LA_YOLOx: Effective Model to Detect the Surface Defects of Insulative Baffles
Abstract
1. Introduction
2. Related Work
2.1. Analysis of Surface Defects of Insulative Baffles
2.2. Algorithm Analysis
2.2.1. Object Detection Algorithm Based on YOLO
2.2.2. YOLOx
2.2.3. Analysis and Optimization of Loss Function
3. Lightweight Structures for YOLOx
3.1. MobileNetV3
3.2. GhostNet
3.3. Depthwise Separable Convolution
4. Attention Modules for Lightweight YOLOx
4.1. SE
4.2. CBAM
4.3. ECA
4.4. Overview of Improved YOLOx
5. Experiments Results and Discussion
5.1. Experimental Scheme
5.1.1. Experimental Setup
5.1.2. Dataset and Preprocessing
5.2. Surface Defect Detection of Insulative Baffles of LA_YOLOx
5.2.1. Experimental Comparasions of Different Lightweight YOLOx
5.2.2. Experimental Comparasions of Different LA_YOLOx Models
5.2.3. Detection Effect and Analysis
6. Discussion, Conclusions, and Future Works
Author Contributions
Funding
Data Availability Statement
Conflicts of Interest
Abbreviations
| LA_YOLOx | Lightweight and attentive YOLOx model |
| YOLOx_MobileNetV3 | MobileNetV3 backbone in YOLOx |
| YOLOx_M&DSC | MobileNetV3 backbone and Depthwise separable convolution in YOLOx |
| YOLOx_GhostNet | GhostNet backbone in YOLOx |
| YOLOx_G&DSC | GhostNet backbone and Depthwise separable convolution in YOLOx |
References
- Yao, J.G.; Xiao, H.Y.; Zhang, J.; Jiang, Y.; Yao, P.; Sun, G.Q. Design of Electric Equipment Operation Security Condition Assessment System. J. Power Syst. Autom. 2009, 1, 52–58. [Google Scholar]
- Su, H.; Zhang, J.B.; Zhang, B.H.; Wei, Z. Review of research on the inspection of surface defect based on visual perception. Comput. Integr. Manuf. Syst. 2009, 29, 169–191. [Google Scholar]
- Cao, M.; Zhang, W.; Zeng, W.; Chen, C. Research on the device of differential excitation type eddy current testing for metal defect detection. In Proceedings of the IEEE Far East Forum on Nondestructive Evaluation/Testing: New Technology and Application, Jinan, China, 17–20 June 2013; pp. 155–158. [Google Scholar]
- Zeng, W.; Wang, H.; Tian, G.; Hu, G.X.; Yang, X.M.; Wan, M. Application of a non-contact laser ultrasonic imaging technique in surface defect detection. In Proceedings of the IEEE Far East Forum on Nondestructive Evaluation/Testing, Chengdu, China, 20–23 June 2014; pp. 30–33. [Google Scholar]
- Pan, M.; Zhou, D.; Chang, X. Analysis of surface defect detection characteristics of new pulsed MagneticFlux Leakage detection method. Sensors Microsystems 2017, 36, 32–35. [Google Scholar]
- Lowe, D.G. Object recognition from local scale-invariant features. In Proceedings of the Seventh IEEE International Conference on Computer Vision, Kerkyra, Greece, 20–27 September 1999; Volume 2, pp. 1150–1157. [Google Scholar]
- Lowe, D.G. The title of the cited article. Distinctive Image Featur. Scale-Invariant Keypoints 2004, 60, 91–110. [Google Scholar]
- Dalal, N.; Triggs, B. Histograms of oriented gradients for human detection. In Proceedings of the 2005 IEEE Computer Society Conference on Computer Vision and Pattern Recognition, San Diego, CA, USA, 20–25 June 2005; pp. 886–893. [Google Scholar]
- Girshick, R.; Donahue, J.; Darrell, T.; Malik, J. Rich Feature Hierarchies for Accurate Object Detection and Semantic Segmentation. In Proceedings of the 2014 IEEE Conference on Computer Vision and Pattern Recognition, Columbus, OH, USA, 23–28 June 2014; pp. 580–587. [Google Scholar]
- Girshick, R. Fast RCNN. arXiv 2015, arXiv:1504.08083. [Google Scholar]
- Ren, S.Q.; He, K.M.; Girshick, R.; Sun, J. Faster R-CNN: Towards Real-Time Object Detection with Region Proposal Networks. IEEE Trans. Pattern Anal. Mach. Intell. 2016, 36, 1137–1149. [Google Scholar] [CrossRef]
- Redmon, J.; Divvala, S.; Girshick, R.; Farhadi, A. You Only Look Once: Unified, Real-Time Object Detection. In Proceedings of the 2016 IEEE Conference on Computer Vision and Pattern Recognition (CVPR), Las Vegas, NE, USA, 27–30 June 2016; pp. 779–788. [Google Scholar]
- Liu, W.; Anguelov, D.; Erhan, D.; Szegedy, C.; Reed, S.; Fu, C.Y.; Berg, A.C. SSD: Single Shot MultiBox Detector. arXiv 2016, arXiv:1512.02325. [Google Scholar]
- Bochkovskiy, A.; Wang, C.Y.; Liao, H.Y. YOLOv4: Optimal Speed and Accuracy of Object Detection. arXiv 2020, arXiv:2004.10934. [Google Scholar]
- Ge, Z.; Liu, S.T.; Wang, F.; Sun, J. YOLOX: Exceeding YOLO Series in 2021. arXiv 2021, arXiv:2107.08430. [Google Scholar]
- Redmon, J.; Farhadi, A. YOLOv3: An Incremental Improvement. arXiv 2018, arXiv:1804.02767. [Google Scholar]
- Cheng, J.Y.; Duan, X.H.; Zhu, W. Research on Metal Surface Defect Detection by Improved YOLOv3. Comput. Eng. Appl. 2021, 57, 252–258. [Google Scholar]
- Xu, Y.J.; Li, C. Lightweight object detection network based on optimized YOLO. Comput. Sci. 2021, 48, 265–269. [Google Scholar]
- Lim, W.H.; Bonab, M.B.; Chua, K.H. An Optimized Lightweight Model for Real-Time Wood Defects Detection based on YOLOv4-Tiny. In Proceedings of the 2022 IEEE International Conference on Automatic Control and Intelligent Systems (I2CACIS), Shah Alam, Malaysia, 25–25 June 2022; pp. 186–191. [Google Scholar]
- Kim, M.; Jeong, J.; Kim, S. ECAP-YOLO: Efficient Channel Attention Pyramid YOLO for Small Object Detection in Aerial Image. Remote. Sens. 2021, 13, 4851. [Google Scholar] [CrossRef]
- Zheng, Z.; Zhao, J.; Li, Y. Research on Detecting Bearing-Cover Defects Based on Improved YOLOv3. IEEE Access 2021, 9, 10304–10315. [Google Scholar] [CrossRef]
- Tao, X.; Hou, W.; Xu, D. A Survey of Surface Defect Detection Methods Based on Deep Learning. Acta Autom. Sin. 2021, 47, 1017–1034. [Google Scholar]
- Fan, L.L.; Zhao, H.W.; Zhao, H.Y.; Hu, H.; Wang, Z. Survey of target detection based on deep convolutional neural networks. Opt. Precis. Eng. 2020, 28, 1152–1164. [Google Scholar]
- He, K.M.; Zhang, X.Y.; Ren, S.Q. Spatial Pyramid Pooling in Deep Convolutional Networks for Visual Recognition. IEEE Trans. Pattern Anal. Mach. Intell. 2015, 37, 1904–1916. [Google Scholar] [CrossRef]
- Liu, S.; Qi, L.; Qin, H.; Shi, J.; Jia, J. Path Aggregation Network for Instance Segmentation. arXiv 2018, arXiv:1803.01534. [Google Scholar]
- Lin, T.Y.; Dollár, P.; Girshick, R. Feature Pyramid Networks for Object Detection. arXiv 2017, arXiv:1612.03144. [Google Scholar]
- Yu, J.H.; Jiang, Y.N.; Wang, Z.Y.; Huang, T. UnitBox: An Advanced Object Detection Network. arXiv 2016, arXiv:1608.01471. [Google Scholar]
- Zheng, Z.H.; Wang, P.; Ren, D.W.; Liu, W.; Ye, R.; Hu, Q.; Zuo, W. Enhancing Geometric Factors in Model Learning and Inference for Object Detection and Instance Segmentation. arXiv 2021, arXiv:2005.03572. [Google Scholar] [CrossRef]
- Ge, Z.; Liu, S.T.; Li, Z.M.; Yoshie, O.; Sun, J. Ota: Optimal transport assignment for object detection. arXiv 2021, arXiv:2103.14259. [Google Scholar]
- Howard, A.; Zhu, M.L.; Chen, B.; Kalenichenko, D.; Wang, W.; Weyand, T.; Andreetto, M.; Adam, H. MobileNets: Efficient Convolutional Neural Networks for Mobile Vision Applications. arXiv 2017, arXiv:2103.14259. [Google Scholar]
- Sandler, M.; Howard, A.; Zhu, M.L.; Zhmoginov, A.; Chen, L.C. MobileNetV2: Inverted Residuals and Linear Bottlenecks. arXiv 1801, arXiv:1801.04381. [Google Scholar]
- Howard, A.; Sandler, M.; Chu, G.; Chen, L.C.; Chen, B.; Tan, M.; Wang, W.; Zhu, Y.; Pang, R.; Vasudevan, V.; et al. Searching for MobileNetV3. arXiv 2019, arXiv:10.48550/1905.02244. [Google Scholar]
- Han, K.; Wang, Y.H.; Tian, Q.; Guo, J.; Xu, C.; Xu, C. GhostNet: More Features from Cheap Operations. In Proceedings of the IEEE/CVF Conference on Computer Vision and Pattern Recognition, Seattle, WA, USA, 13–19 June 2020; pp. 1577–1586. [Google Scholar]
- Hu, J.; Shen, L.; Albanie, S. Squeeze-and-Excitation Networks. arXiv 2018, arXiv:1709.01507. [Google Scholar]
- Woo, S.; Park, J.; Lee, J. CBAM: Convolutional Block Attention Module. arXiv 2018, arXiv:1807.06521. [Google Scholar]
- Wang, Q.L.; Wu, B.G.; Zhu, P.F.; Li, P.; Zuo, W.; Hu, Q. ECA-Net: Efficient Channel Attention for Deep Convolutional Neural Networks. arXiv 2020, arXiv:1910.03151. [Google Scholar]












| Model | Indexes | BM | PP | SC | VB | Params (M) | mAP(%) |
|---|---|---|---|---|---|---|---|
| YOLOx | R(%) | 98.95 | 91.67 | 85.54 | 97.50 | 8.93 | 95.31 |
| P(%) | 98.95 | 94.83 | 91.90 | 96.30 | |||
| AP(%) | 99.19 | 94.57 | 91.13 | 96.36 | |||
| YOLOx (Tiny) | R(%) | 99.21 | 90.00 | 85.38 | 97.50 | 5.03 | 94.72 |
| P(%) | 98.95 | 93.10 | 91.89 | 97.50 | |||
| AP(%) | 99.47 | 91.68 | 91.49 | 96.36 | |||
| YOLOx (Nano) | R(%) | 98.43 | 84.76 | 82.00 | 96.25 | 2.25 | 91.87 |
| P(%) | 98.94 | 89.22 | 94.50 | 95.06 | |||
| AP(%) | 99.28 | 84.54 | 88.86 | 94.80 | |||
| YOLOx(M) | R(%) | 98.69 | 92.14 | 84.46 | 96.25 | 7.47 | 95.60 |
| P(%) | 98.43 | 93.93 | 93.21 | 98.72 | |||
| AP(%) | 98.43 | 94.67 | 91.42 | 97.87 | |||
| YOLOx (M&DSC) | R(%) | 98.69 | 89.29 | 82.77 | 97.50 | 5.26 | 94.50 |
| P(%) | 99.21 | 93.25 | 96.76 | 98.73 | |||
| AP(%) | 99.18 | 90.59 | 90.74 | 97.49 | |||
| YOLOx(G) | R(%) | 96.69 | 91.19 | 85.23 | 98.75 | 7.17 | 95.42 |
| P(%) | 98.95 | 94.57 | 90.82 | 96.34 | |||
| AP(%) | 98.79 | 94.34 | 90.90 | 97.63 | |||
| YOLOx (G&DSC) | R(%) | 98.69 | 88.33 | 83.23 | 96.25 | 4.96 | 93.70 |
| P(%) | 99.47 | 92.06 | 95.92 | 97.47 | |||
| AP(%) | 99.00 | 88.04 | 90.95 | 96.79 |
| Attention | Indexes | BM | PP | SC | VB | mAP(%) |
|---|---|---|---|---|---|---|
| SE (s) | R (%) | 98.69 | 91.19 | 83.54 | 96.25 | 95.09 |
| P (%) | 99.21 | 95.51 | 94.76 | 98.72 | ||
| AP (%) | 98.83 | 93.37 | 91.16 | 97.01 | ||
| SE (l) | R (%) | 98.69 | 91.90 | 84.66 | 97.50 | 95.68 |
| P (%) | 99.21 | 95.31 | 95.64 | 98.72 | ||
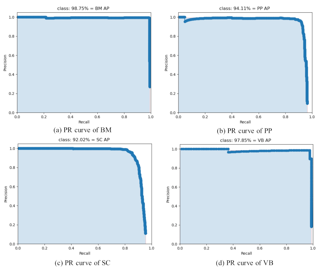
| AP (%) | 98.75 | 94.11 | 92.02 | 97.85 | ||
| CBAM (s) | R(%) | 98.69 | 90.00 | 83.08 | 96.25 | 94.70 |
| P (%) | 99.47 | 93.56 | 94.41 | 97.47 | ||
| AP (%) | 99.31 | 91.32 | 90.44 | 97.75 | ||
| CBAM (l) | R(%) | 98.43 | 91.19 | 82.46 | 96.25 | 94.65 |
| P (%) | 99.21 | 93.87 | 95.89 | 98.72 | ||
| AP (%) | 98.65 | 90.99 | 91.49 | 97.46 | ||
| ECA (s) | R (%) | 98.95 | 90.95 | 82.62 | 96.25 | 95.01 |
| P (%) | 99.47 | 93.40 | 95.21 | 98.72 | ||
| AP (%) | 99.10 | 92.90 | 90.88 | 97.16 | ||
| ECA (l) | R (%) | 98.43 | 90.71 | 83.08 | 96.25 | 94.84 |
| P (%) | 99.21 | 94.54 | 95.91 | 97.47 | ||
| AP (%) | 98.68 | 92.27 | 91.21 | 97.21 | ||
| SE (sl) | R (%) | 98.43 | 90.95 | 83.23 | 93.75 | 95.05 |
| P (%) | 99.21 | 94.09 | 95.41 | 97.40 | ||
| AP (%) | 98.68 | 93.02 | 91.51 | 97.00 |
| Model | Indexes | BM | PP | SC | VB | Params (M) | mAP(%) |
|---|---|---|---|---|---|---|---|
| YOLOx | R (%) | 98.95 | 91.67 | 85.54 | 97.50 | 8.93 | 95.31 |
| P (%) | 98.95 | 94.83 | 91.90 | 96.30 | |||
| AP (%) | 99.19 | 94.57 | 91.13 | 96.36 | |||
| YOLOx (M&DSC) | R (%) | 98.69 | 89.29 | 82.77 | 97.50 | 5.26 | 94.50 |
| P (%) | 99.21 | 93.25 | 96.76 | 98.73 | |||
| AP (%) | 99.18 | 90.59 | 90.74 | 97.49 | |||
| LA_YOLOx | R (%) | 98.69 | 91.90 | 84.66 | 97.50 | 5.26 | 95.68 |
| P (%) | 99.21 | 95.31 | 95.64 | 98.72 | |||
| AP (%) | 98.75 | 94.11 | 92.02 | 97.85 |
Disclaimer/Publisher’s Note: The statements, opinions and data contained in all publications are solely those of the individual author(s) and contributor(s) and not of MDPI and/or the editor(s). MDPI and/or the editor(s) disclaim responsibility for any injury to people or property resulting from any ideas, methods, instructions or products referred to in the content. |
© 2023 by the authors. Licensee MDPI, Basel, Switzerland. This article is an open access article distributed under the terms and conditions of the Creative Commons Attribution (CC BY) license (https://creativecommons.org/licenses/by/4.0/).
Share and Cite
Li, Q.; Luo, Z.; He, X.; Chen, H. LA_YOLOx: Effective Model to Detect the Surface Defects of Insulative Baffles. Electronics 2023, 12, 2035. https://doi.org/10.3390/electronics12092035
Li Q, Luo Z, He X, Chen H. LA_YOLOx: Effective Model to Detect the Surface Defects of Insulative Baffles. Electronics. 2023; 12(9):2035. https://doi.org/10.3390/electronics12092035
Chicago/Turabian StyleLi, Quanyang, Zhongqiang Luo, Xiangjie He, and Hongbo Chen. 2023. "LA_YOLOx: Effective Model to Detect the Surface Defects of Insulative Baffles" Electronics 12, no. 9: 2035. https://doi.org/10.3390/electronics12092035
APA StyleLi, Q., Luo, Z., He, X., & Chen, H. (2023). LA_YOLOx: Effective Model to Detect the Surface Defects of Insulative Baffles. Electronics, 12(9), 2035. https://doi.org/10.3390/electronics12092035

