Research on Tuning Control Technology for Wireless Power Transfer Systems for Concrete Embedded Sensors
Abstract
:1. Introduction
2. Equivalent Circuit Model
2.1. Dielectric Loss Equivalent Circuit
2.2. Eddy Current Loss Equivalent Resistance
3. Analysis of Magnetic Coupling Characteristics
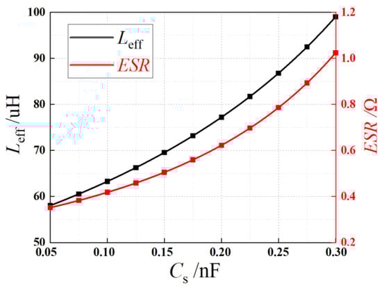
4. Tuning Control Strategy
4.1. Frequency Response Analysis
4.2. Frequency-Modulation Tuning Control Strategy
4.3. Dynamic Compensation Control Strategy
5. Experimental Verification
5.1. Analysis of System Power Transmission Characteristics
5.2. Analysis of System Frequency Characteristics
6. Conclusions
Author Contributions
Funding
Data Availability Statement
Conflicts of Interest
References
- Liao, Z.-J.; Sun, Y.; Ye, Z.-H.; Tang, C.-S.; Wang, P.-Y. Resonant analysis of magnetic coupling wireless power transfer systems. IEEE Trans. Power Electron. 2018, 34, 5513–5523. [Google Scholar] [CrossRef]
- Wang, W.; Zheng, Z.; Zheng, Y.; Tan, K. Wireless power transfer and thermoacoustic generation applied in rail. In Proceedings of the 2018 International Conference on Intelligent Rail Transportation (ICIRT), Singapore, 12–14 December 2018; pp. 1–4. [Google Scholar]
- Geng, Y.; Yang, Z.; Lin, F. Design and control for catenary charged light rail vehicle based on wireless power transfer and hybrid energy storage system. IEEE Trans. Power Electron. 2020, 35, 7894–7903. [Google Scholar] [CrossRef]
- Lee, E.S.; Park, J.-H.; Kim, M.Y.; Han, S.H. Wireless power supply design for precharging circuit of SST in railway vehicles. IEEE Trans. Power Electron. 2021, 36, 9837–9853. [Google Scholar] [CrossRef]
- Luo, Z.; Wei, X. Analysis of square and circular planar spiral coils in wireless power transfer system for electric vehicles. IEEE Trans. Ind. Electron. 2017, 65, 331–341. [Google Scholar] [CrossRef]
- Lee, S.-H.; Kim, J.-H.; Lee, J.-H. Development of a 60 kHz, 180 kW, over 85% efficiency inductive power transfer system for a tram. Energies 2016, 9, 1075. [Google Scholar] [CrossRef]
- Rong, C.; He, X.; Wu, Y.; Qi, Y.; Wang, R.; Sun, Y.; Liu, M. Optimization design of resonance coils with high misalignment tolerance for drone wireless charging based on genetic algorithm. IEEE Trans. Ind. Appl. 2021, 58, 1242–1253. [Google Scholar] [CrossRef]
- Kim, J.; Kim, H.; Kim, D.; Jeong, D.; Ahn, S. Analysis of efficiency according to the design of transmitter coil for wireless power transfer implantable medical device. In Proceedings of the 2020 IEEE wireless power transfer conference (WPTC), Seoul, Republic of Korea, 15–19 November 2020; pp. 312–314. [Google Scholar]
- Roy, S.; Azad, A.W.; Baidya, S.; Alam, M.K.; Khan, F. Powering solutions for biomedical sensors and implants inside the human body: A comprehensive review on energy harvesting units, energy storage, and wireless power transfer techniques. IEEE Trans. Power Electron. 2022, 37, 12237–12263. [Google Scholar] [CrossRef]
- Peng, C.; Chen, Z.; Li, J.; Zhao, Z. A Simple and Reliable Approach to Stabilizing Output Voltage of A Wireless Power Transfer System for Active Implantable Medical Devices. In Proceedings of the 2021 IEEE International Symposium on Antennas and Propagation and USNC-URSI Radio Science Meeting (APS/URSI), Singapore, 4–10 December 2021; pp. 25–26. [Google Scholar]
- Ogihara, M.; Ebihara, T.; Mizutani, K.; Wakatsuki, N. Wireless power and data transfer system for station-based autonomous underwater vehicles. In Proceedings of the OCEANS 2015-MTS/IEEE Washington, Washington, DC, USA, 19–22 October 2015; pp. 1–5. [Google Scholar]
- Guidi, G.; Suul, J.A.; Jenset, F.; Sorfonn, I. Wireless charging for ships: High-power inductive charging for battery electric and plug-in hybrid vessels. IEEE Electrif. Mag. 2017, 5, 22–32. [Google Scholar] [CrossRef]
- Zhou, J.; Li, D.-J.; Chen, Y. Frequency selection of an inductive contactless power transmission system for ocean observing. Ocean Eng. 2013, 60, 175–185. [Google Scholar] [CrossRef]
- Yan, Z.; Song, B.; Zhang, Y.; Zhang, K.; Mao, Z.; Hu, Y. A rotation-free wireless power transfer system with stable output power and efficiency for autonomous underwater vehicles. IEEE Trans. Power Electron. 2018, 34, 4005–4008. [Google Scholar] [CrossRef]
- Cha, H.-K.; Park, W.-T.; Je, M. A CMOS rectifier with a cross-coupled latched comparator for wireless power transfer in biomedical applications. IEEE Trans. Circuits Syst. II Express Briefs 2012, 59, 409–413. [Google Scholar] [CrossRef]
- Kim, J.-M.; Han, M.; Sohn, H. Magnetic resonance-based wireless power transmission through concrete structures. J. Electromagn. Eng. Sci. 2015, 15, 104–110. [Google Scholar] [CrossRef]
- Alam, M.N.; Bhuiyan, R.H.; Dougal, R.A.; Ali, M. Concrete moisture content measurement using interdigitated near-field sensors. IEEE Sens. J. 2010, 10, 1243–1248. [Google Scholar] [CrossRef]
- Jang, Y.; Kim, K.-W.; Park, M.-H.; Lee, N.; Moon, G.-W. A novel structural health monitoring system with wireless power and bi-directional data transfer. In Proceedings of the 2018 International Power Electronics Conference (IPEC-Niigata 2018-ECCE Asia), Niigata, Japan, 20–24 May 2018; pp. 1562–1566. [Google Scholar]
- Lee, S.-H.; Kim, M.-Y.; Lee, B.-S.; Lee, J. Impact of rebar and concrete on power dissipation of wireless power transfer systems. IEEE Trans. Ind. Electron. 2019, 67, 276–287. [Google Scholar] [CrossRef]
- Kurs, A.; Karalis, A.; Moffatt, R.; Joannopoulos, J.D.; Fisher, P.; Soljacic, M. Wireless power transfer via strongly coupled magnetic resonances. Science 2007, 317, 83–86. [Google Scholar] [CrossRef] [PubMed]
- Zhang, F.; Hackworth, S.A.; Fu, W.; Li, C.; Mao, Z.; Sun, M. Relay effect of wireless power transfer using strongly coupled magnetic resonances. IEEE Trans. Magn. 2011, 47, 1478–1481. [Google Scholar] [CrossRef]
- Li, Y.; Jandhyala, V. Design of retrodirective antenna arrays for short-range wireless power transmission. IEEE Trans. Antennas Propag. 2011, 60, 206–211. [Google Scholar] [CrossRef]
- Ettorre, M.; Grbic, A. A transponder-based, nonradiative wireless power transfer. IEEE Antennas Wirel. Propag. Lett. 2012, 11, 1150–1153. [Google Scholar] [CrossRef]
- Bito, J.; Jeong, S.; Tentzeris, M.M. A real-time electrically controlled active matching circuit utilizing genetic algorithms for wireless power transfer to biomedical implants. IEEE Trans. Microw. Theory Tech. 2016, 64, 365–374. [Google Scholar] [CrossRef]
- Nemati, H.M.; Fager, C.; Gustavsson, U.; Jos, R.; Zirath, H. Design of varactor-based tunable matching networks for dynamic load modulation of high power amplifiers. IEEE Trans. Microw. Theory Tech. 2009, 57, 1110–1118. [Google Scholar] [CrossRef]
- Jeong, S.; Lin, T.-H.; Tentzeris, M.M. Range-adaptive impedance matching of wireless power transfer system using a machine learning strategy based on neural networks. In Proceedings of the 2019 IEEE MTT-S International Microwave Symposium (IMS), Boston, MA, USA, 2–7 June 2019; pp. 1423–1425. [Google Scholar]
- James, J.; Boys, J.; Covic, G. A variable inductor based tuning method for ICPT pickups. In Proceedings of the 2005 International Power Engineering Conference, Singapore, 29 November–2 December 2005; pp. 1142–1146. [Google Scholar]
- Wang, Z.; Wang, X.; Zhang, B. A magnetic coupled resonance WPT system design method of double-end impedance converter networks with Class-E amplifier. In Proceedings of the IECON 2015-41st Annual Conference of the IEEE Industrial Electronics Society, Yokohama, Japan, 9–12 November 2015; pp. 003093–003098. [Google Scholar]
- RamRakhyani, A.K.; Mirabbasi, S.; Chiao, M. Design and optimization of resonance-based efficient wireless power delivery systems for biomedical implants. IEEE Trans. Biomed. Circuits Syst. 2010, 5, 48–63. [Google Scholar] [CrossRef] [PubMed]
- Yan, Z.; Zhang, Y.; Kan, T.; Lu, F.; Zhang, K.; Song, B.; Mi, C.C. Frequency optimization of a loosely coupled underwater wireless power transfer system considering eddy current loss. IEEE Trans. Ind. Electron. 2018, 66, 3468–3476. [Google Scholar] [CrossRef]
- Zhang, K.; Zhang, X.; Zhu, Z.; Yan, Z.; Song, B.; Mi, C.C. A New Coil Structure to Reduce Eddy Current Loss of WPT Systems for Underwater Vehicles. IEEE Trans. Veh. Technol. 2019, 68, 245–253. [Google Scholar] [CrossRef]
- Massarini, A.; Kazimierczuk, M.K. Self-capacitance of inductors. IEEE Trans. Power Electron. 1997, 12, 671–676. [Google Scholar] [CrossRef]
- Zhang, K.; Ma, Y.; Yan, Z.; Di, Z.; Song, B.; Hu, A.P. Eddy Current Loss and Detuning Effect of Seawater on Wireless Power Transfer. IEEE J. Emerg. Sel. Top. Power Electron. 2020, 8, 909–917. [Google Scholar] [CrossRef]
- Zhang, M.; Tan, L.; Li, J.; Huang, X. The Charging Control and Efficiency Optimization Strategy for WPT System Based on Secondary Side Controllable Rectifier. IEEE Access 2020, 8, 127993–128004. [Google Scholar] [CrossRef]






















| Research | Dielectric Loss | Eddy Current Loss | Magnetic Permeability | Efficiency Optimization |
|---|---|---|---|---|
| Reference [16] | × | × | √ | × |
| Reference [17] | × | √ | √ | × |
| Reference [19] | √ | √ | √ | × |
| Reference [30] | × | √ | × | √ |
| Reference [31] | × | √ | × | √ |
| This paper | √ | √ | √ | √ |
| Parameter | Value |
|---|---|
| Coil radius/mm | 20 |
| Coil diameter/mm | 2 |
| Coil turns | 10 |
| Excitation voltage size/V | 10 |
| Operating frequency/kHz | 85 |
| Parameter | Value |
|---|---|
| DC voltage source E/V | 12 |
| Initial system frequency f/kHz | 85 |
| The distance between the primary and secondary coil is l/mm. | 100 |
| Load resistance Rload/Ω | 5 |
| Transmitting coil inductance L1/μH | 53.8 |
| Primary compensation capacitor Cp/nF | 65.49 |
| Receiving coil inductance L1/μH | 53.6 |
| Primary compensation capacitor Cp/nF | 65.52 |
| Before Tuning Control | After Tuning Control | |
|---|---|---|
| Primary voltage/V | 3.62 | 3.39 |
| Primary current/A | 0.56 | 0.96 |
| Secondary voltage/V | 2.84 | 3.67 |
| Secondary current/A | 0.53 | 0.71 |
| Output power/W | 1.51 | 2.61 |
| Efficiency | 71.63% | 82.68% |
| Research | Optimization Mode | Control Link | Application Situation | Efficiency Improvement |
|---|---|---|---|---|
| Reference [19] | × | Open loop | Transportation | / |
| Reference [24] | × | Open loop | Underwater equipment | / |
| Reference [32] | Coil optimization | Open loop | Underwater equipment | 10% |
| Reference [33] | Compensating inductance | Open loop | Underwater equipment | 7.3% |
| Reference [34] | Controlled rectification | Closed loop | / | 6.58% |
| This paper | Digital phase-locked loop | Closed loop | Concrete | 11.05% |
Disclaimer/Publisher’s Note: The statements, opinions and data contained in all publications are solely those of the individual author(s) and contributor(s) and not of MDPI and/or the editor(s). MDPI and/or the editor(s) disclaim responsibility for any injury to people or property resulting from any ideas, methods, instructions or products referred to in the content. |
© 2023 by the authors. Licensee MDPI, Basel, Switzerland. This article is an open access article distributed under the terms and conditions of the Creative Commons Attribution (CC BY) license (https://creativecommons.org/licenses/by/4.0/).
Share and Cite
Rong, C.; Wu, Z.; Yan, L.; Chen, M.; Yan, J.; Ren, G.; Xia, C. Research on Tuning Control Technology for Wireless Power Transfer Systems for Concrete Embedded Sensors. Electronics 2023, 12, 3963. https://doi.org/10.3390/electronics12183963
Rong C, Wu Z, Yan L, Chen M, Yan J, Ren G, Xia C. Research on Tuning Control Technology for Wireless Power Transfer Systems for Concrete Embedded Sensors. Electronics. 2023; 12(18):3963. https://doi.org/10.3390/electronics12183963
Chicago/Turabian StyleRong, Cancan, Zhousen Wu, Lihui Yan, Mengmeng Chen, Jiaan Yan, Gang Ren, and Chenyang Xia. 2023. "Research on Tuning Control Technology for Wireless Power Transfer Systems for Concrete Embedded Sensors" Electronics 12, no. 18: 3963. https://doi.org/10.3390/electronics12183963
APA StyleRong, C., Wu, Z., Yan, L., Chen, M., Yan, J., Ren, G., & Xia, C. (2023). Research on Tuning Control Technology for Wireless Power Transfer Systems for Concrete Embedded Sensors. Electronics, 12(18), 3963. https://doi.org/10.3390/electronics12183963

