] | IQ data + ResNeXt | RML2016.10a + RML2018.01a | Robust to signal shape transformations introduced by unknown signal and channel parameters | Vulnerable to out- of-distribution data | Acc increased by 10∼30% with only 5% of labeled data |
| Proposed algorithm | Fine-tuned MCLDNN + Feature re-extraction | RML2016.10a | Better recognition of modulation types that are at low SNRs and easily confused | Comparatively high network complexity | Acc = 96.65% at 0 dB; Acc = 91.28% at SNRs ranging from −8 dB to 18 dB |
| Learning Rate | Training Time (Seconds/Epoch) | Training Epochs | Total Training Time (Seconds) |
|---|---|---|---|
| 0.1 | 299 | 11 | 3289 |
| 0.05 | 327 | 11 | 3597 |
| 0.01 | 780 | 28 | 21,840 |
| 0.005 | 720 | 24 | 17,280 |
| 0.001 | 312 | 43 | 13,416 |
| 0.0005 | 295 | 68 | 20,060 |
| 0.0001 | 358 | 136 | 48,688 |
| 0.00005 | 364 | 198 | 72,072 |
| Batch Size | Training Time (Seconds/Epoch) | Training Epochs | Total Training Time (Seconds) |
|---|---|---|---|
| 16 | 875 | 24 | 21,000 |
| 32 | 640 | 27 | 17,280 |
| 64 | 455 | 30 | 13,650 |
| 128 | 420 | 38 | 15,960 |
| 256 | 345 | 43 | 14,835 |
| 512 | 312 | 43 | 13,416 |
| 1024 | 302 | 70 | 21,140 |
| 2048 | 270 | 70 | 18,900 |
| MR Algorithm | Learned Parameters | FLOPs |
|---|---|---|
| CNN-IQ | 129,867 | 130,132 |
| LSTM-IQ | 297,611 | 558,473 |
| CLDNN-IQ | 334,225 | 594,943 |
| MCLDNN-IQ | 405,175 | 665,742 |
| Proposed algorithm | 476,125 | 736,545 |
Disclaimer/Publisher’s Note: The statements, opinions and data contained in all publications are solely those of the individual author(s) and contributor(s) and not of MDPI and/or the editor(s). MDPI and/or the editor(s) disclaim responsibility for any injury to people or property resulting from any ideas, methods, instructions or products referred to in the content. |
© 2023 by the authors. Licensee MDPI, Basel, Switzerland. This article is an open access article distributed under the terms and conditions of the Creative Commons Attribution (CC BY) license (https://creativecommons.org/licenses/by/4.0/).
Share and Cite
Wang, Y.; Zhou, L.; Yang, Z.; Wu, L.; Yin, Z.; Zhao, Y.; Wu, Z. An Improved Modulation Recognition Algorithm Based on Fine-Tuning and Feature Re-Extraction. Electronics 2023, 12, 2134. https://doi.org/10.3390/electronics12092134
Wang Y, Zhou L, Yang Z, Wu L, Yin Z, Zhao Y, Wu Z. An Improved Modulation Recognition Algorithm Based on Fine-Tuning and Feature Re-Extraction. Electronics. 2023; 12(9):2134. https://doi.org/10.3390/electronics12092134
Chicago/Turabian StyleWang, Yibing, Liang Zhou, Zhutian Yang, Longwen Wu, Zhendong Yin, Yaqin Zhao, and Zhilu Wu. 2023. "An Improved Modulation Recognition Algorithm Based on Fine-Tuning and Feature Re-Extraction" Electronics 12, no. 9: 2134. https://doi.org/10.3390/electronics12092134
APA StyleWang, Y., Zhou, L., Yang, Z., Wu, L., Yin, Z., Zhao, Y., & Wu, Z. (2023). An Improved Modulation Recognition Algorithm Based on Fine-Tuning and Feature Re-Extraction. Electronics, 12(9), 2134. https://doi.org/10.3390/electronics12092134

