Next Article in Journal
Coverage Enhancement of Light-Emitting Diode Array in Underwater Internet of Things over Optical Channels
Previous Article in Journal
Dynamical Analysis of a Memristive Chua’s Oscillator Circuit
 
 
Font Type:
Arial Georgia Verdana
Font Size:
Aa Aa Aa
Line Spacing:
Column Width:
Background:
Article

Left-Invariant PID Control Almost Globally Stabilizes Rigid-Body Attitudes with Right-Invariant Biases

School of Automation and Electrical Engineering, and Key Institute of Robotics Industry of Zhejiang Province, Zhejiang University of Science and Technology, Hangzhou 310023, China
*
Author to whom correspondence should be addressed.
Electronics 2023, 12(23), 4735; https://doi.org/10.3390/electronics12234735
Submission received: 16 October 2023 / Revised: 17 November 2023 / Accepted: 19 November 2023 / Published: 22 November 2023

Abstract

This paper studies the robust stabilization of rigid-body attitudes represented by a special orthogonal matrix. A geometric proportional–integral–derivative (PID) controller is proposed with all the input commands defined in the dual space so * ( 3 ) of a Lie algebra for left-invariant systems evolving on a Lie group S O ( 3 ) . Almost global asymptotic stability (AGAS) of the close system is proved by constructing a gradient-descent Lyapunov function after explicitly performing two stages of variable change. The attitudes are stabilized to the stable equilibrium despite the influence of inertially fixed biases. The convergent behaviors and the robustness to biases are verified by numerical simulations.

1. Introduction

Stabilizing the orientation or attitude of a rigid body is significantly desirable for controlling the kinematics or dynamics of aircraft, space crafts, satellites, helicopters, unmanned aerial vehicles (UAVs) and submarines [1]. Before justifying stabilization algorithms, we first need to turn the attitudes into mathematical notations. The minimal representations, like Euler angles or modified Rodriguez parameters, suffer from singularities. Early results were established on quaternions with four parameters, attempting to obtain globally effective control laws by resolving the problems caused by singularities [1,2]. However, the quaternion-based system faces ambiguity in representing one attitude with two antipodal points, which may exhibit an unwinding phenomenon if not carefully resolved. The Lie group structure, however, allows for a global and unique representation of rigid-body attitudes in terms of a rotation matrix; see [3] for more detailed discussions. In this line, many well-known techniques for control and estimation, such as PID control [4,5,6], state observers [7,8] and output regulation [9], are extended to systems whose configuration space involves a Lie group. By specializing the abstract notation of a Lie group into a concrete one S O ( 3 ) , i.e., a special orthogonal group of three dimensions, it is straightforward to come up with engineering algorithms for practical applications, including stabilization [6], coordination [10], synchronization [11,12], observers [7,13] and tracking [4,14] of rigid-body attitudes. Basically, this paper is focused on attitude stabilization on S O ( 3 ) , as we believe that it is possible to establish the other algorithms based on this essential framework of stabilization without any significant adaption. As pointed out in [15], achieving global stability by solely using continuous control law is not possible. Therefore, we set our goal as establishing almost global stability based on a continuous strategy of PID control.
There are various methods for controller design, allowing us to achieve the desired attitude stabilization. Roughly, we categorize the control algorithms into model-based and model-free classes by investigating if their computation of control inputs requires prior knowledge of the system model or not. When exact information about physical systems is available, the model-based strategies, such as state observers [7,8,16], sliding model control [17] and output regulation [9], are beneficial in obtaining more accurate control by simulating the physical models. Nevertheless, the simulation relies heavily on computation power, and thus has limitations in practical applications with restricted computing resources. As a typical model-free method, PID control requires the least knowledge about the system’s model. Now, more than 95 % of industrial feedback control systems employ PID or PID-type control due to their simple structure and easiness of parameter tuning. The input commands of PID control consist of three terms, i.e., the proportion, time derivative, and time integral of errors. It is convenient to compute those terms for systems defined in Euclidean spaces. For systems evolving in non-Euclidean spaces, however, the classical definition of PID inputs in vector spaces makes no mathematical sense. Geometric extension of PID control to systems defined on nonlinear spaces, such as on Lie groups or, more generally, on Riemannian manifolds, has attracted significant attention in the last two decades. By defining the proportional control as a proportion of the gradient of an error function, PD control was generalized to mechanical systems on Riemannian manifolds [18]. Following this framework, we further defined the integral action in Lie algebra as the time integral of PD commands and came up with a left-invariant PID controller for a left-invariant system on Lie groups [6] with body-fixed biases. Parallel work in [5] is focused on providing an intrinsic PID controller with the integral action defined in a manner of covariant derivative. The effectiveness of geometric PID control proposed in those published works has been verified by examples of attitude stabilization on S O ( 3 ) . Results in [19] also extended the classical PID to that for both first-order and second-order systems on smooth manifolds.
For systems evolving on nonlinear spaces, defining integral control requires the transformation of velocities among the tangent spaces of different configuration points. The structure of Lie group provides two canonical ways to transport the velocities in tangent space of an arbitrary point to that of the group identity, i.e., the Lie algebra, resulting in the concepts of left-invariant and right-invariant velocity. In robotic applications, we usually but not rigorously use the left-invariant and right-invariant terms to describe velocities in body and inertial frames, respectively. The work in [6] is focused on the left-invariant design of PID controllers for systems admitting body-fixed (left-invariant) biases. They also devised a right-invariant design for systems with inertially fixed (right-invariant) disturbance. In order to maintain the right invariance of an integral action, its design expressed in body frames needs to compensate for the variations due to the influence of frame change. This paper is built upon our previous work in [6]. However, we believe that those compensations are not necessarily required when the integral control is confirmed with the ability to deal with state-dependent biases. To our best knowledge, using a left-invariant design of PID controllers to robustly stabilize the attitudes of a rigid body with inertially fixed biases has not been studied. In addition, tangent and cotangent spaces are identified, and the influence of an inertia matrix is ignored in [6]. Instead, we view the attitude dynamics of a rigid body as a mechanical system and consider the case with control inputs defined in the dual space of a Lie algebra, i.e.,  so * ( 3 ) .
Although traditional PID control has been generalized to more geometric settings, analyzing the convergence and robustness of the resulting systems needs further studies. The existing results in [6,20] only counter constant biases. In practice, however, most biases vary as the system’s states evolve. For instance, inertially fixed bias in the above setting turns out to be a state-dependent bias in the body frames of a rigid body. Although rejecting state-dependent [21] or time-varying disturbance [5] has been considered, their analysis does not pay attention to the speed of convergence. The result in [6,20,22] reduces the derivative of the Lyapunov function into a binary quadratic form, and the proof has to be produced by recalling the associated LaSalle’s invariance principle; it is difficult to judge the convergent speed in the third dimension. The work in [5] has a representation of the ternary quadratic form for the derivative of the Lyapunov function, which allows for decreasing the Lyapunov function in a gradient-descent manner. However, its construction of the Lyapunov function does not include the biased term, and thus, the system is only ensured to converge to a neighborhood of the desired equilibrium point. We attempt to explicitly construct a Lyapunov function whose derivative is a ternary quadratic form and prove the gradient-descent convergence of a left-invariant PID-controlled system (with the controller defined in body frames) to the exact point of equilibrium despite the influence of state-dependent biases (the expression of inertially fixed biases in body frames).
The contributions of this paper are in the following aspects:
  • A geometric PID controller is defined on so * ( 3 ) for left-invariant dynamical systems evolving on S O ( 3 ) . The time-varying effects in body frames caused by inertially fixed biases are suppressed by integral actions.
  • A gradient-descent Lyapunov function is established by applying two stages of variable change. A criterion for parameter tuning of the geometric PID controller is justified by ensuring the decline of the suggested Lyapunov function.
  • AGAS stability of the stable equilibrium point is proved for the resulting close system by decreasing the Lyapunov function without involving LaSalle’s invariance principle.
The contents of the present paper are organized as follows. In Section 2, we establish the preliminary concepts and provide the necessary mathematical notations. The system model and geometric PID controller are clearly defined in Section 3. The main efforts of this paper are devoted to the convergence analysis of the resulting close system; see Section 4 for details. Simulation results of a numerical example are reported in Section 5, and conclusions are reached in Section 6.

2. Preliminaries and Mathematical Notations

We denote the set of three-dimensional special orthogonal matrices by S O ( 3 ) = { Q R 3 × 3 | Q T Q = I 3 × 3 , det ( Q ) = 1 } , which is a Lie group as it is a continuous manifold and simultaneously satisfies the group structure. For a matrix group, the group operation, group identity, and inverse of a group element are just matrix multiplication, the identity matrix I 3 × 3 and the inverse of a matrix. Associated with each Q is a tangent space T Q S O ( 3 ) . The special tangent space at the group identity T e S O ( 3 ) = { Ω R 3 × 3 | Ω T = Ω } , i.e., a set of all skew-symmetric matrices, is indeed a Lie algebra so ( 3 ) with Lie bracket operation defined as [ Ω a , Ω b ] = Ω a Ω b Ω b Ω a . The matrix Ω , in fact, only has three independent variables, and we are inspired by this fact to represent the velocity with a three-dimensional vector. The Lie algebra is then defined as so ( 3 ) = { ω R 3 | [ ω a , ω b ] = ω a × ω b } with the associated Lie bracket justified as a cross product in three-dimensional space. The transformations between vector notation ω and matrix notation Ω follow
ω = [ Ω ] = ω 1 ω 2 ω 3 Ω = [ ω ] = 0 ω 3 ω 2 ω 3 0 ω 1 ω 2 ω 1 0 .
There are two canonical ways allowing for translation of the velocity d d t Q T Q S O ( 3 ) into that in so ( 3 ) . Left multiplication by Q T results in the definition of left-invariant velocity ξ l = Q T · d d t Q , while right multiplication by Q T gives the right-invariant velocity ξ r = d d t Q · Q T . The terms ξ l and ξ r are not equal in most cases, although they belong to the same space so ( 3 ) . In practice, usually but not rigorously, we use ξ l and ξ r to model velocities in body frames and in the inertial frame, respectively. The transformations ξ r = A d Q ξ l = Q ξ l Q T in matrix notation, or  ω r = A d Q ω l = Q ω l in vector notation, follow the adjoint representation A d Q : so ( 3 ) so ( 3 ) , which indeed is an association of left multiplication by Q and right multiplication by Q T . We denote by so * ( 3 ) the dual space of so ( 3 ) and define the dual of A d Q as A d Q * : so * ( 3 ) so * ( 3 ) such that the inner product · , · : so * ( 3 ) × so ( 3 ) R is preserved under adjoint transformations, i.e.,  p r , ω r = A d Q * p l , A d Q ω l = Q p l , Q ω l .
In order to characterize the distance to the element of group identity, an error function is defined as a scalar function ϕ : S O ( 3 ) R with
ϕ = 1 2 tr ( I 3 × 3 Q ) .
Its gradient ϕ R 3 is then identified by computing the time derivative of the error function d d t ϕ = l ϕ , ω l = r ϕ , ω r . The resulting explicit expression for the gradient writes in terms of the skew-symmetric part of Q:
l ϕ = r ϕ = [ skew ( Q ) ] = [ 1 2 ( Q Q T ) ] .
By letting ϕ = 0 , we obtain four critical points, i.e., one minimum point Q = I with ϕ = 0 and three maximum points Q = diag { 1 ; 1 ; 1 } , diag { 1 ; 1 ; 1 } , diag { 1 ; 1 ; 1 } with ϕ = 2 . The minimum point is a stable equilibrium, while the other three are unstable equilibrium points corresponding to the attitudes with a π rotation around three principle axes.
In what follows, we use the abbreviated notation ω , instead of ω l , to describe left-invariant vectors, while the notations ω l and ω r are only used when emphasizing their difference is necessary. The norm of a matrix A is defined as A = λ max ( A T A ) and the norm of vector v follows v = v T · v . The operation “·” in A · v and v T · w represents algebraic multiplications of matrices or vectors. When the dimension of I n × n is clear from the context, we always simplify the notation of k I n × n into k.

3. System Model and Controller Design

3.1. System Model

Following the kinematics on S O ( 3 ) and Euler’s rotation equation, we obtain a controlled second-order system on S O ( 3 ) in body frames
Q T d d t Q = [ ω ]
J d d t ω = J ω × ω + u + F b l
where J = diag { J 1 ; J 2 ; J 3 } R 3 × 3 denotes the inertia matrix, the cross product J ω × ω is internal force, the term u is externally applied control inputs to be designed and u b = F b l R 3 represents the biased torque in the body frame. In this paper, our goal is to reject inertially fixed biases, and thus, we need to translate the right-invariant bias F b r R 3 into that expressed in body frames
F b l = Q T F b r .
As Q varies, the biased term F b l does not remain invariant for constant F b r ; its derivative follows
d d t F b l = ω × ( Q T F b r ) .
Countering the effects of this Q-dependent bias is significantly challenging for controller design.

3.2. Controller Design

The goal of controller design is to stabilize the state of system ( Q , ω ) to the equilibrium point ( I , 0 ) despite the influence of bias F b r . In order to reach this goal, we propose a controller design that consists of two components, i.e., a feed-forward term and a PID control algorithm,
u = u f f + u p i d .
The first term u f f is used as a feed-forward term to compensate for the cross product term in (3), and thus is defined as
u f f = J ω × ω .
The second term u p i d represents inputs of PID control whose geometric definition follows
u p i d = k p ϕ k d ω + k i u i
J d d t u i = k p ϕ k d ω
where the terms F p = k p ϕ , F d = k d ω and F i = k i u i correspond to three different feedback loops of action, i.e., proportional, derivative and integral actions; and  k p , k d , k i > 0 are their tuning parameters.
For the traditional PID control defined in Euclidean spaces, computing the proportion, derivative and integral of error vectors is straightforward. For systems evolving on nonlinear spaces, however, we need to adjust the geometric definition of proportional and integral control. First, we must use the gradient of an error function, rather than the error itself, to define the proportional control. Second, as integrating the error function makes no sense, we need to integrate the PD input commands, which are vectors in tangent spaces. The definition in this paper is almost the same as that in our previous work [6], but with a slight difference. The tangent and cotangent spaces were identified in [6], and the influence of inertia matrix J has been ignored. In the present paper, controller design is performed in cotangent space, i.e., u is applied to J d d t ω . By following the same fashion, we express the dynamics of integral action in terms of J d d t u i .
Submitting the feed-forward and PID control (7)–(9) into (6) and replacing the input commands u in system model (2) and (3) by (6) gives a closed system:
Q T d d t Q = [ ω ]
J d d t ω = k p ϕ k d ω + k i u i + F b l
J d d t u i = k p ϕ k d ω .
The algorithm of geometric PID for the stabilization of rigid-body attitudes is summarized as shown in Algorithm 1.
Algorithm 1: Geometric PID Stabilization of Rigid-Body Attitudes
Electronics 12 04735 i001
In next, we study the convergence performance based on the closed system (10)–(12) and justify the required conditions for parameter tuning of this geometric PID control algorithm.

4. Convergence Analysis

Before coming up with the construction of a Lyapunov function, we first perform two steps of variable change for the resulting close system. In the first stage, we show that there exists a negative proportion of ϕ T · ϕ in d d t ϕ , which ensures the gradient decline of the error function. The second stage of variable change allows us to find a suitable metric function whose exponential decrease proves that F d and F i approach the opposite of F p and F b , respectively, in a gradient-descent manner.

4.1. First-Stage Variable Change

It is not convenient to analyze the stability of a geometric PID-controlled system in the coordinates ( Q , ω , u i ) . We thus, at this first stage, take a new coordinate system ( Q , X , Y ) with
X = k p ϕ k d ω
Y = k i u i + F b l .
The inverse of this coordinate change allows us to express ω , J d d t ω and J d d t u i in terms of X and Y:
ω = β ϕ ρ X J d d t ω = X + Y J d d t u i = X
with β = k p / k d , ρ = 1 / k d . Performing this first-stage variable change leads to a transformation of the original system into that expressed in the renewed coordinates:
Q T d d t Q = [ β ϕ ρ X ] J d d t X = k d X k d Y k p J H ( β ϕ ρ X ) J d d t Y = k i X + J F b l ( β ϕ ρ X )
where H is a Hessian matrix satisfying d d t ϕ = H · ω and F b l represents the gradient of F b l with regard to the attitude such that d d t F b l = F b l · ω . It is easy to check that d d t ϕ is upper-bounded by H ¯ ω with a positive H ¯ such that H H ¯ ; see [4,20].
By defining vectors v = [ X ; Y ] and p = [ J X ; J Y ] , we obtain a representation of the resulting close system in a more compact form:
Q T d d t Q = [ β ϕ + b ϕ ]
d d t p = A v + b v
with matrix A and vectors b ϕ , b v :
A = k d k d k i 0
b ϕ = ρ X , b v = k p J H ( β ϕ ρ X ) J F b l ( β ϕ ρ X ) .
The process of first-stage variable change and the property of resulting representation can be summarized as follows.
Proposition 1.
Suppose that the moments of inertia and the Hessian matrix of a rigid-body system are upper-bounded by J J ¯ and H H ¯ , and the gradient of bias has an upper bound F b l B . Then, the closed system (10)–(12) has a representation of the form (15) and (16) under the coordinate change (13) and (14). The norms of vector b ϕ and b v are upper-bounded by ϕ and v
b ϕ k 0 v
b v k 1 ϕ + k 2 v
with k 0 = ρ , k 1 = k p β J ¯ H ¯ + β J ¯ B and k 2 = β J ¯ H ¯ + ρ J ¯ B .
Proof of Proposition 1.
It is straightforward to obtain the renewed representation of the system by following the above computation. The remaining task is to identify the upper bounds for b ϕ and b v . From their expressions in (18), we know that b ϕ = ρ X ρ v and obtain the result in (19) for the upper bound of b ϕ with k 0 = ρ . The vector b v can be considered as a combination of two terms b v 1 = [ k p β J H ϕ ; β J F b l ϕ ] and b v 2 = [ β J H X ; ρ J F b l X ] . By the assumptions of J J ¯ , H H ¯ and F b l B , we then have
b v 1 ( k p β J · H + β J · F b l ) · ϕ ( k p β J ¯ H ¯ + β J ¯ B ) ϕ = k 1 ϕ b v 2 ( β J · H + ρ J · F b l ) · v ( β J ¯ H ¯ + ρ J ¯ B ) v = k 2 v
which allows us to reach the conclusion of (20) for the upper bound of b v with k 1 and k 2 justified accordingly. □
After applying the first-stage variable change, we have established a result with d d t ϕ having a term β ϕ 2 , by which gradient-descent decrease in ϕ is possible. However, v T A v is not always negative for arbitrary nonzero vectors. Therefore, we need to further perform a second-stage variable change, which actually is a similar transformation v ˜ = S · v and A ˜ = S · A · S 1 , such that the term v ˜ T A ˜ v ˜ is definitely negative for all vectors v ˜ 0 .

4.2. Second-Stage Variable Change

The second-stage variable change is mainly about the diagonalization of matrix A. By letting k i = γ k d , we turn the matrix A in (17) into
A = k d k d γ k d 0 .
This matrix has two eigenvalues:
λ ˜ 1 = λ 1 k d , λ ˜ 2 = λ 2 k d
with λ 1 and λ 2 having explicit expressions
λ 1 , 2 = 1 2 ± 1 4 γ
which indeed are two solutions of the equation
λ 2 λ + γ = 0 .
We then define the second-stage variable change as
X ˜ = λ 1 X + Y
Y ˜ = λ 2 X + Y
or in matrix form, as v ˜ = S · v for v ˜ = [ X ˜ , Y ˜ ] . The matrix S is then justified as
S = λ 1 1 λ 2 1 .
By defining p ˜ = [ J X ˜ , J Y ˜ ] and computing its derivative, we further obtain the transformation of systems (15) and (16) into that expressed in terms of p ˜ , v ˜ , b ˜ ϕ and b ˜ v ˜ :
Q T d d t Q = [ β ϕ + b ˜ ϕ ]
d d t p ˜ = A ˜ v ˜ + b ˜ v ˜
with the matrix A ˜ and vectors b ˜ ϕ , b ˜ v ˜ :
A ˜ = S A S 1 = λ ˜ 1 λ ˜ 2
b ˜ ϕ = ρ λ 1 λ 2 ( X ˜ Y ˜ ) , b ˜ v ˜ = S · b v .
The process of second-stage variable change and the property of the resulting representation can be summarized as next proposition.
Proposition 2.
Suppose that the Proposition 1 is satisfied and 0 < m γ M < 1 / 4 . Then, there exists a coordinate change (22) and (23), such that the closed system (15) and (16) has a representation of the form (24) and (25). The quadratic form v ˜ T A ˜ v ˜ is then upper-bounded by v ˜ 2 :
v ˜ T A ˜ v ˜ k ˜ A v ˜ 2
with k ˜ A = 1 2 1 4 m k d > 0 . The norm of vectors b ˜ ϕ and b ˜ v ˜ is upper-bounded by ϕ and v ˜
b ˜ ϕ k ˜ 0 v ˜
b ˜ v ˜ k ˜ 1 ϕ + k ˜ 2 v ˜
with k ˜ 0 = 2 ρ 1 4 M , k ˜ 1 = 2 k 1 and k ˜ 2 = 4 k 2 1 4 M .
Proof of Proposition 2.
It is straightforward to obtain the renewed representation of the system by following the above computation. The remaining task is to identify the upper bounds of v ˜ T A ˜ v ˜ , b ˜ ϕ and b ˜ v ˜ . From (26), we know that
v ˜ T A ˜ v ˜ 1 2 1 4 γ k d v ˜ 2 1 2 1 4 m k d v ˜ 2 = k ˜ A v ˜ 2
by which k ˜ A is identified accordingly. From the solutions for λ in (21), we know the fact that λ < 1 and 1 4 M < | λ 1 λ 2 | = | 1 4 γ | < 1 4 m . Following the definition of matrix norm and applying the Gershgorin circle theorem allows us to estimate the upper bound of S and S 1 ,
S = λ max ( S T S ) < 2 S 1 = λ max ( ( S 1 ) T S 1 ) < 2 1 4 M .
From (19) and (27), we know that
b ˜ ϕ = b ϕ ρ v ρ S 1 · v ˜ 2 ρ 1 4 M v ˜ = k ˜ 0 v ˜ .
The term b ˜ v ˜ in (27) can be considered as a combination of two terms b ˜ v ˜ 1 = S · b v 1 and b ˜ v ˜ 2 = S · b v 2 . With the results in (20) for b v 1 k 1 ϕ and b v 2 k 2 v , we then have
b ˜ v ˜ 1 S · k 1 ϕ 2 k 1 ϕ = k ˜ 1 ϕ b ˜ v ˜ 2 S · k 2 v S · k 2 S 1 · v ˜ 4 k 2 1 4 M v ˜ = k ˜ 2 v ˜ .
The above results allow us to reach the conclusion by (29) and (30) for the upper bound of b ˜ ϕ and b ˜ v ˜ with k ˜ 0 , k ˜ 1 and k ˜ 2 justified accordingly. □

4.3. Almost Global Asymptotic Stability

Now, we are ready to present the main result of this paper.
Theorem 1.
Suppose that the moments of inertia and the Hessian matrix of a rigid-body system are bounded by J ̲ J J ¯ and H H ¯ . Assume that the bias and its gradient are upper-bounded with F b l F and F b l B . If the control parameters are identified as taking k p > 1 / 1 4 M and sufficiently large k d , k i with γ = k i / k d [ m , M ] ( 0 , 1 / 4 ) , then the stable equilibrium point of system (10)–(12) is almost globally asymptotically stable (AGAS). Starting from the initial point Q ( 0 ) R 0 = { Q | ϕ ( Q ) a 0 } with ω ( 0 ) = u i ( 0 ) = 0 , and by decreasing the Lyapunov function
V = α ϕ + 1 2 p ˜ T · v ˜
the system’s state ( Q , ω ) is stabilized to the desired equilibrium ( I , 0 ) , while the bias F b l is rejected by integral action k i u i . Sufficiently large control parameters allow for the extension of attraction region almost globally to S O ( 3 ) .
Proof of Theorem 1.
Submitting (24) and (25) into the time derivative of the Lyapunov function (31) results into
d d t V = α ϕ T · ω + v ˜ T · d d t p ˜ = α β ϕ T · ϕ + α ϕ T · b ˜ ϕ + v ˜ T A ˜ v ˜ + v ˜ T · b ˜ v ˜ .
Exploring the results (28)–(30) established in Proposition 2, we obtain
d d t V α β ϕ 2 + ( α k ˜ 0 + k ˜ 1 ) ϕ · v ˜ + ( k ˜ A + k ˜ 2 ) v ˜ 2 .
By defining z = [ ϕ ; v ˜ ] , we further have
d d t V z T W z
with the matrix
W = α β α k ˜ 0 + k ˜ 1 2 α k ˜ 0 + k ˜ 1 2 k ˜ A + k ˜ 2 .
By the Gershgorin circle theorem, z T W z < 0 requires
α β > α k ˜ 0 + k ˜ 1 2 k ˜ A > α k ˜ 0 + k ˜ 1 2 + k ˜ 2 .
We replace k ˜ A , k ˜ 0 , k ˜ 1 , k ˜ 2 with explicit expressions and rewrite the conditions as
k p 1 1 4 M k α > k p J ¯ H ¯ + J ¯ B
1 2 1 4 m k d > k α β + 4 ( β J ¯ H ¯ + ρ J ¯ B ) 1 4 M + k p β J ¯ H ¯ + β J ¯ B
with k α = α / k p . The resulting requirements are possible to be fulfilled by choosing the parameters for controller design appropriately and taking right value of the weight in Lyapunov function. Firstly, we take a large k p such that k p > 1 1 4 M . Once the value of k p is justified, the condition (32) can be satisfied by enlarging k α . In next, for fixed k p and k α , we have the chance to reach the condition (33) by taking a sufficiently large value for k d , as it makes β = k p / k d and ρ = 1 / k d sufficiently small.
In order to prove almost global stability, we need to ensure that Q does not reach the unstable equilibria, i.e., ϕ ( Q ( t ) ) a < 2 is always satisfied for all t. Let R 0 = { Q | ϕ ( Q ) a 0 < 2 } and R 1 = { Q | ϕ ( Q ) a < 2 } ; then, we need to prove that Q ( 0 ) R 0 and ω ( 0 ) = u i ( 0 ) = 0 implies Q ( t ) R 1 .
Firstly, we show that ϕ 2 is upper-bounded by ϕ . We know the fact that ϕ = ϕ 2 = 0 at the stable equilibrium point Q = I , and the values of ϕ ( Q ) and ϕ ( Q ) 2 for arbitrary Q can be represented as the path integral along a curve parameterized by t [ 0 , 1 ] , starting from an initial point I at t = 0 and ending at the point Q at t = 1 . Without loss of generality, we take the special curve whose tangent vector equals ϕ as the candidate path for computing integration. Therefore, we have
ϕ ( Q ) = 0 1 d d t ϕ ( Q ( t ) ) · d t = 0 1 ϕ ( Q ( t ) ) T · ϕ ( Q ( t ) ) d t = 0 1 ϕ ( Q ( t ) ) 2 d t ϕ ( Q ) 2 = 0 1 d d t ϕ ( Q ( t ) ) 2 · d t = 0 1 2 ϕ ( Q ( t ) ) T · H ( Q ( t ) ) · ϕ ( Q ( t ) ) d t .
As the norm of the Hessian matrix is upper-bounded by H ¯ , we in further obtain
ϕ ( Q ) 2 2 H ¯ 0 1 ϕ ( Q ( t ) ) 2 d t = 2 H ¯ ϕ ( Q ) .
Next, we prove that ω ( t ) is upper-bounded. As d d τ V ( τ ) < 0 for all τ [ 0 , t ) , we thus obtain the estimate of the upper bound for V ( t ) :
V ( t ) = V ( 0 ) + 0 t d d τ V ( τ ) d τ < V ( 0 ) α ϕ ( Q ( 0 ) ) + J ¯ 2 v ˜ ( 0 ) 2 2 α + 2 J ¯ ( 4 H ¯ k p 2 + F 2 ) .
with
v ˜ ( 0 ) S · v ( 0 ) 2 X ( 0 ) 2 + Y ( 0 ) 2 = 2 k p ϕ ( Q ( 0 ) ) k d ω ( 0 ) 2 + k i u i ( 0 ) + F b l ( 0 ) 2 2 4 H ¯ k p 2 + F 2 .
We further obtain the value of the upper bound for ω ( t ) as follows.
ω ( t ) β ϕ ( Q ( t ) ) + ρ X ( t ) 2 β H ¯ + ρ v ( t ) 2 β H ¯ + ρ S 1 · v ˜ ( t ) 2 β H ¯ + 2 ρ 1 4 M 2 J ̲ V ( t ) 2 β H ¯ + 4 ρ 1 4 M α J ̲ + J ¯ J ̲ ( 4 H ¯ k p 2 + F 2 ) = E .
Finally, we prove that the value of ϕ does not reach its maximum. The nominal part of the system’s dynamics d d t v = A v actually represents a damped oscillator whose frequency is proportional to k d . Enlarging k d to infinity allows us to reduce the period T of this oscillator to zero. Therefore, we have the chance to restrict the value of ϕ ( Q ( t ) ) over a period t [ t 0 , t 0 + T ] sufficiently close to that of ϕ ( Q ( t 0 ) ) , i.e.,
ϕ ( Q ( t ) ) ϕ ( Q ( t 0 ) ) = t 0 t ϕ ( Q ( τ ) ) T · ω ( τ ) d τ T · 2 H ¯ · E .
This means that, given an arbitrary value of a 0 < 2 , we can figure out a real value of a satisfying a 0 < a = a 0 + 2 T H ¯ · E < 2 by making k d sufficiently large, such that ϕ ( Q ( t 0 ) ) a 0 implies ϕ ( Q ( t ) ) a for all t [ t 0 , t 0 + T ] . Over a period, the action by ρ X in ω is averaged out, and the action by β ϕ decreases the value of ϕ , i.e., ϕ ( Q ( t 0 + T ) ) < ϕ ( Q ( t 0 ) ) a 0 . Thus, the condition ϕ ( Q ( t ) ) < a remains valid for all t > t 0 + T , and the attitudes are ensured to be prevented from reaching the unstable equilibrium points.
Now we complete the proof by reaching a conclusion on almost global asymptotic stability of the desired equilibrium point ( I , 0 ) , i.e., sufficiently enlarging control parameters allows us to extend the attraction region R 0 almost globally to S O ( 3 ) . □
For a rigid body system with a right-invariant bias F b r R 3 upper-bounded by F, we have F b l = F b r F and d d t F b l = F b l · ω F · ω by following the explicit expressions in (4) and (5). Thus, the condition F b l B is satisfied by taking B = F . With F b l F and F b l B , and by the results in the above theorem, we can claim that left-invariant PID controller almost globally stabilizes attitudes of a rigid body with right-invariant biases.

5. Simulations

The effectiveness of the proposed geometric PID controller and our framework of stability analysis is verified by the following numerical simulations. The rigid body to be controlled allows for rotation around three perpendicular axes with different values for moments of inertia, i.e., J = diag { J 1 ; J 2 ; J 3 } = { 1 ; 1.1 ; 1.2 } kg · m 2 . The rigid body is assumed to admit an inertially fixed bias F b r = [ 0.1 ; 0.2 ; 0.3 ] kg · m 2 · rad / s 2 .
In order to satisfy the conditions required in the stability analysis, the parameters of the controller are carefully identified as k p = 2 , k d = 10 and k i = 2.4 such that β = k p / k d = 0.2 and γ = k i / k d = 0.24 . The weight coefficient in the Lyapunov function is taken as α = 10 with k α = α / k p = 5 . We let the controlled system start to move with zero velocity and without integral action at initial time and from an arbitrarily specified value of initial attitude, which is an association of 2 π / 3 clockwise rotation around z axis after π / 6 clockwise rotation around x axis.
Q 0 = Q z 2 π 3 Q x π 6 = cos ( 2 π / 3 ) sin ( 2 π / 3 ) 0 sin ( 2 π / 3 ) cos ( 2 π / 3 ) 0 0 0 1 1 0 0 0 cos ( π / 6 ) sin ( π / 6 ) 0 sin ( π / 6 ) cos ( π / 6 )
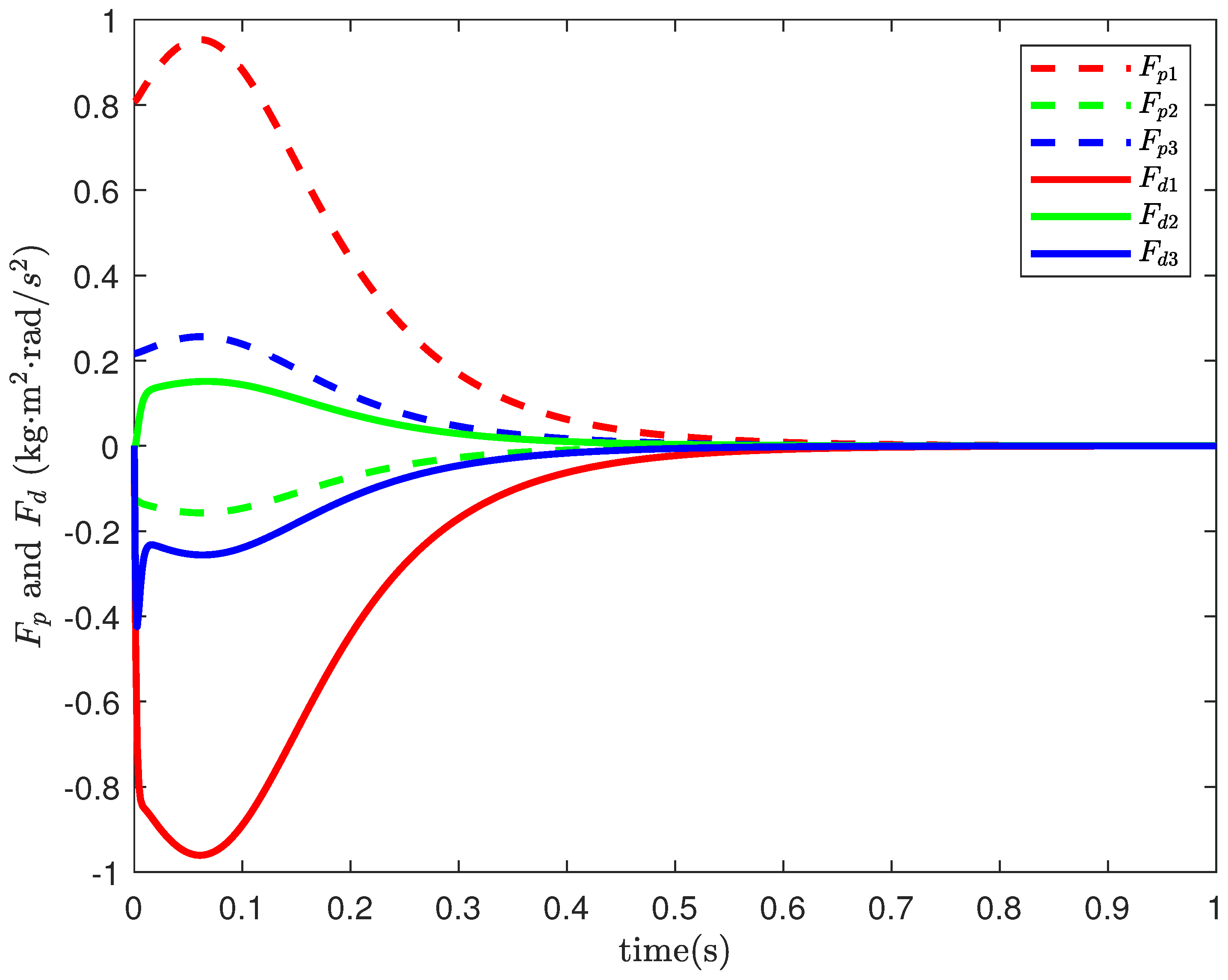
Figure 1 shows the evolution of proportional (dashed on the figures) and derivative (solid on the figures) parts of input commands. After a very short initial transient, the derivative input F d = k d ω does converge to the opposite of proportional input F p = k p ϕ ; see Figure 2. This behavior implies that ω is forced to approach β ϕ rapidly, which confirms the ability of derivative control in tracking the gradient of error function. The benefit of performing PD control is then reasonably straightforward: by letting ω = β ϕ , the error function declines in a gradient-descent manner, i.e., d d t ϕ = β ϕ 2 . Unfortunately, this is also a limitation for this design of PID controller. For a fixed k p , enlarging k d will accelerate the tracking speed of ω towards β ϕ , but at the same time will decrease the value of β and thus will slow down the convergence speed of error function. Balancing the value of k d and β is worth further studies.
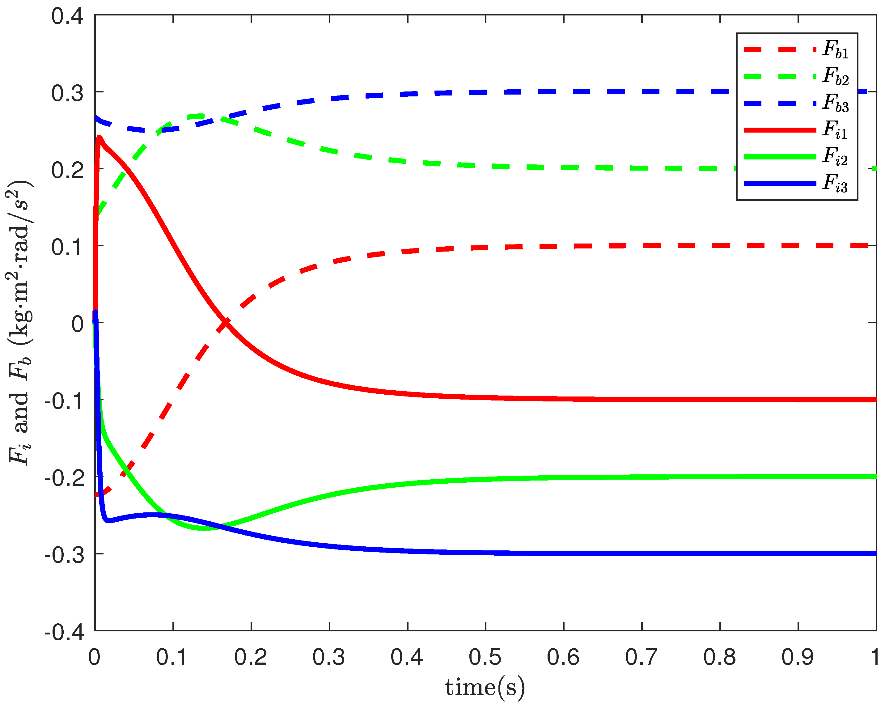
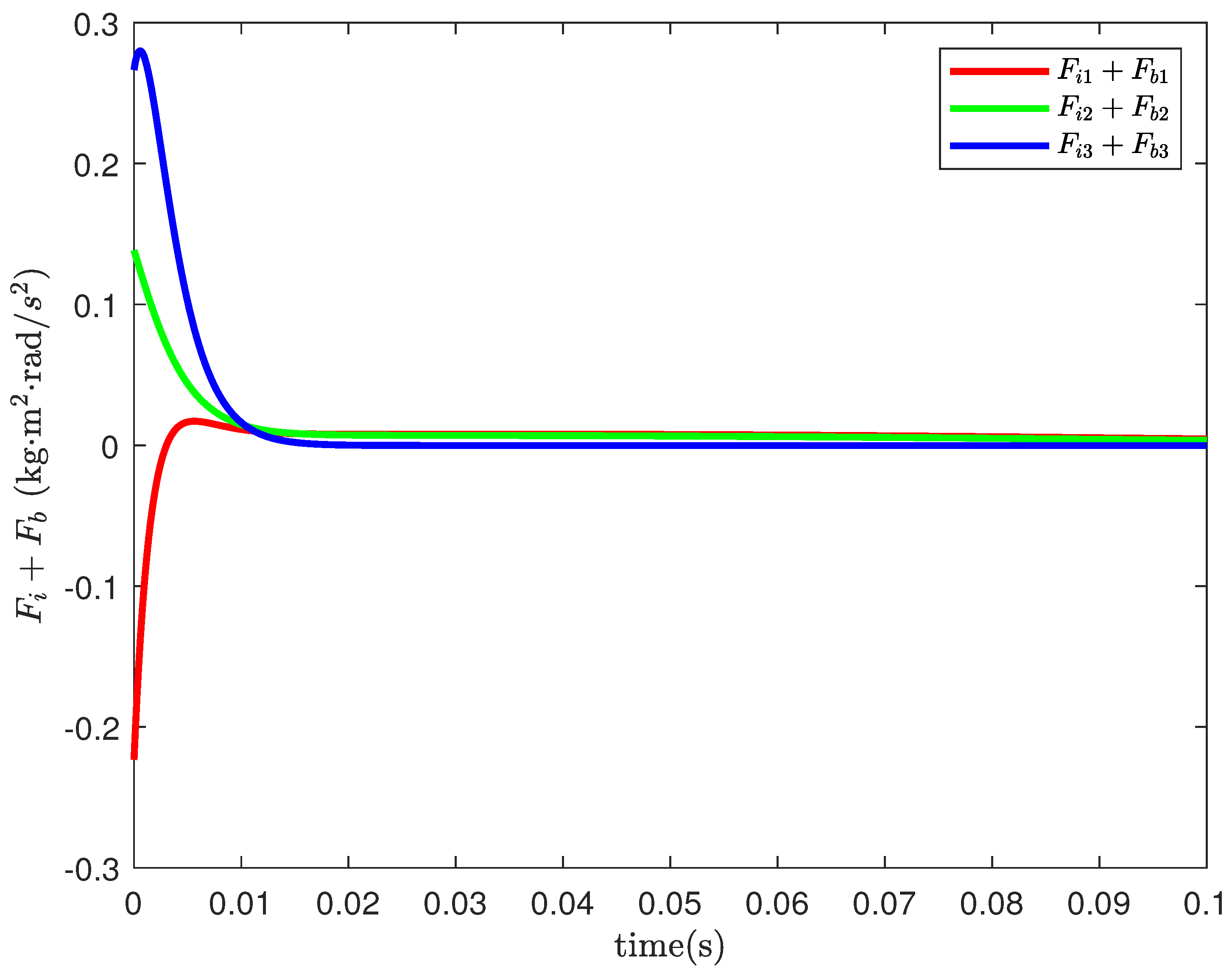
Figure 3 shows the evolution of integral action (solid on the figures) and bias expressed in body frames (dashed on the figures). Similar to that in Figure 1, the integral action F i = k i u i rapidly converges to the opposite of biased term F b l = Q T F b r after a short initial transient (see Figure 4), which illustrates the advantages of integral action in dynamically countering state-dependent biases, rather than just compensating for the effect of steady-state errors.
Figure 5 explains the evolution of Lyapunov function. As the Lyapunov function converges to zero, the values of ϕ and v ˜ (or equivalently v ) are reduced to zero. Furthermore, this fact allows us to conclude that ( Q , ω ) is robustly stabilized to the exact value of targeted equilibrium point ( I , 0 ) while the influence of biases F b r is completely attenuated by the integral action F i .

6. Conclusions

This paper addresses the issues in attitude control of rigid bodies. A geometric PID controller is rigorously defined in so * ( 3 ) to robustly stabilize the configurations of left-invariant dynamical systems evolving on a Lie group S O ( 3 ) , by attenuating the time-varying effects caused by right-invariant biases. The proportional input is justified as a proportion of the gradient of an error function, while the integral action is identified as an time integral of the PD commands. We provided a Lyapunov analysis framework specifically for the resulting geometric PID-controlled system. A gradient-descent Lyapunov function is established by performing two steps of variable change. A criterion for parameter tuning is given by making the Lyapunov function decrease. Along with the decline of the Lyapunov function, the states are almost globally asymptotically stabilized to the desired equilibrium. However, accelerating the convergence speed of the error function that is limited by the value of β = k p / k d requires more effort in further studies. In this paper, we simplified the model by incorporating a feed-forward term to counter the cross product in Euler rotation equation, which in fact, requires accurate knowledge of the inertial matrix. Relaxing this requirement by investigating the possibility of integral action in replacing more or less the role of feed-forward control is worthy of further attention. The results of the present paper have generalized the effectiveness of integral control in suppressing the influence of state-dependent biases. Further improvement of robustness in dealing with velocity-dependent biases is of next interest.

Author Contributions

Conceptualization, Z.Z., B.H. and G.L.; methodology, Z.Z. and G.L.; formal analysis, Z.Z. and G.L.; writing—original draft preparation, Z.Z. and G.L.; simulation, G.L. and Z.Z.; supervision, J.L. and B.H.; funding acquisition, Z.Z. and B.H. All authors have read and agreed to the published version of the manuscript.

Funding

This research was funded in part by the Scientific Research Foundation of Zhejiang University of Science and Technology (F701101K06), in part by Public Welfare Technology Application Research Project of Zhejiang Province (LGF22F030005), and in part by “Pioneer” and “Leading Goose” R&D Program of Zhejiang (2022C04012).

Data Availability Statement

No new data were created or analyzed in this study. Data sharing is not applicable to this article.

Conflicts of Interest

The authors declare no conflict of interest.

References

  1. Wen, J.T.-Y.; Kreutz-Delgado, K. The attitude control problem. IEEE Trans. Autom. Control 1991, 36, 1148–1162. [Google Scholar] [CrossRef]
  2. Su, J.; Cai, K.-Y. Globally stabilizing proportional-integral-derivative control laws for rigid-body attitude tracking. J. Guid. Control Dyn. 2011, 34, 1260–1264. [Google Scholar] [CrossRef]
  3. Chaturvedi, N.A.; Sanyal, A.K.; McClamroch, N.H. Rigid-body attitude control. IEEE Control Syst. Mag. 2011, 31, 30–51. [Google Scholar]
  4. Lee, T. Global exponential attitude tracking controls on SO(3). IEEE Trans. Autom. Control 2015, 60, 2837–2842. [Google Scholar] [CrossRef]
  5. Maithripala, D.S.; Berg, J.M. An intrinsic PID controller for mechanical systems on lie groups. Automatica 2015, 54, 189–200. [Google Scholar] [CrossRef]
  6. Zhang, Z.; Sarlette, A.; Ling, Z. Integral control on Lie groups. Syst. Control Lett. 2015, 80, 9–15. [Google Scholar] [CrossRef]
  7. Lageman, C.; Trumpf, J.; Mahony, R. Gradient-like observers for invariant dynamics on a Lie group. IEEE Trans. Autom. Control 2009, 55, 367–377. [Google Scholar] [CrossRef]
  8. Bonnabel, S.; Martin, P.; Rouchon, P. Non-linear symmetry-preserving observers on Lie groups. IEEE Trans. Autom. Control 2009, 54, 1709–1713. [Google Scholar] [CrossRef]
  9. De Marco, S.; Marconi, L.; Mahony, R.; Hamel, T. Output regulation for systems on matrix lie-groups. Automatica 2018, 87, 8–16. [Google Scholar] [CrossRef]
  10. Sarlette, A.; Bonnabel, S.; Sepulchre, R. Coordinated motion design on Lie groups. IEEE Trans. Autom. Control 2010, 55, 1047–1058. [Google Scholar] [CrossRef]
  11. Sarlette, A.; Sepulchre, R.; Leonard, N.E. Autonomous rigid body attitude synchronization. Automatica 2009, 45, 572–577. [Google Scholar] [CrossRef]
  12. Fiori, S.; Cervigni, I.; Ippoliti, M.; Menotta, C. Extension of a PID control theory to Lie groups applied to synchronising satellites and drones. IET Control Theory Appl. 2020, 14, 2628–2642. [Google Scholar] [CrossRef]
  13. Khosravian, A.; Trumpf, J.; Mahony, R.; Lageman, C. Observers for invariant systems on Lie groups with biased input measurements and homogeneous outputs. Automatica 2015, 55, 19–26. [Google Scholar] [CrossRef][Green Version]
  14. Lee, T. Robust adaptive attitude tracking on SO(3) with an application to a quadrotor uav. IEEE Trans. Control Syst. Technol. 2012, 21, 1924–1930. [Google Scholar]
  15. Bhat, D.S.; Bernstein, D.S. A topological obstruction to continuous global stabilization of rotational motion and the unwinding phenomenon. Syst. Control Lett. 2000, 39, 63–70. [Google Scholar] [CrossRef]
  16. Maithripala, S.P.; Dayawansa, W.P.; Berg, J.M. Intrinsic observer- based stabilization for simple mechanical systems on Lie groups. SIAM J. Control Optim. 2005, 44, 1691–1711. [Google Scholar] [CrossRef]
  17. Kchaou, M.; Jerbi, H. Reliable H and passive fuzzy observer-based sliding mode control for nonlinear descriptor systems subject to actuator failure. Int. J. Fuzzy Syst. 2022, 24, 105–120. [Google Scholar] [CrossRef]
  18. Bullo, F.; Murray, R.M. Tracking for fully actuated mechanical systems: A geometric framework. Automatica 1999, 35, 17–34. [Google Scholar] [CrossRef]
  19. Fiori, S. Extension of PID regulators to dynamical systems on smooth manifolds (M-PID). SIAM J. Control Optim. 2021, 59, 78–102. [Google Scholar] [CrossRef]
  20. Lee, T.; Leok, M.; McClamroch, N.H. Geometric tracking control of a quadrotor uav on SE(3). In Proceedings of the 49th IEEE Conference on Decision and Control (CDC), Atlanta, GA, USA, 15–17 December 2010. [Google Scholar]
  21. Zhang, Z.; Ling, Z.; Sarlette, A. Integral control on nonlinear spaces: Two extensions. In Proceedings of the 10th IFAC Symposium on Nonlinear Control Systems (NOLCOS), Monterey, CA, USA, 23–25 August 2016. [Google Scholar]
  22. Eslamiat, H.; Wang, N.; Hamrah, R.; Sanyal, A.K. Geometric integral attitude control on SO(3). Electronics 2022, 11, 2821. [Google Scholar] [CrossRef]
Figure 1. Evolution of the proportional control F p and the derivative control F d over time.
Figure 1. Evolution of the proportional control F p and the derivative control F d over time.
Electronics 12 04735 g001
Figure 2. Evolution of the proportional-derivative input commands F p + F d over time.
Figure 2. Evolution of the proportional-derivative input commands F p + F d over time.
Electronics 12 04735 g002
Figure 3. Evolution of the integral control F i and the bias F b over time.
Figure 3. Evolution of the integral control F i and the bias F b over time.
Electronics 12 04735 g003
Figure 4. Evolution of the term F i + F b over time.
Figure 4. Evolution of the term F i + F b over time.
Electronics 12 04735 g004
Figure 5. Evolution of the Lyapunov function V over time.
Figure 5. Evolution of the Lyapunov function V over time.
Electronics 12 04735 g005
Disclaimer/Publisher’s Note: The statements, opinions and data contained in all publications are solely those of the individual author(s) and contributor(s) and not of MDPI and/or the editor(s). MDPI and/or the editor(s) disclaim responsibility for any injury to people or property resulting from any ideas, methods, instructions or products referred to in the content.

Share and Cite

MDPI and ACS Style

Zhang, Z.; Liu, G.; Hou, B.; Li, J. Left-Invariant PID Control Almost Globally Stabilizes Rigid-Body Attitudes with Right-Invariant Biases. Electronics 2023, 12, 4735. https://doi.org/10.3390/electronics12234735

AMA Style

Zhang Z, Liu G, Hou B, Li J. Left-Invariant PID Control Almost Globally Stabilizes Rigid-Body Attitudes with Right-Invariant Biases. Electronics. 2023; 12(23):4735. https://doi.org/10.3390/electronics12234735

Chicago/Turabian Style

Zhang, Zhifei, Guowei Liu, Beiping Hou, and Jinrong Li. 2023. "Left-Invariant PID Control Almost Globally Stabilizes Rigid-Body Attitudes with Right-Invariant Biases" Electronics 12, no. 23: 4735. https://doi.org/10.3390/electronics12234735

APA Style

Zhang, Z., Liu, G., Hou, B., & Li, J. (2023). Left-Invariant PID Control Almost Globally Stabilizes Rigid-Body Attitudes with Right-Invariant Biases. Electronics, 12(23), 4735. https://doi.org/10.3390/electronics12234735

Note that from the first issue of 2016, this journal uses article numbers instead of page numbers. See further details here.

Article Metrics

Back to TopTop