A Novel Fuzzy-Logic-Based Control Strategy for Power Smoothing in High-Wind Penetrated Power Systems and Its Validation in a Microgrid Lab
Abstract
1. Introduction
- A novel power smoothing technique based on an adaptive first-order transfer function, whose time constant is adjusted in real time and adapted to the smoothing needs. This adjustment is governed by a fuzzy logic controller (FLC).
- The FLC designed to generate variable time constants modifies the time constant in real time, improving power smoothing using real ramp rate of the active power to be smoothed and the state of charge (SOC) of the energy storage agent used. Its use combined with the adaptive transfer function improves existing methods.
- The rules introduced in the FLC aim to refine the power smoothing while respecting the lower and upper limits of the SOC of the energy storage agent.
- Preliminarily, the proposed method is evaluated in a computer simulation environment (MATLAB/Simulink®).
- To validate the simulation results of the novel proposed power smoothing method, comprehensive laboratory tests were carried out.
2. Power System Modeling
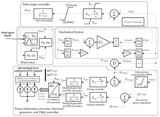
2.1. Modeling of Variable-Speed Wind Turbine
2.2. Wind Turbine Connected to the Grid
3. Proposed Control Strategy
3.1. Varying Transfer Function
3.2. Fuzzy Logic Controller (Structure and Design)
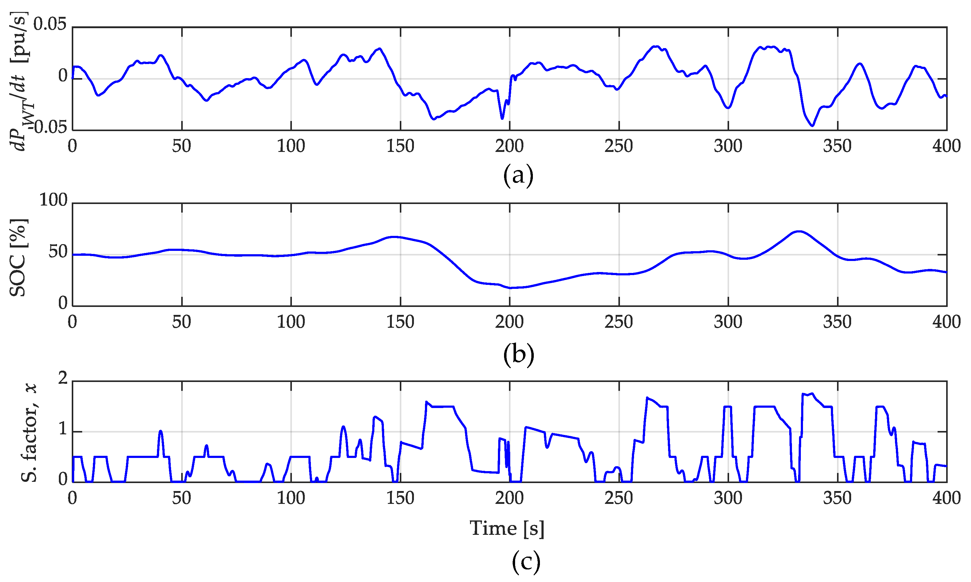
- Input 1: The time derivative of the active power of VSWT indicates the power ramp rate and generates the reference signal for SC–ESS related to the adaptive first-order transfer function.
- Input 2: The SOC reflects whether the SC is charging (discharging) or not.
- Output: Smoothing factor (x) is adjusted according to the smoothing requirements defined by and the available energy in the SC.
4. Simulation, Experimentation and Results
4.1. Computer Simulation Results
4.2. Experimental Results
5. Conclusions
Author Contributions
Funding
Data Availability Statement
Acknowledgments
Conflicts of Interest
Appendix A
Appendix A.1. Extended VSWT-Model Parameters
| Parameter | Symbol | Value and Units |
|---|---|---|
| Base power | 1.5 MW | |
| Max./Min. power of the generator | 1, 0.04 pu | |
| Max./Min. torque of the generator | 0.826, 0.057 pu | |
| Wind speed at | 12 m/s | |
| Number of pole pairs | 2 | |
| Gearbox ratio | n | 1 (No gearbox in full converter VSWT) |
| Nominal frequency | 60 Hz | |
| Base speed of the turbine | 1.644 rad/s | |
| Base speed of the generator | 1.644 rad/s | |
| Air density | 1.225 kg/m3 | |
| Radius of the rotor | 38.5 m | |
| Power constant | ||
| Speed constant | 63.29 m/s | |
| Min./Max. blade pitch angle | 0°, 45° | |
| Maximum blade pitch-angle rate | 2°/s | |
| Turbine-generator inertia constant | 5.29 s | |
| Blade pitch servo time constant | 0 s | |
| Pitch controller gains | 500, 0 | |
| Speed controller gains | 0.3, 8 | |
| PEC active power PI controller | 5, 50 | |
| PEC active power PI controller | −5, −50 | |
| PEC time constant | 20 ms |
Appendix A.2. MPPT-Curve Parameters
Appendix A.3. Utility Grid Parameters (Simulation and Laboratory)
Appendix B
| Parameter | Symbol | Value and Units |
|---|---|---|
| Fixed time constant | 2.0 s | |
| Initial output power | 0 pu | |
| Time derivative filtering block time constants | 0.1, 10 s | |
| Time derivative filtering block design gain | 5 | |
| Upper and lower limit for the numerical calculation | ±0.05 pu/s |
Appendix C
Appendix C.1. Description of Lithium-Ion BESS-50 kW Used in Laboratory for VSWT Emulation

Appendix C.2. Description of SC–ESS-30 kW Used in Laboratory for Power Smoothing

References
- Imdadullah; Alamri, B.; Hossain, M.A.; Jamil Asghar, M.S. Electric Power Network Interconnection: A Review on Current Status, Future Prospects and Research Direction. Electronics 2021, 10, 2179. [Google Scholar] [CrossRef]
- Dai, J.; Wan, L.; Chang, P.; Liu, L.; Zhou, X. Reactive Voltage Control Strategy for PMSG-Based Wind Farm Considering Reactive Power Adequacy and Terminal Voltage Balance. Electronics 2022, 11, 1766. [Google Scholar] [CrossRef]
- Ochoa, D.; Martinez, S. Analytical Approach to Understanding the Effects of Implementing Fast-Frequency Response by Wind Turbines on the Short-Term Operation of Power Systems. Energies 2021, 14, 3660. [Google Scholar] [CrossRef]
- Atif, A.; Khalid, M. Fuzzy logic controller for solar power smoothing based on controlled battery energy storage and varying low pass filter. IET Renew. Power Gener. 2020, 14, 3824–3833. [Google Scholar] [CrossRef]
- Lamsal, D.; Sreeram, V.; Mishra, Y.; Kumar, D. Output power smoothing control approaches for wind and photovoltaic generation systems: A review. Renew. Sustain. Energy Rev. 2019, 113, 109245. [Google Scholar] [CrossRef]
- Zhou, Y.; Yan, Z.; Li, N. A Novel State of Charge Feedback Strategy in Wind Power Smoothing Based on Short-Term Forecast and Scenario Analysis. IEEE Trans. Sustain. Energy 2017, 8, 870–879. [Google Scholar] [CrossRef]
- de Carvalho, W.C.; Bataglioli, R.P.; Fernandes, R.A.S.; Coury, D.V. Fuzzy-based approach for power smoothing of a full-converter wind turbine generator using a supercapacitor energy storage. Electr. Power Syst. Res. 2020, 184, 106287. [Google Scholar] [CrossRef]
- Eydi, M.; Alishahi, M.; Zarif, M. A novel output power determination and power distribution of hybrid energy storage system for wind turbine power smoothing. IET Electr. Power Appl. 2022, 16, 1559–1575. [Google Scholar] [CrossRef]
- Zhu, Y.; Guo, Y.; Wang, Z.; Wei, Z. Kinetic energy based output power smoothing control and parameters design for PMSG-WECSs. Int. J. Electr. Power Energy Syst. 2021, 131, 107077. [Google Scholar] [CrossRef]
- Lyu, X.; Jia, Y.; Xu, Z. A novel control strategy for wind farm active power regulation considering wake interaction. IEEE Trans. Sustain. Energy 2020, 11, 618–628. [Google Scholar] [CrossRef]
- Čonka, Z.; Beňa, Ľ.; Štefko, R.; Pavlík, M.; Holcsik, P.; Pálfi, J. Wind Turbine Power Control According to EU Legislation. Energies 2022, 15, 8614. [Google Scholar] [CrossRef]
- Fan, Y.J.; Xu, H.T.; He, Z.Y. Smoothing the output power of a wind energy conversion system using a hybrid nonlinear pitch angle controller. Energy Explor. Exploit. 2022, 40, 539–553. [Google Scholar] [CrossRef]
- Naik, K.A.; Gupta, C.P.; Fernandez, E. Wind power smoothing in partial load region with advanced fuzzy-logic based pitch-angle controller. Wind Eng. 2022, 46, 52–68. [Google Scholar] [CrossRef]
- Liu, B.; Zhao, J.; Huang, Q.; Milano, F.; Zhang, Y.; Hu, W. Nonlinear Virtual Inertia Control of WTGs for Enhancing Primary Frequency Response and Suppressing Drivetrain Torsional Oscillations. IEEE Trans. Power Syst. 2021, 36, 4102–4113. [Google Scholar] [CrossRef]
- Tahir, K.; Allaoui, T.; Denai, M.; Mekhilef, S.; Belfedal, C.; Doumi, M. Second-order sliding mode control of wind turbines to enhance the fault-ride through capability under unbalanced grid faults. Int. J. Circuit Theory Appl. 2021, 49, 1959–1986. [Google Scholar] [CrossRef]
- Zhu, Y.; Ma, Z.; Wang, Z. An improved fuzzy logic based DC-link voltage control strategy for smoothing output power of the PMSG-WECS. Energy Rep. 2022, 8, 8413–8425. [Google Scholar] [CrossRef]
- Meng, J.; Wang, D.; Wang, Y.; Guo, F.; Yu, J. An improved damping adaptive grid-forming control for black start of permanent magnet synchronous generator wind turbines supported with battery energy storage system. IET Gener. Transm. Distrib. 2023, 17, 354–366. [Google Scholar] [CrossRef]
- Cano, A.; Arévalo, P.; Jurado, F. Evaluation of temporal resolution impact on power fluctuations and self-consumption for a hydrokinetic on grid system using supercapacitors. Renew. Energy 2022, 193, 843–856. [Google Scholar] [CrossRef]
- Benavides, D.; Arévalo, P.; Tostado-Véliz, M.; Vera, D.; Escamez, A.; Aguado, J.A.; Jurado, F. An Experimental Study of Power Smoothing Methods to Reduce Renewable Sources Fluctuations Using Supercapacitors and Lithium-Ion Batteries. Batteries 2022, 8, 228. [Google Scholar] [CrossRef]
- Nasef, S.A.; Hassan, A.A.; ElMadany, H.T.; Zahran, M.B.; El-Shaer, M.K.; Abdelaziz, A.Y. Optimal Power Management and Control of Hybrid Photovoltaic-Battery for Grid-Connected Doubly-Fed Induction Generator Based Wind Energy Conversion System. Int. J. Renew. Energy Res. 2022, 12, 408–421. [Google Scholar]
- Sumsurooah, S.; He, Y.; Torchio, M.; Kouramas, K.; Guida, B.; Cuomo, F.; Atkin, J.; Bozhko, S.; Renzetti, A.; Russo, A.; et al. ENIGMA—A Centralised Supervisory Controller for Enhanced Onboard Electrical Energy Management with Model in the Loop Demonstration. Energies 2021, 14, 5518. [Google Scholar] [CrossRef]
- Cavallo, A.; Russo, A.; Canciello, G. Control of supercapacitors for smooth EMA operations in aeronautical applications. Proc. Am. Control Conf. 2019, 2019, 4948–4954. [Google Scholar] [CrossRef]
- Jiang, Q.; Wang, H. Two-time-scale coordination control for a battery energy storage system to mitigate wind power fluctuations. IEEE Trans. Energy Convers. 2013, 28, 52–61. [Google Scholar] [CrossRef]
- Ochoa, D.; Martinez, S. Proposals for Enhancing Frequency Control in Weak and Isolated Power Systems: Application to the Wind-Diesel Power System of San Cristobal Island-Ecuador. Energies 2018, 11, 910. [Google Scholar] [CrossRef]
- Lin, X.; Lei, Y. Coordinated Control Strategies for SMES-Battery Hybrid Energy Storage Systems. IEEE Access 2017, 5, 23452–23465. [Google Scholar] [CrossRef]
- Lamsal, D.; Sreeram, V.; Mishra, Y.; Kumar, D. Smoothing control strategy of wind and photovoltaic output power fluctuation by considering the state of health of battery energy storage system. IET Renew. Power Gener. 2019, 13, 578–586. [Google Scholar] [CrossRef]
- Zhang, K.; Mao, C.; Lu, J.; Wang, D.; Chen, X.; Zhang, J. Optimal control of state-of-charge of superconducting magnetic energy storage for wind power system. IET Renew. Power Gener. 2014, 8, 58–66. [Google Scholar] [CrossRef]
- Li, X. Fuzzy adaptive Kalman filter for wind power output smoothing with battery energy storage system. IET Renew. Power Gener. 2012, 6, 340–347. [Google Scholar] [CrossRef]
- Ochoa, D.; Martinez, S.; Arévalo, P. Extended Simplified Electro-Mechanical Model of a Variable-Speed Wind Turbine for Grid Integration Studies: Emulation and Validation on a Microgrid Lab. Electronics 2022, 11, 3945. [Google Scholar] [CrossRef]
- Ochoa, D.; Martinez, S. Fast-Frequency Response Provided by DFIG-Wind Turbines and its Impact on the Grid. IEEE Trans. Power Syst. 2017, 32, 4002–4011. [Google Scholar] [CrossRef]
- Ochoa, D. Simplified Model of a Grid-Connection Interface Based on Power Electronic Converter for Grid Studies in Dynamic Regime. Ingenius 2021, 87–98. [Google Scholar] [CrossRef]
- Ullah, N.R.; Thiringer, T.; Karlsson, D. Temporary primary frequency control support by variable speed wind turbines—Potential and applications. IEEE Trans. Power Syst. 2008, 23, 601–612. [Google Scholar] [CrossRef]
- Schmidlin Junior, C.R.; Araujo Lima, F.K. Wind Turbine and PMSG Dynamic Modelling in PSIM. IEEE Lat. Am. Trans. 2016, 14, 4115–4120. [Google Scholar] [CrossRef]
- Reyes, V.; Rodriguez, J.J.; Carranza, O.; Ortega, R. Review of mathematical models of both the power coefficient and the torque coefficient in wind turbines. IEEE Int. Symp. Ind. Electron. 2015, 2015, 1458–1463. [Google Scholar] [CrossRef]
- Ochoa, D.; Martinez, S. Frequency dependent strategy for mitigating wind power fluctuations of a doubly-fed induction generator wind turbine based on virtual inertia control and blade pitch angle regulation. Renew. Energy 2018, 128, 108–124. [Google Scholar] [CrossRef]
- Espinoza, J.L.; Gonzalez, L.G.; Sempertegui, R. Micro grid laboratory as a tool for research on non-conventional energy sources in Ecuador. In Proceedings of the 2017 IEEE International Autumn Meeting on Power, Electronics and Computing, ROPEC 2017, Ixtapa, Mexico, 8–10 November 2018; pp. 1–7. [Google Scholar]




















| dPWT/dt | |||||
|---|---|---|---|---|---|
| SOC | XNEG | NEG | ZERO | POS | XPOS |
| LOW | LS | NS | NS | MS | HS |
| MED | MS | LS | NS | LS | MS |
| HIGH | HS | MS | NS | NS | LS |
Disclaimer/Publisher’s Note: The statements, opinions and data contained in all publications are solely those of the individual author(s) and contributor(s) and not of MDPI and/or the editor(s). MDPI and/or the editor(s) disclaim responsibility for any injury to people or property resulting from any ideas, methods, instructions or products referred to in the content. |
© 2023 by the authors. Licensee MDPI, Basel, Switzerland. This article is an open access article distributed under the terms and conditions of the Creative Commons Attribution (CC BY) license (https://creativecommons.org/licenses/by/4.0/).
Share and Cite
Ochoa, D.; Martinez, S.; Arévalo, P. A Novel Fuzzy-Logic-Based Control Strategy for Power Smoothing in High-Wind Penetrated Power Systems and Its Validation in a Microgrid Lab. Electronics 2023, 12, 1721. https://doi.org/10.3390/electronics12071721
Ochoa D, Martinez S, Arévalo P. A Novel Fuzzy-Logic-Based Control Strategy for Power Smoothing in High-Wind Penetrated Power Systems and Its Validation in a Microgrid Lab. Electronics. 2023; 12(7):1721. https://doi.org/10.3390/electronics12071721
Chicago/Turabian StyleOchoa, Danny, Sergio Martinez, and Paul Arévalo. 2023. "A Novel Fuzzy-Logic-Based Control Strategy for Power Smoothing in High-Wind Penetrated Power Systems and Its Validation in a Microgrid Lab" Electronics 12, no. 7: 1721. https://doi.org/10.3390/electronics12071721
APA StyleOchoa, D., Martinez, S., & Arévalo, P. (2023). A Novel Fuzzy-Logic-Based Control Strategy for Power Smoothing in High-Wind Penetrated Power Systems and Its Validation in a Microgrid Lab. Electronics, 12(7), 1721. https://doi.org/10.3390/electronics12071721

