Exploring the Validity of Plane and Spherical Millimeter-Wave Incidences for Multiple-Diffraction Calculations in Wireless Communication Systems
Abstract
1. Introduction
2. Propagation Environment
3. Theoretical Models
3.1. Plane Wave Incidence
3.2. Spherical Wave Incidence
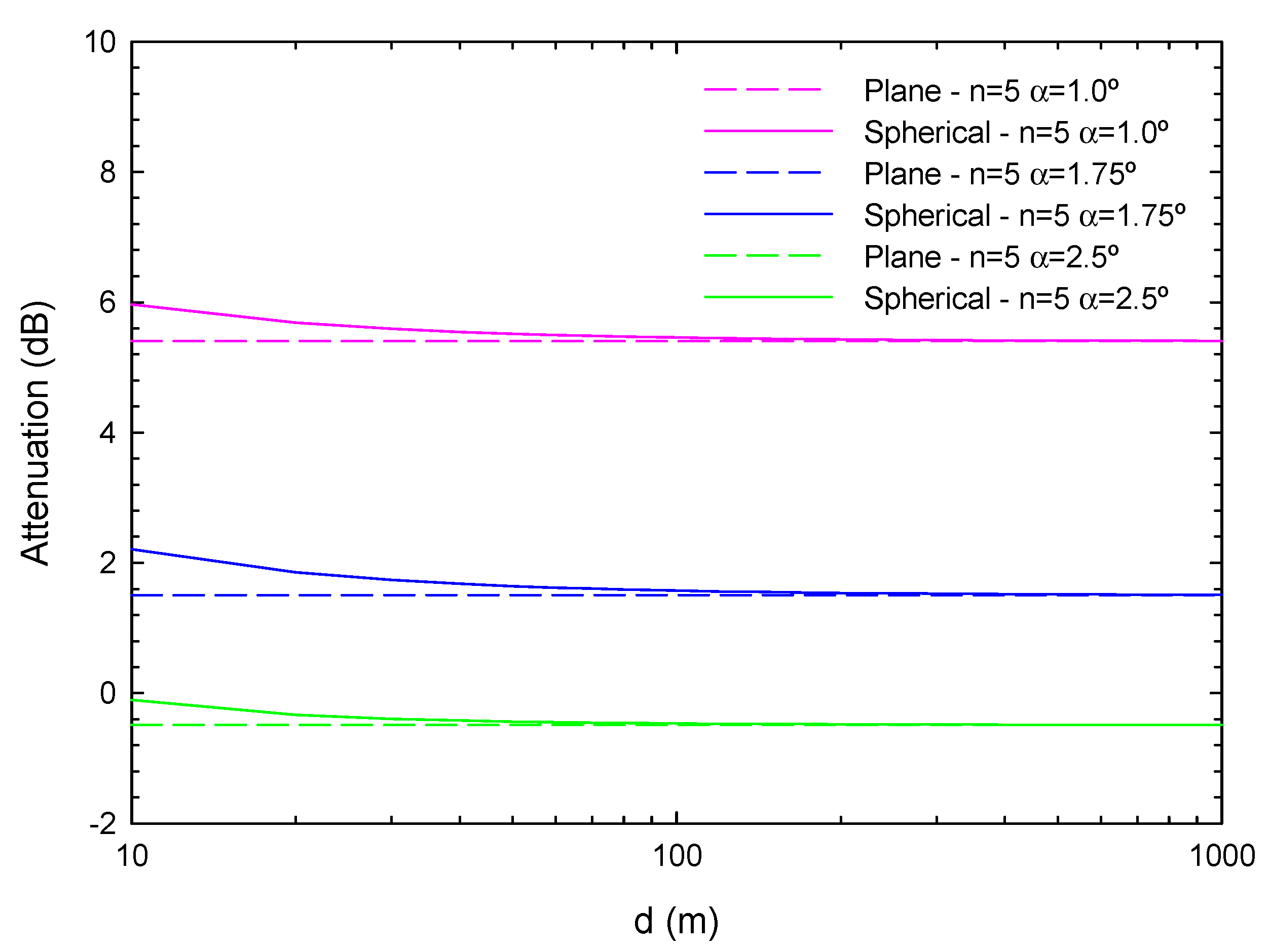
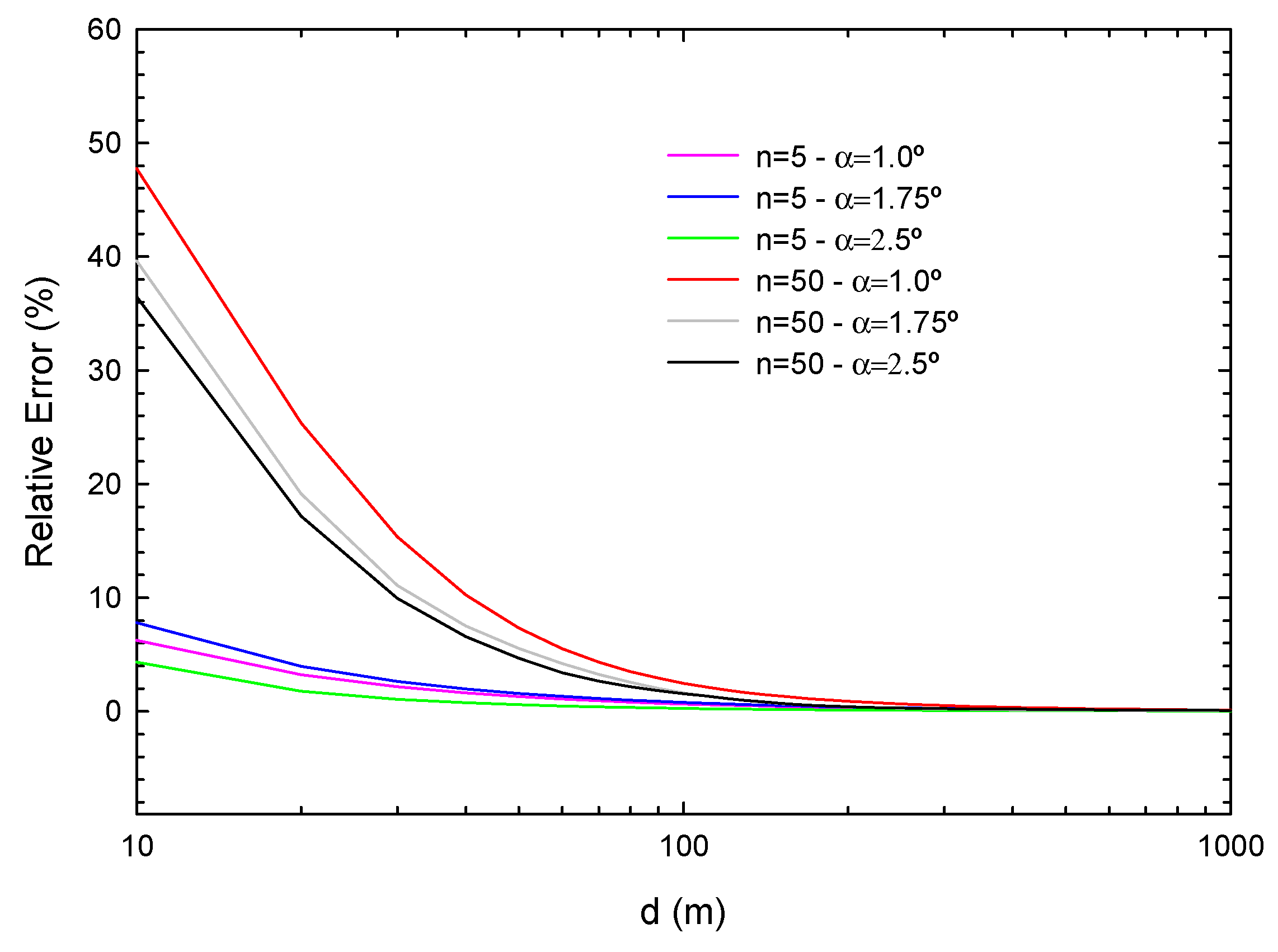
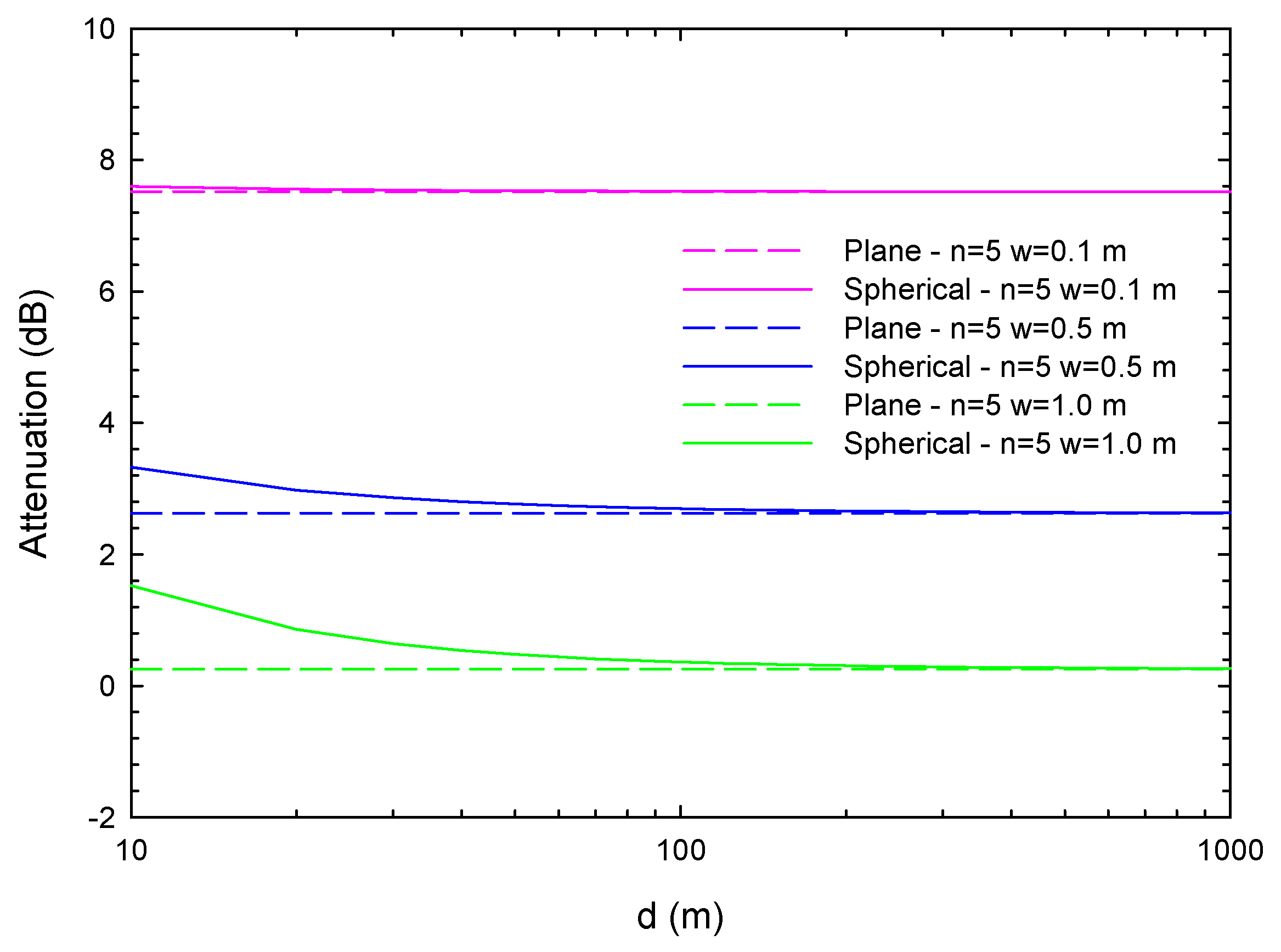
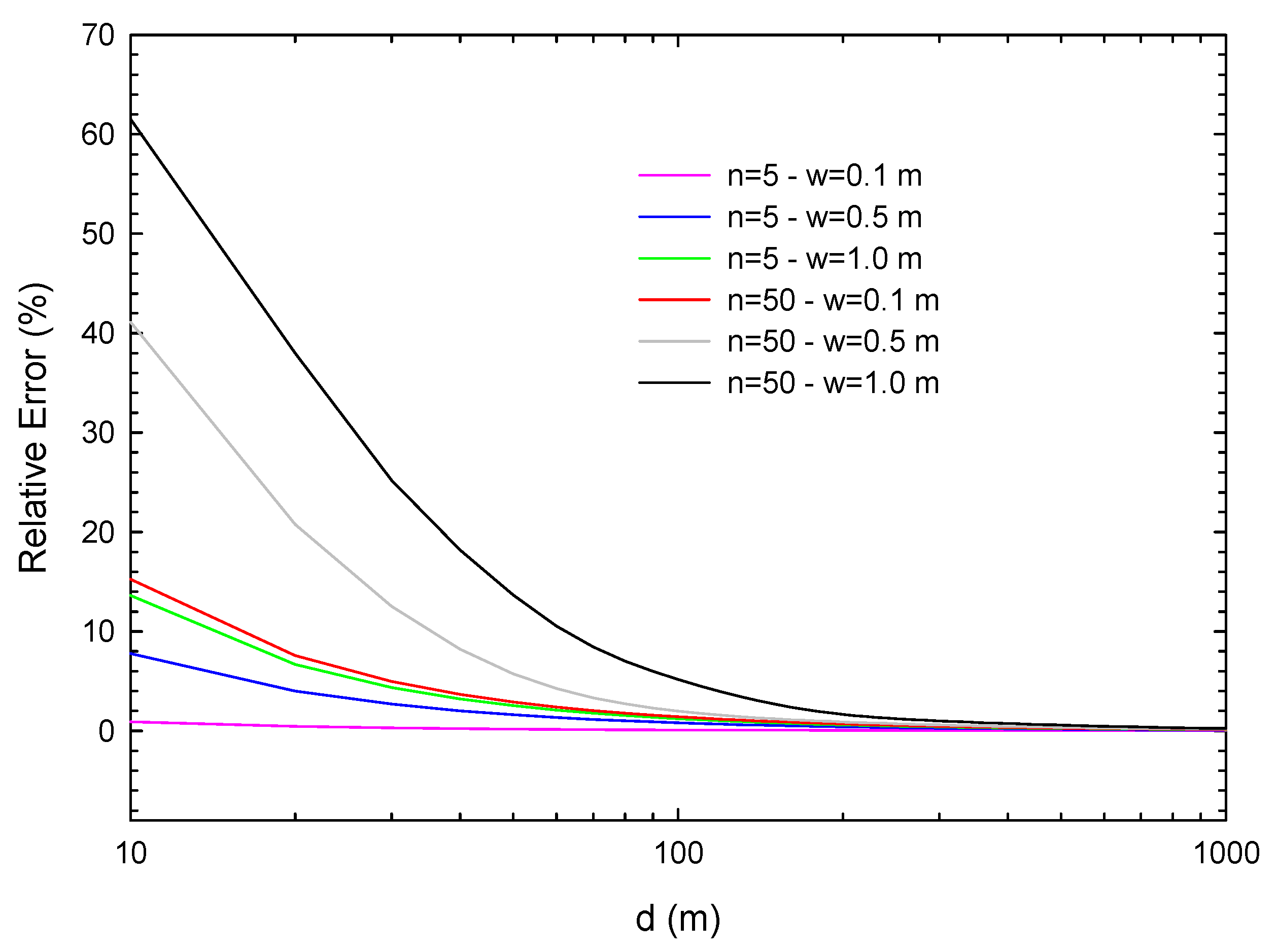
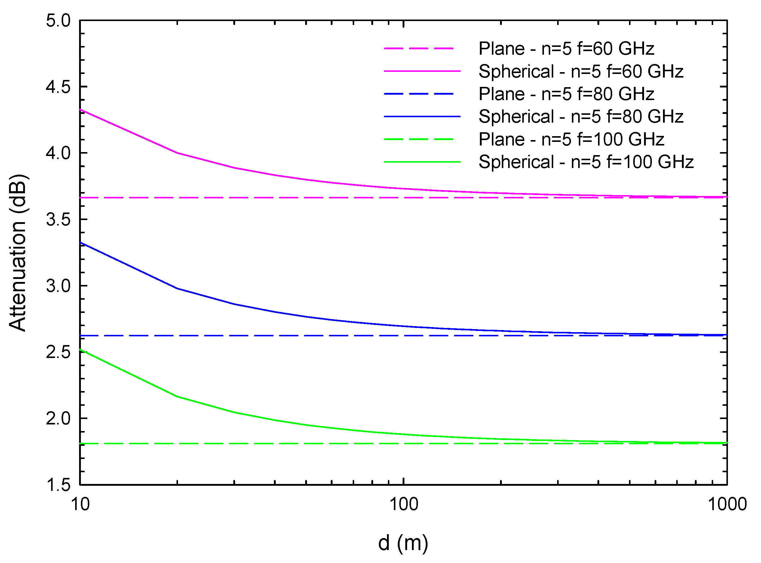
4. Results
4.1. Comparison between Plane and Sherical-Wave Incidences
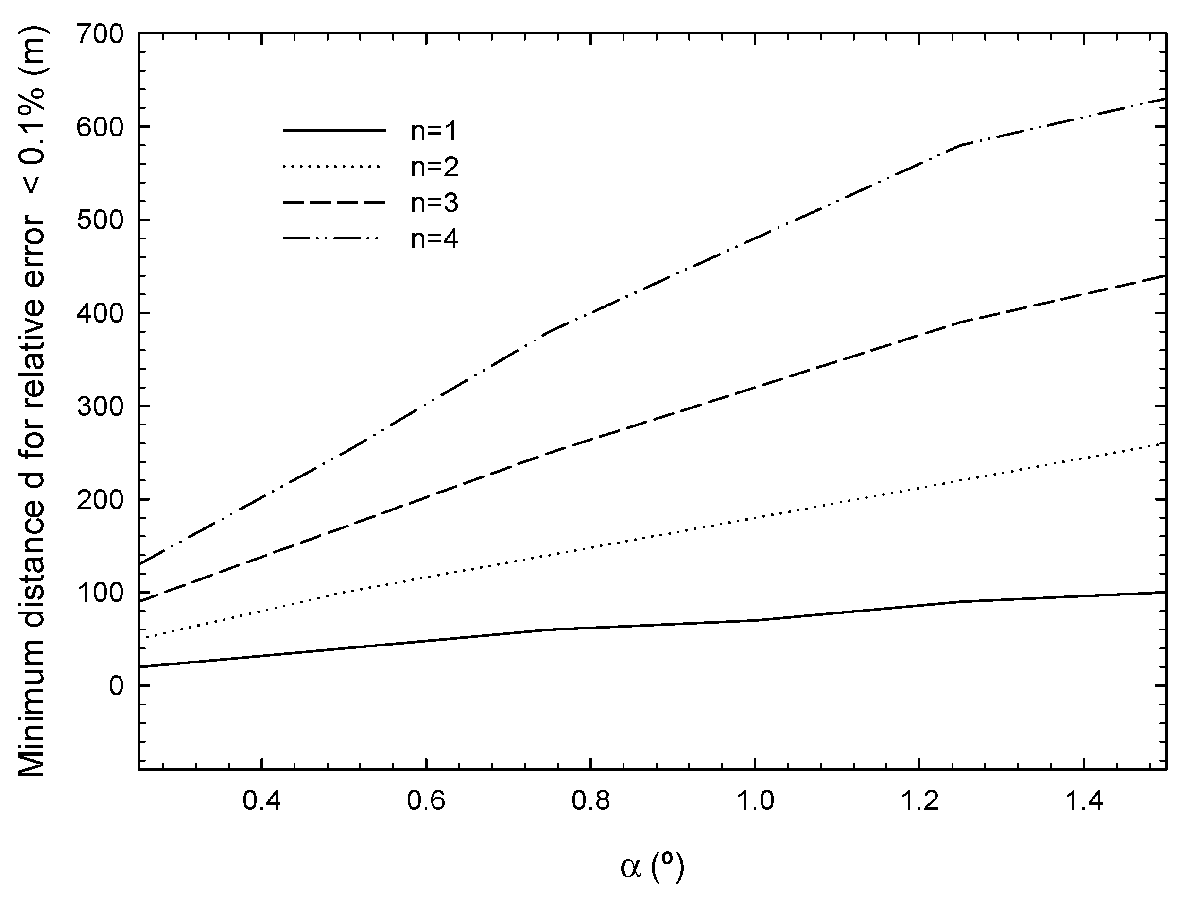
4.2. Minimum Values of d for the Two Types of Incidence to Converge
5. Conclusions
Author Contributions
Funding
Data Availability Statement
Acknowledgments
Conflicts of Interest
References
- Zhang, W.; Lähteenmäki, J.; Vainikainen, P. A practical aspect of over-rooftop multiple-building forward diffraction from a low source. IEEE Trans. Electromagn. Compat. 1999, 41, 115–119. [Google Scholar] [CrossRef]
- Neve, M.J.; Rowe, G.B. Contributions towards the development of a UTD-based model for cellular radio propagation prediction. IEE Proc. Microw. Antennas Propag. 1994, 141, 407–414. [Google Scholar] [CrossRef]
- Walfisch, J.; Bertoni, H. A theoretical model of UHF propagation in urban environments. IEEE Trans. Antennas Propag. 1988, 36, 1788–1796. [Google Scholar] [CrossRef]
- Saunders, S.; Bonar, F. Prediction of mobile radio wave propagation over buildings of irregular heights and spacings. IEEE Trans. Antennas Propag. 1994, 42, 137–144. [Google Scholar] [CrossRef]
- Juan-Llácer, L.; Cardona, N. UTD solution for the multiple building diffraction attenuation function for mobile radiowave propagation. Electron. Lett. 1997, 33, 92–93. [Google Scholar] [CrossRef]
- Rodríguez, J.-V.; Molina-García-Pardo, J.-M.; Juan-Llácer, L. A new solution expressed in terms of UTD coefficients for the multiple diffraction of spherical waves by a series of buildings. Radio Sci. 2007, 42, 1–15. [Google Scholar] [CrossRef]
- Jay, Y.; Liu, D.; Bird, N.C. Guest Editorial for the Special Issue on Antennas and Propagation Aspects of 60–90 GHz Wireless Communications. IEEE Trans. Antennas Propag. 2009, 57, 2817–2819. [Google Scholar]
- Smulders, P. Exploiting the 60 GHz band for local wireless multimedia access: Prospects and future directions. IEEE Commun. Mag. 2002, 40, 140–147. [Google Scholar] [CrossRef]
- Smulders, P.; Haibing, Y.; Akkermans, I. On the Design of Low-Cost 60-GHz Radios for Multigigabit-per-Second Trans-mission over Short Distances [Topics in Radio Communications]. IEEE Commun. Mag. 2007, 45, 44–51. [Google Scholar] [CrossRef]
- Shay, W.T.; Shen, K.J.; Chen, Y.R.; Lin, Y.Y.; Tsai, Z.M.; Tarng, J.H. Millimeter-wave channel modelling and ray-tracing method validation. In Proceedings of the 2019 Photonics & Electromagnetics Research Symposium-Fall (PIERS-Fall), Xiamen, China, 17–20 December 2019; pp. 2612–2620. [Google Scholar]
- Zhang, P.; Wang, H.; Hong, W. Radio propagation measurement and cluster-based analysis for millimeter-wave cellular systems in dense urban environments. Front. Inf. Technol. Electron. Eng. 2021, 22, 471–487. [Google Scholar] [CrossRef]
- Wang, H.; Zhang, P.; Li, J.; You, X. Radio propagation and wireless coverage of LSAA-based 5G millimeter-wave mobile communication systems. China Commun. 2019, 16, 1–18. [Google Scholar] [CrossRef]
- Al-Samman, A.M.; Azmi, M.H.; Al-Gumaei, Y.A.; Al-Hadhrami, T.; Rahman, T.A.; Fazea, Y.; Al-Mqdashi, A. Millimeter Wave Propagation Measurements and Characteristics for 5G System. Appl. Sci. 2020, 10, 335. [Google Scholar] [CrossRef]
- Uwaechia, A.N.; Mahyuddin, N.M. A Comprehensive Survey on Millimeter Wave Communications for Fifth-Generation Wireless Networks: Feasibility and Challenges. IEEE Access 2020, 8, 62367–62414. [Google Scholar] [CrossRef]
- Jacob, M.; Priebe, S.; Dickhoff, R.; Kleine-Ostmann, T.; Schrader, T.; Kurner, T. Diffraction in mm and Sub-mm Wave Indoor Propagation Channels. IEEE Trans. Microw. Theory Tech. 2012, 60, 833–844. [Google Scholar] [CrossRef]
- Kyosti, P.; Carton, I.; Karstensen, A.; Fan, W.; Pedersen, G.F. Frequency dependency of channel parameters in urban LOS scenario for mmwave communications. In Proceedings of the 2016 10th European Conference on Antennas and Propagation (EuCAP), Davos, Switzerland, 10–15 April 2016; pp. 1–5. [Google Scholar] [CrossRef]
- Yamada, W.; Sasaki, M.; Kita, N. Extended Walfisch-Bertoni propagation model to cover short range and millime-ter-wave bands. Radio Sci. 2021, 56, 1–8. [Google Scholar] [CrossRef]
- Kouyoumjian, R.; Pathak, P. A uniform geometrical theory of diffraction for an edge in a perfectly conducting surface. Proc. IEEE 1974, 62, 1448–1461. [Google Scholar] [CrossRef]
















Disclaimer/Publisher’s Note: The statements, opinions and data contained in all publications are solely those of the individual author(s) and contributor(s) and not of MDPI and/or the editor(s). MDPI and/or the editor(s) disclaim responsibility for any injury to people or property resulting from any ideas, methods, instructions or products referred to in the content. |
© 2023 by the authors. Licensee MDPI, Basel, Switzerland. This article is an open access article distributed under the terms and conditions of the Creative Commons Attribution (CC BY) license (https://creativecommons.org/licenses/by/4.0/).
Share and Cite
López-Segovia, A.; Rodríguez-Rodríguez, I.; Rodríguez, J.-V.; Juan-Llácer, L.; Campo-Valera, M.; Woo, W.L. Exploring the Validity of Plane and Spherical Millimeter-Wave Incidences for Multiple-Diffraction Calculations in Wireless Communication Systems. Electronics 2023, 12, 2020. https://doi.org/10.3390/electronics12092020
López-Segovia A, Rodríguez-Rodríguez I, Rodríguez J-V, Juan-Llácer L, Campo-Valera M, Woo WL. Exploring the Validity of Plane and Spherical Millimeter-Wave Incidences for Multiple-Diffraction Calculations in Wireless Communication Systems. Electronics. 2023; 12(9):2020. https://doi.org/10.3390/electronics12092020
Chicago/Turabian StyleLópez-Segovia, Alba, Ignacio Rodríguez-Rodríguez, José-Víctor Rodríguez, Leandro Juan-Llácer, María Campo-Valera, and Wai Lok Woo. 2023. "Exploring the Validity of Plane and Spherical Millimeter-Wave Incidences for Multiple-Diffraction Calculations in Wireless Communication Systems" Electronics 12, no. 9: 2020. https://doi.org/10.3390/electronics12092020
APA StyleLópez-Segovia, A., Rodríguez-Rodríguez, I., Rodríguez, J.-V., Juan-Llácer, L., Campo-Valera, M., & Woo, W. L. (2023). Exploring the Validity of Plane and Spherical Millimeter-Wave Incidences for Multiple-Diffraction Calculations in Wireless Communication Systems. Electronics, 12(9), 2020. https://doi.org/10.3390/electronics12092020

