Modeling of Cross-Coupled AC–DC Charge Pump Operating in Subthreshold Region
Abstract
:1. Introduction
2. Modeling of Cross-Coupled CMOS AC–DC Charge Pump (XC–CP) Operating in Subthreshold Region
2.1. Previous Model of AC–DC CP [39,40]
2.2. Proposed Model of XC–CP
2.3. More Accurate Model with Finite Output Resistance
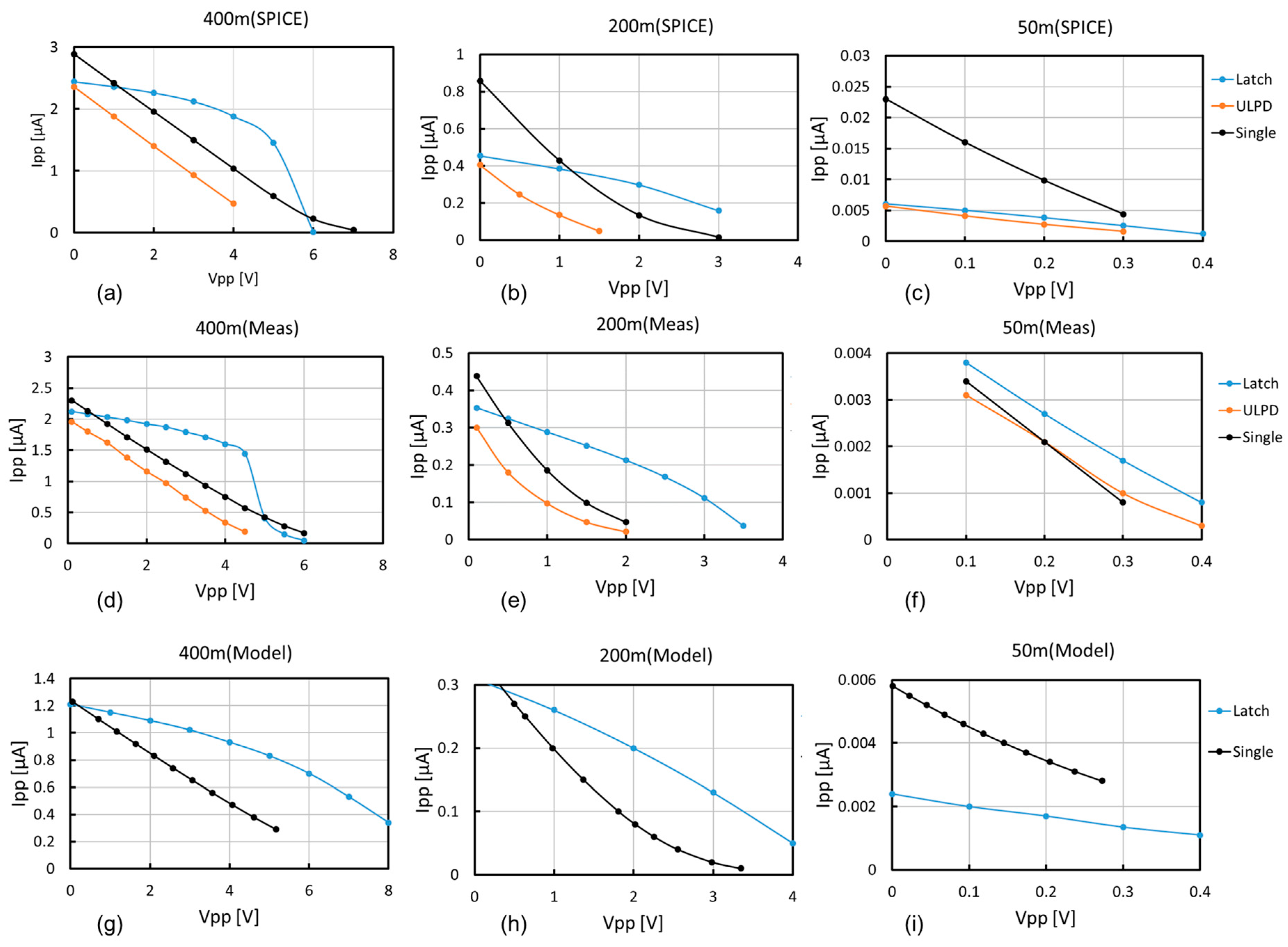
3. Validation of the Proposed Model
4. Conclusions
Author Contributions
Funding
Data Availability Statement
Conflicts of Interest
References
- Umeda, T.; Yoshida, H.; Sekine, S.; Fujita, Y.; Suzuki, T.; Otaka, S. A 950-MHz Rectifier Circuit for Sensor Network Tags With 10-m Distance. IEEE J. Solid-State Circuits 2006, 41, 35–41. [Google Scholar] [CrossRef]
- Shetty, D.; Steffan, C.; Bösch, W.; Grosinger, J. Sub-GHz RF Energy Harvester including a Small Loop Antenna. In Proceedings of the 2022 IEEE Asian Solid-State Circuits Conference (A-SSCC), Taipei, Taiwan, 6–9 November 2022; pp. 1–3. [Google Scholar] [CrossRef]
- Hashimoto, T.; Nekozuka, H.; Toeda, Y.; Otani, M.; Fukuoka, Y.; Tanzawa, T. A− 31.7 dBm Sensitivity 0.011 mm2 CMOS On-Chip Rectifier for Microwave Wireless Power Transfer. Electronics 2023, 12, 1400. [Google Scholar] [CrossRef]
- Brown, W.C. The history of power transmission by radio waves. IEEE Trans. Microw. Theory Tech. 1984, 32, 1230–1242. [Google Scholar] [CrossRef]
- Jabbar, H.; Song, Y.S.; Jeong, T.T. RF energy harvesting system and circuits for charging of mobile devices. IEEE Trans. Consum. Electron. 2010, 56, 247–253. [Google Scholar] [CrossRef]
- Valenta, C.R.; Durgin, G.D. Harvesting wireless power: Survey of energy-harvester conversion efficiency in far-field, wireless power transfer systems. IEEE Microw. Mag. 2014, 15, 108–120. [Google Scholar]
- Yamazaki, Y.; Tsuchiaki, M.; Tanzawa, T. A Design Window for Device Parameters of Rectifying Diodes in 2.4 GHz Micro-watt RF Energy Harvesting. In Proceedings of the 2019 IEEE Asia-Pacific Microwave Conference (APMC), Singapore, 10–13 December 2019; pp. 135–137. [Google Scholar] [CrossRef]
- McSpadden, J.O.; Mankins, J.C. Space solar power programs and microwave wireless power transmission technology. IEEE Microw. Mag. 2002, 3, 46–57. [Google Scholar] [CrossRef]
- Strassner, B.; Chang, K. Microwave power transmission: Historical milestones and system components. Proc. IEEE 2013, 101, 1379–1396. [Google Scholar] [CrossRef]
- Ladan, S.; Guntupalli, A.B.; Wu, K. A high-efficiency 24 GHz rectenna development towards millimeter-wave energy harvesting and wireless power transmission. IEEE Trans. Circuits Syst. I Regul. Pap. 2014, 61, 3358–3366. [Google Scholar] [CrossRef]
- Kamada, H.; Yang, B.; Shao, W.; Shinohara, N.; Mitani, T. Application of Partially Driven Array Antenna to 28 GHz Near-Field WPT. In Proceedings of the 2022 Asia-Pacific Microwave Conference (APMC), Yokohama, Japan, 29 November–2 December 2022; IEEE: Piscataway Township, NJ, USA, 2022; pp. 255–257. [Google Scholar]
- Lee, H.M.; Ghovanloo, M. Fully integrated power-efficient AC-to-DC converter design in inductively-powered biomedical applications. In Proceedings of the 2011 IEEE Custom Integrated Circuits Conference (CICC), San Jose, CA, USA, 19–21 September 2011; IEEE: Piscataway Township, NJ, USA, 2011; pp. 1–8. [Google Scholar]
- Hashemi, S.S.; Sawan, M.; Savaria, Y. A high-efficiency low-voltage CMOS rectifier for harvesting energy in implantable devices. IEEE Trans. Biomed. Circuits Syst. 2012, 6, 326–335. [Google Scholar] [CrossRef]
- Li, X.; Tsui, C.Y.; Ki, W.H. A 13.56 MHz wireless power transfer system with reconfigurable resonant regulating rectifier and wireless power control for implantable medical devices. IEEE J. Solid-State Circuits 2015, 50, 978–989. [Google Scholar] [CrossRef]
- Noh, K.; Amanor-Boadu, J.; Zhang, M.; Sánchez-Sinencio, E. A 13.56-MHz CMOS active rectifier with a voltage mode switched-offset comparator for implantable medical devices. IEEE Trans. Very Large Scale Integr. (VLSI) Syst. 2018, 26, 2050–2060. [Google Scholar] [CrossRef]
- Ballo, A.; Bottaro, M.; Grasso, A.D. A review of power management integrated circuits for ultrasound-based energy harvesting in implantable medical devices. Appl. Sci. 2021, 11, 2487. [Google Scholar] [CrossRef]
- Beeby, S.P.; Tudor, M.J.; White, N.M. Energy harvesting vibration sources for microsystems applications. Meas. Sci. Technol. 2006, 17, R175. [Google Scholar] [CrossRef]
- Rahimi, A.; Zorlu, O.; Külah, H.; Muhtaroglu, A. An interface circuit prototype for a vibration-based electromagnetic energy harvester. In Proceedings of the 2010 International Conference on Energy Aware Computing, Cairo, Egypt, 16–18 December 2010; Institute of Electrical and Electronics Engineers (IEEE): Piscataway, NJ, USA; pp. 1–4. [Google Scholar]
- Maurath, D.; Becker, P.F.; Spreemann, D.; Manoli, Y. Efficient Energy Harvesting with Electromagnetic Energy Transducers Using Active Low-Voltage Rectification and Maximum Power Point Tracking. IEEE J. Solid-State Circuits 2012, 47, 1369–1380. [Google Scholar] [CrossRef]
- Kawauchi, H.; Tanzawa, T. A fully integrated clocked AC-DC charge pump for mignetostrictive vibration energy harvesting. Electronics 2020, 9, 2194. [Google Scholar] [CrossRef]
- Dickson, J.F. On-chip high-voltage generation in MNOS integrated circuits using an improved voltage multiplier technique. IEEE J. Solid-State Circuits 1976, SSC-11, 374–378. [Google Scholar] [CrossRef]
- Oh, S.; Wentzloff, D.D. A− 32dBm sensitivity RF power harvester in 130nm CMOS. In Proceedings of the 2012 IEEE Radio Frequency Integrated Circuits Symposium, Montreal, QC, Canada, 17–19 June 2012; IEEE: Piscataway Township, NJ, USA, 2012. [Google Scholar]
- Shameli, A.; Safarian, A.; Rofougaran, A.; Rofougaran, M.; De Flaviis, F. Power harvester design for passive UHF RFID tag using a voltage boosting technique. IEEE Trans. Microw. Theory Tech. 2007, 55, 1089–1097. [Google Scholar] [CrossRef]
- Levacq, D.; Liber, C.; Dessard, V.; Flandre, D. Composite ULP diode fabrication, modelling and applications in multi-Vth FDSOI CMOS technology. Solid-State Electron. 2004, 48, 1017–1025. [Google Scholar] [CrossRef]
- Szarka, G.D.; Stark, B.H.; Burrow, S.G. Review of power conditioning for kinetic energy harvesting systems. IEEE Trans. Power Electron. 2011, 27, 803–815. [Google Scholar] [CrossRef]
- Schmickl, S.; Faseth, T.; Pretl, H. An RF-energy harvester and IR-UWB transmitter for ultra-low-power battery-less biosensors. IEEE Trans. Circuits Syst. I Regul. Pap. 2020, 67, 1459–1468. [Google Scholar] [CrossRef]
- Gariboldi, R.; Pulvirenti, F. A 70 mΩ Intelligent High Side Switch with Full Diagnostics. IEEE J. Solid-State Circuits 1996, 31, 915–923. [Google Scholar] [CrossRef]
- Kotani, K.; Sasaki, A.; Ito, T. High-efficiency differential-drive CMOS rectifier for UHF RFIDs. IEEE J. Solid-State Circuits 2009, 44, 3011–3018. [Google Scholar] [CrossRef]
- Hwang, H.-W.; Chun, J.-H.; Kwon, K.-W. A low power cross-coupled charge pump with charge recycling scheme. In Proceedings of the 2009 3rd International Conference on Signals, Circuits and Systems (SCS), Medenine, Tunisia, 6–8 November 2009; IEEE: Piscataway Township, NJ, USA, 2009. [Google Scholar]
- Palumbo, G.; Pappalardo, D. Charge pump circuits: An overview on design strategies and topologies. IEEE Circuits Syst. Mag. 2010, 10, 31–45. [Google Scholar] [CrossRef]
- You, K.; Kim, H.; Kim, M.; Yang, Y. 900 MHz CMOS RF-to-DC converter using a cross-coupled charge pump for energy harvesting. In Proceedings of the 2011 IEEE International Symposium on Radio-Frequency Integration Technology, Beijing, China, 30 November–2 December 2011; IEEE: Piscataway Township, NJ, USA, 2011; pp. 149–152. [Google Scholar]
- Ballo, A.; Grasso, A.D.; Palumbo, G. A high-performance charge pump topology for very-low-voltage applications. IEEE Trans. Circuits Syst. II Express Briefs 2019, 67, 1304–1308. [Google Scholar] [CrossRef]
- Ballo, A.; Grasso, A.D.; Palumbo, G. A review of charge pump topologies for the power management of IoT nodes. Electronics 2019, 8, 480. [Google Scholar] [CrossRef]
- Ballo, A.; Grasso, A.D.; Palumbo, G. A subthreshold cross-coupled hybrid charge pump for 50-mV cold-start. IEEE Access 2020, 8, 188959–188969. [Google Scholar] [CrossRef]
- De Vita, G.; Iannacccone, G. Design criteria for the RF section of UHF and microwave passive RFID transponders. IEEE Trans. Microw. Theory Tech. 2005, 53, 2978–2990. [Google Scholar] [CrossRef]
- Yi, J.; Ki, W.-H.; Tsui, C.-Y. Analysis and design strategy of UHF micro-power CMOS rectifiers for micro-sensor and RFID applications. IEEE Trans. Circuits Syst. I Regul. Pap. 2007, 54, 153–166. [Google Scholar] [CrossRef]
- Barnett, R.E.; Liu, J.; Lazar, S. A RF to DC voltage conversion model for multi-stage rectifiers in UHF RFID transponders. IEEE J. Solid-State Circuits 2009, 44, 354–370. [Google Scholar] [CrossRef]
- Cardoso, A.J.; Montoro, C.G.; Schneider, M.C. Design of very low voltage CMOS rectifier circuits. In Proceedings of the IEEE Circuits and Systems for Medical and Environmental Applications Workshop (CASME), Merida, Mexico, 13–15 December 2010; pp. 1–4. [Google Scholar]
- Tanzawa, T. An analytical model of AC-DC voltage multipliers. In Proceedings of the 2014 21st IEEE International Conference on Electronics, Circuits and Systems (ICECS), Marseille, France, 7–10 December 2014; IEEE: Piscataway Township, NJ, USA, 2014. [Google Scholar]
- Tanzawa, T. An Analytical Model of AC-DC Charge Pump Voltage Multipliers. IEICE Trans. Electron. 2016, 99, 108–118. [Google Scholar] [CrossRef]
- Eid, M.H.; Rodriguez-Villegas, E. Analysis and design of cross-coupled charge pump for low power on chip applications. Microelectron. J. 2017, 66, 9–17. [Google Scholar] [CrossRef]
- Kotsubo, R.; Tanzawa, T. Modeling of subthreshold operation CMOS Latch-type RF-DC Charge Pump Circuits. In Proceedings of the Electronics Society Conference of IEICE, Virtual, 15–18 March 2022; Available online: http://hdl.handle.net/10297/00028678 (accessed on 17 November 2023).
- Kotsubo, R.; Tanzawa, T. The Origin of the Output Resistance in subthreshold Operation CMOS Latch-type RF-DC Charge Pump Circuits. In Proceedings of the Electronics Society Conference of IEICE, Nagoya, Japan, 6–9 September 2023; Available online: http://hdl.handle.net/10297/00029107 (accessed on 17 November 2023).



















| Parameter | Symbol | Value |
|---|---|---|
| Clock frequency | f | 1 GHz |
| Number of stages | N | 32 |
| Stage capacitance | C | 100 fF |
| Clock amplitude | Vdd | 400 mV |
| CP Name | Charge Transfer Switch | Configuration |
|---|---|---|
| SD–CP | Single diode-connected MOSFET | Single transistor whose gate and body terminals are tied to drain |
| ULPD–CP | Ultra-low-power diode | CMOS transistors connected in series |
| XC–CP | Cross-coupled CMOS | CMOS latch; the source terminals of NFETs connected to the input terminal and those of PFETs connected to the output terminal |
| Parameter | Description | Parameter | Description |
|---|---|---|---|
| Frequency of input power | Saturation current of MOSFET operating in subthreshold region | ||
| Input AC voltage of XC–CP | C | Stage capacitor (capacitance per stage) | |
| Amplitude of Vin | Number of stages | ||
| Output DC voltage of XC–CP | Output resistance of CP | ||
| Average output current of XC–CP | ISC | Short-circuit current of CP | |
| Effective thermal voltage | VOC | Open-circuit voltage defined by RO ISC |
| Parameter | Symbol | Value |
|---|---|---|
| Clock frequency | f | 1 MHz |
| Number of stages | N | 24 |
| Stage capacitance | C | 10 pF |
| Clock amplitude | Vdd | 400 mV, 200 mV, 50 mV |
| CP | SPICE | Measured |
|---|---|---|
| SD | 1.7 V | 1.3 V |
| ULPD | 1.1 V | 1.0 V |
| XP | 2.1 V | 2.2 V |
Disclaimer/Publisher’s Note: The statements, opinions and data contained in all publications are solely those of the individual author(s) and contributor(s) and not of MDPI and/or the editor(s). MDPI and/or the editor(s) disclaim responsibility for any injury to people or property resulting from any ideas, methods, instructions or products referred to in the content. |
© 2023 by the authors. Licensee MDPI, Basel, Switzerland. This article is an open access article distributed under the terms and conditions of the Creative Commons Attribution (CC BY) license (https://creativecommons.org/licenses/by/4.0/).
Share and Cite
Kotsubo, R.; Tanzawa, T. Modeling of Cross-Coupled AC–DC Charge Pump Operating in Subthreshold Region. Electronics 2023, 12, 5031. https://doi.org/10.3390/electronics12245031
Kotsubo R, Tanzawa T. Modeling of Cross-Coupled AC–DC Charge Pump Operating in Subthreshold Region. Electronics. 2023; 12(24):5031. https://doi.org/10.3390/electronics12245031
Chicago/Turabian StyleKotsubo, Ryoma, and Toru Tanzawa. 2023. "Modeling of Cross-Coupled AC–DC Charge Pump Operating in Subthreshold Region" Electronics 12, no. 24: 5031. https://doi.org/10.3390/electronics12245031
APA StyleKotsubo, R., & Tanzawa, T. (2023). Modeling of Cross-Coupled AC–DC Charge Pump Operating in Subthreshold Region. Electronics, 12(24), 5031. https://doi.org/10.3390/electronics12245031
