Rice Disease Identification Method Based on Attention Mechanism and Deep Dense Network
Abstract
1. Introduction
2. Materials and Methods
2.1. Experimental Method
2.1.1. DenseNet
2.1.2. SE Module
2.1.3. AB-SE-DenseNet
2.2. Experimental Materials and Evaluation Indicators
2.2.1. Experimental Materials and Experimental Environment
2.2.2. Evaluation Criteria
3. Results and Discussion
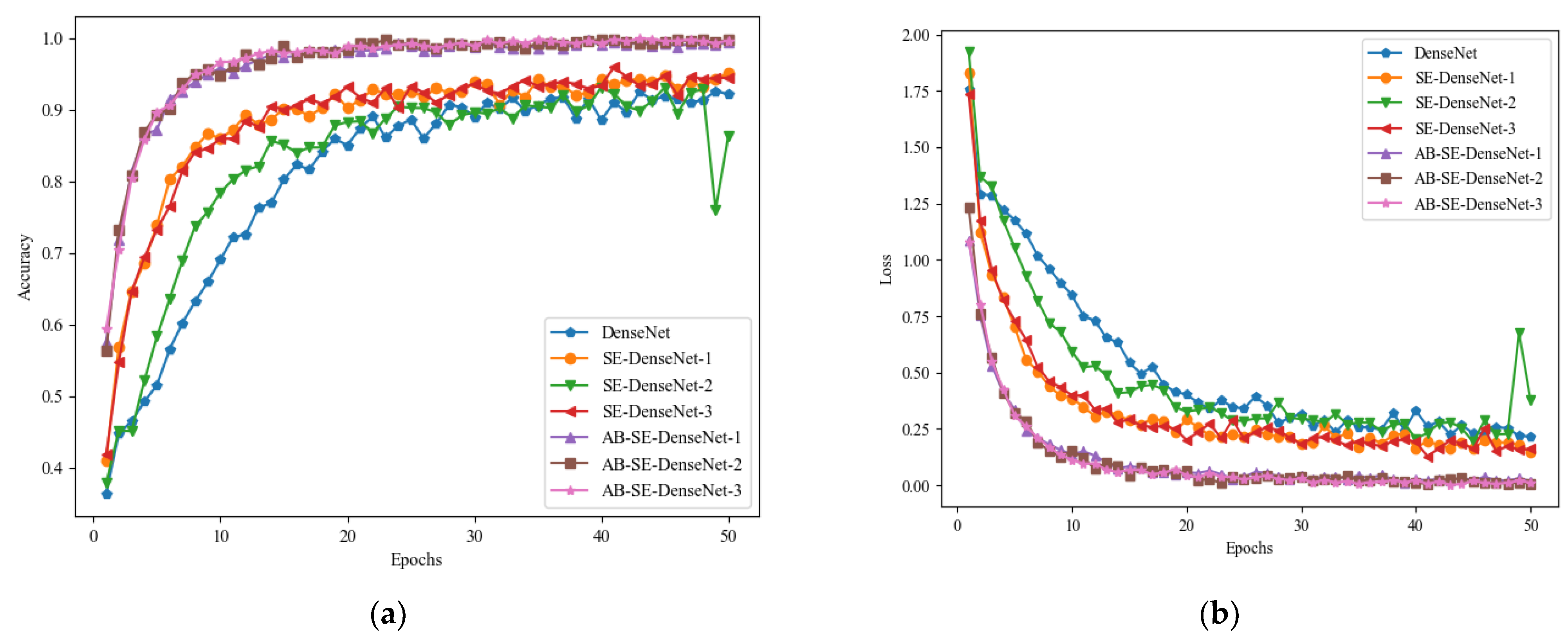
3.1. Ablation Experiment
3.2. Comparison of Different Models
3.3. Feature Visualization
4. Conclusions
Author Contributions
Funding
Institutional Review Board Statement
Informed Consent Statement
Data Availability Statement
Conflicts of Interest
References
- Zhou, Q.L. Research on the control of rice planting diseases and insect pests. Rural. Pract. Technol. 2021, 2021, 98–99. [Google Scholar]
- Xu, C.C.; Ji, L. Analysis of my country’s rice industry situation in 2020 and outlook for 2021. China Rice 2021, 27, 1–4. [Google Scholar]
- Zahid, I.; Attique, K.M.; Muhammad, S.; Hussain, S.J. An automated detection and classification of citrus plant diseases using image processing techniques: A review. Comput. Electron. Agric. 2018, 153, 12–32. [Google Scholar]
- Lecun, Y.; Bengio, Y.; Hinton, G. Deep learning. Nature 2015, 521, 436–444. [Google Scholar] [CrossRef] [PubMed]
- Khan, Z.; Yang, J. Bottom-up unsupervised image segmentation using FC-Dense u-net based deep representation clustering and multidimensional feature fusion based region merging. Image Vis. Comput. 2020, 94, 103871. [Google Scholar] [CrossRef]
- Chen, L.C.; Papandreou, G.; Kokkinos, I.; Murphy, K.; Yuille, A.L. DeepLab: Semantic Image Segmentation with Deep Convolutional Nets, Atrous Convolution, and Fully Connected CRFs. IEEE Trans. Pattern Anal. Mach. Intell. 2018, 40, 834–848. [Google Scholar] [CrossRef] [PubMed]
- Badrinarayanan, V.; Kendall, A.; Cipolla, R. SegNet: A Deep Convolutional Encoder-Decoder Architecture for Image Segmentation. IEEE Trans. Pattern Anal. Mach. Intell. 2017, 39, 2481–2495. [Google Scholar] [CrossRef] [PubMed]
- Farhat, H.; Sakr, G.E.; Kilany, R. Deep learning applications in pulmonary medical imaging: Recent updates and insights on COVID-19. Mach. Vis. Appl. 2020, 31, 42–53. [Google Scholar] [CrossRef]
- Chen, H.; Qi, X.; Yu, L.; Dou, Q.; Qin, J.; Heng, P.A. DCAN: Deep contour-aware networks for object instance segmentation from histology images. Med. Image Anal. 2017, 36, 135–146. [Google Scholar] [CrossRef]
- Cruz-Roa, A.A.; Arevalo Ovalle, J.E.; Madabhushi, A.; González Osorio, F.A. A Deep Learning Architecture for Image Representation, Visual Interpretability and Automated Basal-Cell Carcinoma Cancer Detection. In Proceedings of the 16th International Conference on Medical Image Computing and Computer Assisted Intervention (MICCAI), Nagoya, Japan, 22–26 September 2013; pp. 403–410. [Google Scholar]
- Li, Y.F.; Zeng, N.Y. Improving Deep Learning Feature with Facial Texture Feature for Face Recognition. Wirel. Pers. Commun. 2018, 103, 1195–1206. [Google Scholar] [CrossRef]
- Sharma, S.; Kumar, V. Voxel-based 3D face reconstruction and its application to face recognition using sequential deep learning. Multimed. Tools Appl. 2020, 79, 17303–17330. [Google Scholar] [CrossRef]
- Ranjan, R.; Sankaranarayanan, S.; Bansal, A.; Bodla, N.; Chen, J.C.; Patel, V.M.; Castillo, C.D.; Chellappa, R. Deep Learning for Understanding Faces Machines may be just as good, or better, than humans. IEEE Signal Process. Mag. 2018, 35, 66–83. [Google Scholar] [CrossRef]
- Adjabi, I.; Ouahabi, A.; Benzaoui, A.; Taleb-Ahmed, A. Past, Present, and Future of Face Recognition: A Review. Electronics 2020, 9, 1188. [Google Scholar] [CrossRef]
- Kocic, J.; Jovicic, N.; Drndarevic, V. An End-to-End Deep Neural Network for Autonomous Driving Designed for Embedded Automotive Platforms. Sensors 2019, 19, 2064. [Google Scholar] [CrossRef] [PubMed]
- Grigorescu, S.; Trasnea, B.; Cocias, T.; Macesanu, G. A survey of deep learning techniques for autonomous driving. J. Field Robot. 2020, 37, 362–386. [Google Scholar] [CrossRef]
- Ma, J.; Du, K.; Zheng, F.; Zhang, L.; Gong, Z.; Sun, Z. A recognition method for cucumber diseases using leaf symptom images based on deep convolutional neural network. Comput. Electron. Agric. 2018, 154, 18–24. [Google Scholar] [CrossRef]
- Almasoud, A.S.; Abdelmaboud, A.; Eisa, T.A.E.; Al Duhayyim, M.; Elnour, A.A.H.; Hamza, M.A.; Motwakel, A.; Zamani, A.S. Artificial Intelligence-Based Fusion Model for Paddy Leaf Disease Detection and Classification. Cmc Comput. Mater. Contin. 2022, 72, 1391–1407. [Google Scholar] [CrossRef]
- Chen, Y.; Guo, S.Z. Research on rice disease recognition algorithm based on optimized BP neural network. Appl. Electron. Technol. 2020, 46, 85–87+93. [Google Scholar]
- Chen, J.; Zhang, D.; Zeb, A.; Nanehkaran, Y.A. Identification of rice plant diseases using lightweight attention networks. Expert Syst. Appl. 2021, 169, 114514. [Google Scholar] [CrossRef]
- Qiu, J.; Liu, J.; Cao, Z.; Li, J.; Yang, Y. Research on rice disease image recognition based on convolutional neural network. J. Yunnan Agric. Univ. 2019, 34, 884–888. [Google Scholar]
- Krishnamoorthy, N.; Prasad, L.N.; Kumar, C.P.; Subedi, B.; Abraha, H.B.; Sathishkumar, V.E. Rice leaf diseases prediction using deep neural networks with transfer learning. Environ. Res. 2021, 198, 111275. [Google Scholar]
- Rahman, C.R.; Arko, P.S.; Ali, M.E.; Khan, M.A.I.; Apon, S.H.; Nowrin, F.; Wasif, A. Identification and recognition of rice diseases and pests using convolutional neural networks. Biosyst. Eng. 2020, 194, 112–120. [Google Scholar] [CrossRef]
- Wang, C.S.; Zhou, J.; Wu, H.R.; Teng, G.F.; Zaho, C.J.; Li, J.X. Improved Multi-scale ResNet for vegetable leaf disease identification. Trans. Chin. Soc. Agric. Eng. 2020, 36, 209–217. [Google Scholar]
- Wu, H.R. Tomato leaf disease identification method based on deep residual network. Smart Agric. 2019, 1, 42–49. [Google Scholar]
- Waheed, A.; Goyal, M.; Gupta, D.; Khanna, A.; Hassanien, A.E.; Pandey, H.M. An optimized dense convolutional neural network model for disease recognition and classification in corn leaf. Comput. Electron. Agric. 2020, 175, 105456. [Google Scholar] [CrossRef]
- Zhou, C.; Zhou, S.; Xing, J.; Song, J. Tomato Leaf Disease Identification by Restructured Deep Residual Dense Network. IEEE Access 2021, 9, 28822–28831. [Google Scholar] [CrossRef]
- Cheng, X.; Zhang, Y.; Chen, Y.; Wu, Y.; Yue, Y. Pest identification via deep residual learning in complex background. Comput. Electron. Agric. 2017, 141, 351–356. [Google Scholar] [CrossRef]
- Huang, G.; Liu, Z.; Laurens, V. Densely Connected Convolutional Networks. In Proceedings of the 2017 IEEE Conference on Computer Vision and Pattern Recognition (CVPR), Honolulu, HI, USA, 21–26 July 2017; pp. 2261–2269. [Google Scholar]
- He, K.; Zhang, X.; Ren, S.; Sun, J. Deep Residual Learning for Image Recognition. In Proceedings of the 2016 IEEE Conference on Computer Vision and Pattern Recognition (CVPR), Las Vegas, NV, USA, 27–30 June 2016; pp. 770–778. [Google Scholar]
- Tian, Y.; Yang, G.; Wang, Z.; Li, E.; Liang, Z. Detection of Apple Lesions in Orchards Based on Deep Learning Methods of CycleGAN and YOLOV3-Dense. J. Sens. 2019, 2019, 7630926. [Google Scholar] [CrossRef]
- Luo, L.C.; Xiong, Y.H.; Liu, Y.; Sun, X. Adaptive Gradient Methods with Dynamic Bound of Learning Rate. arXiv 2019, arXiv:1902.09843. [Google Scholar]
- Wang, J.H. PCB Bare Board Defect Detection Based on Improved ORB Image Registration and Deep Learning; Wuhan University of Technology: Hubei, China, 2020. [Google Scholar]
- Hu, J.; Shen, L.; Sun, G. Squeeze-and-Excitation Networks. IEEE Trans. Pattern Anal. Mach. Intell. 2020, 42, 2011–2023. [Google Scholar] [CrossRef]
- Taner, A.; Öztekin, Y.B.; Duran, H. Performance Analysis of Deep Learning CNN Models for Variety Classification in Hazelnut. Sustainability 2021, 13, 6527–6537. [Google Scholar] [CrossRef]
- Liu, F.W.; Yu, L.; Luo, J.X. A hybrid attention-enhanced DenseNet neural network model based on improved U-Net for rice leaf disease identification. Front. Plant Sci. 2022, 13, 922809. [Google Scholar] [CrossRef] [PubMed]
- Yang, B.; Zhang, L.N. Intelligent collection of rice disease images based on convolutional neural network and feature matching. J. Electron. Imaging 2022, 31, 051410. [Google Scholar] [CrossRef]
- Wang, Y.B.; Wang, H.F.; Peng, Z.H. Rice diseases detection and classification using attention based neural network and bayesian optimization. Expert Syst. Appl. 2021, 178, 114770. [Google Scholar] [CrossRef]













| Network | Parameter |
|---|---|
| Input Layer | 224 × 224 × 3 |
| Convolution Layer | 3 × 3 DwsConv |
| Dense Block 1 | {3 × 3 DwsConv} × n |
| Transition Layer 1 | 1 × 1 Conv 2 × 2 average pool, stride2 |
| SE Layer | Squeeze, Excitation |
| Dense Block 2 | {3 × 3 DwsConv} × n |
| Transition Layer 2 | 1 × 1 Conv 2 × 2 average pool, stride2 |
| SE Layer | Squeeze, Excitation |
| Dense Block 3 | {3 × 3 DwsConv} × n |
| Classification Layer | 7 × 7 global average pool Full layer |
| Operating system | 64 Bit Windows 10 |
| Graphics card | GTX1050Ti (4 GB) |
| CPU | Intel i7-6700 |
| Learning framework | Pytorch |
| RAM | 16 GB |
| Hard disk | 1 TB |
| Models | Accuracy | Precision | Recall | F1 Score |
|---|---|---|---|---|
| DenseNet | 85.6% | 87.36% | 85.12% | 0.8623 |
| SE-DenseNet-1 | 92.14% | 93.36% | 92.42% | 0.9289 |
| SE-DenseNet-2 | 94.04% | 94.2% | 95.78% | 0.9498 |
| SE-DenseNet-3 | 95.59% | 96% | 95.52% | 0.9576 |
| AB-SE-DenseNet-1 | 94.4% | 94.82% | 94.46% | 0.9465 |
| AB-SE-DenseNet-2 | 98.57% | 98.68% | 98.52% | 0.9860 |
| AB-SE-DenseNet-3 | 99.4% | 99.4% | 99.44% | 0.9942 |
| AB-SE-DenseNet-3 | DenseNet | ResNet | VGG | Vision Transformer | ||
|---|---|---|---|---|---|---|
| Total Images | Correct Identification | Correct Identification | Correct Identification | Correct Identification | Correct Identification | |
| Blast | 163 | 162 | 154 | 148 | 135 | 160 |
| Blight | 183 | 181 | 169 | 175 | 164 | 180 |
| Brownspot | 182 | 180 | 74 | 172 | 136 | 174 |
| Sheath_blight | 149 | 149 | 148 | 116 | 130 | 143 |
| Tungro | 163 | 163 | 157 | 110 | 11 | 160 |
| AB-SE-DenseNet-3 | DenseNet | ResNet | VGG | Vision Transformer | |
|---|---|---|---|---|---|
| Blast | 97.6% | 66.1% | 70.2% | 46.1% | 98.8% |
| Blight | 100% | 86.7% | 80.2% | 85.4% | 94.2% |
| Brownspot | 99.4% | 95.5% | 99.2% | 74.7% | 96.7% |
| Sheath_blight | 100% | 90.3% | 95.2% | 82.8% | 99.3% |
| Tungro | 100% | 98.2% | 80.7% | 68.8% | 98.2% |
| Model | AB-SE-DenseNet | DenseNet | ResNet | VGG | Vision Transformer |
|---|---|---|---|---|---|
| Recognition time | 3.71 s | 3.40 s | 5.05 s | 11.73 s | 7.55 s |
| Model | Accuracy | Recognition Time |
|---|---|---|
| DenseNet + ECA | 99.2% | 8.67 s |
| DenseNet + CBAM | 99.8% | 29 s |
| Ours | 99.4% | 3.71 s |
Disclaimer/Publisher’s Note: The statements, opinions and data contained in all publications are solely those of the individual author(s) and contributor(s) and not of MDPI and/or the editor(s). MDPI and/or the editor(s) disclaim responsibility for any injury to people or property resulting from any ideas, methods, instructions or products referred to in the content. |
© 2023 by the authors. Licensee MDPI, Basel, Switzerland. This article is an open access article distributed under the terms and conditions of the Creative Commons Attribution (CC BY) license (https://creativecommons.org/licenses/by/4.0/).
Share and Cite
Jiang, M.; Feng, C.; Fang, X.; Huang, Q.; Zhang, C.; Shi, X. Rice Disease Identification Method Based on Attention Mechanism and Deep Dense Network. Electronics 2023, 12, 508. https://doi.org/10.3390/electronics12030508
Jiang M, Feng C, Fang X, Huang Q, Zhang C, Shi X. Rice Disease Identification Method Based on Attention Mechanism and Deep Dense Network. Electronics. 2023; 12(3):508. https://doi.org/10.3390/electronics12030508
Chicago/Turabian StyleJiang, Minlan, Changguang Feng, Xiaosheng Fang, Qi Huang, Changjiang Zhang, and Xiaowei Shi. 2023. "Rice Disease Identification Method Based on Attention Mechanism and Deep Dense Network" Electronics 12, no. 3: 508. https://doi.org/10.3390/electronics12030508
APA StyleJiang, M., Feng, C., Fang, X., Huang, Q., Zhang, C., & Shi, X. (2023). Rice Disease Identification Method Based on Attention Mechanism and Deep Dense Network. Electronics, 12(3), 508. https://doi.org/10.3390/electronics12030508
