Real-Time Embedded System-Based Approach for Sensing Power Consumption on Motion Profiles
Abstract
:1. Introduction
- An analysis of the energy consumption of three motion profiles on a linear plant when it has a load and when there is no load.
- A novel approach that allows designing and implementing open-source motion controllers in ARM microcontrollers.
- A methodology for selecting microcontrollers for use in motion control applications according to the project to be developed.
2. Fundamental Analysis of Parabolic, Trapezoidal, and S-Curve Velocity Profiles
2.1. Motion Profiles
2.2. Parabolic Velocity Profile
- Position
- Parabolic Velocity
- Acceleration
2.3. Trapezoidal Motion Velocity
- Position
- Trapezoidal Velocity
- Acceleration
2.4. S-Curve Velocity Profile
3. Materials and Methods
4. Methodology of Implementation
4.1. Selecting an Embedded System
4.2. Embedded Motion Controller Implementation
4.3. Initial Definitions of the Microcontroller Memory Addresses
4.4. Initial Configuration
4.5. Implementation of Motion Profiles
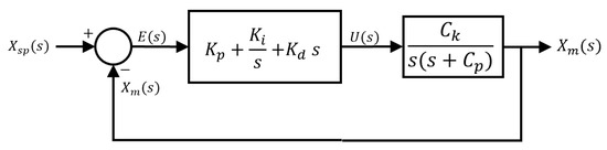
4.6. PID Control Strategy Design
4.7. Implementation of the Control Algorithm
4.8. Timer Ended
5. Experimental Results
5.1. Data Acquisition
5.2. Parabolic Profile without Load
5.3. Trapezoidal Profile without Load
5.4. S-Curve Profile without Load
5.5. Experimentation with Load
6. Conclusions
Author Contributions
Funding
Institutional Review Board Statement
Informed Consent Statement
Acknowledgments
Conflicts of Interest
Abbreviations
| PID | Proportional-Integral-Derivative |
| DC | Direct Current |
| ARM | Advanced RISC Machine |
| ADC | Analog-to-Digital converter |
| PWM | Pulse Width Modulation |
| GPIO | General-Purpose Input/Output |
| GPTM | General-Purpose Timer |
| UART | Universal Asynchronous Receivers/Transmitter |
| QEI | Quadrature Encoder Interface |
| PPR | Pulses per revolution |
Appendix A
| Feature | Description |
|---|---|
| Core | ARM Cortex-M4F |
| Performance | 80-MHz operation |
| Universal Asynchronous Receivers/Transmitter (UART) | 8 Modules |
| General-Purpose Timer (GPTM) | 6–16/32-bit GPTM blocks and six 32/64-bit Wide GPTM blocks |
| General-Purpose Input/Output (GPIO) | 6 physical GPIO blocks |
| Pulse Width Modulator | 2 PWM modules, each with four PWM generator blocks and a control block, for 16 PWM outputs. |
| Quadrature Encoder Interface (QEI) | 2 QEI modules |
| Analog-to-Digital Converter (ADC) | 2–12-bit ADC modules, with a maximum sample rate of one million samples/second |
References
- Wu, Z.; Chen, J.; Bao, T.; Wang, J.; Zhang, L.; Xu, F. A Novel Point-to-Point Trajectory Planning Algorithm for Industrial Robots Based on a Locally Asymmetrical Jerk Motion Profile. Processes 2022, 10, 728. [Google Scholar] [CrossRef]
- Carabin, G.; Scalera, L. On the trajectory planning for energy efficiency in industrial robotic systems. Robotics 2020, 9, 89. [Google Scholar] [CrossRef]
- Boryga, M.; Kołodziej, P.; Gołacki, K. The Use of Asymmetric Polynomial Profiles for Planning a Smooth Trajectory. Appl. Sci. 2022, 12, 12284. [Google Scholar] [CrossRef]
- Wu, G.; Zhang, S. Real-time jerk-minimization trajectory planning of robotic arm based on polynomial curve optimization. Proc. Inst. Mech. Eng. Part C J. Mech. Eng. Sci. 2022, 236, 10852–10864. [Google Scholar] [CrossRef]
- Sang, W.; Sun, N.; Zhang, C.; Qiu, Z.; Fang, Y. Hybrid Time-Energy Optimal Trajectory Planning for Robot Manipulators With Path and Uniform Velocity Constraints. In Proceedings of the 2022 13th Asian Control Conference (ASCC), Jeju, Republic of Korea, 4–7 May 2022; pp. 334–340. [Google Scholar]
- Kröger, T. On-Line Trajectory Generation in Robotic Systems: Basic Concepts for Instantaneous Reactions to Unforeseen (Sensor) Events, 1st ed.; Springer: Berlin/Heidelberg, Germany, 2010; pp. 11–29. [Google Scholar]
- Martínez, J.R.G.; Reséndiz, J.R.; Prado, M.Á.M.; Miguel, E.E.C. Assessment of jerk performance s-curve and trapezoidal velocity profiles. In Proceedings of the 2017 XIII International Engineering Congress (CONIIN), Santiago de Queretaro, Mexico, 15–19 May 2017; pp. 1–7. [Google Scholar]
- Ha, C.W.; Lee, D. Analysis of Embedded Pre-filters in Motion Profiles. IEEE Trans. Ind. Electron. 2017, 65, 1481–1489. [Google Scholar] [CrossRef]
- Mejerbi, M.; Knani, J. Influence of the motion profile on the performance of a flexible arm. In Proceedings of the 2017 International Conference on Control, Automation, and Diagnosis (ICCAD), Hammamet, Tunisia, 19–21 January 2017; pp. 76–81. [Google Scholar]
- Alpers, B. On Fast Jerk-Continuous Motion Functions with Higher-Order Kinematic Restrictions for Online Trajectory Generation. Robotics 2022, 11, 73. [Google Scholar] [CrossRef]
- Nguyen, K.D.; Chen, I.M.; Ng, T.C. Planning algorithms for s-curve trajectories. In Proceedings of the 2007 IEEE/ASME International Conference on Advanced Intelligent Mechatronics, Zurich, Switzerland, 4–7 September 2007; pp. 1–6. [Google Scholar]
- Lee, D.; Ha, C.W. Optimization process for polynomial motion profiles to achieve fast movement with low vibration. IEEE Trans. Control Syst. Technol. 2020, 28, 1892–1901. [Google Scholar] [CrossRef]
- Nam, N.Q. Characteristics of S-curve motion profile for all ranges of motion length and limits. In Proceedings of the 2020 International Conference on Advanced Mechatronic Systems (ICAMechS), Hanoi, Vietnam, 10–13 December 2020; pp. 214–220. [Google Scholar]
- Rubio, F.; Lopis-Albert, C.; Valero, F.; Suñer, J.L. Industrial robot efficient trajectory generation without collision through the evolution of the optimal trajectory. Robot. Auton. Syst. 2016, 86, 106–112. [Google Scholar] [CrossRef]
- Van Oosterwyck, N.; Vanbecelaere, F.; Knaepkens, F.; Monte, M.; Stockman, K.; Cuyt, A.; Derammelaere, S. Energy Optimal Point-to-Point Motion Profile Optimization. Mech. Based Des. Struct. Mach. 2022, 1–18. [Google Scholar] [CrossRef]
- Chamraz, Š.; Balogh, R. Optimal structure for the trajectory controller. In Proceedings of the 2016 Cybernetics &Informatics (K&I), Levoca, Slovakia, 2–5 February 2016; pp. 1–5. [Google Scholar]
- Al-khayyt, S.Z. Comparison between fuzzy logic-based controllers for robot manipulator trajectory tracking. In Proceedings of the 2012 First National Conference for Engineering Sciences (FNCES), Baghdad, Iraq, 7–8 November 2012; pp. 1–6. [Google Scholar]
- Lin, C.Y. Neural network adaptive control and repetitive control for high-performance precision motion control. In Proceedings of the SICE Annual Conference 2010, Taipei, Taiwan, 18–21 August 2010; pp. 2843–2844. [Google Scholar]
- Biagiotti, L.; Melchiorri, C. Optimization of generalized S-curve trajectories for residual vibration suppression and compliance with kinematic bounds. IEEE/ASME Trans. Mechatronics 2020, 26, 2724–2734. [Google Scholar] [CrossRef]
- Rymansaib, Z.; Iravani, P.; Sahinkaya, M.N. Exponential trajectory generation for point to point motions. In Proceedings of the 2013 IEEE/ASME International Conference on Advanced Intelligent Mechatronics, Wollongong, NSW, Australia, 9–12 July 2013; pp. 906–911. [Google Scholar]
- Scalera, L.; Carabin, G.; Vidoni, R.; Gasparetto, A. Minimum-energy trajectory planning for industrial robotic applications: Analytical model and experimental results. In Advances in Service and Industrial Robotics: Results of RAAD; Zeghloul, S., Laribi, M.A., Arevalo, J.S.S., Eds.; Springer International Publishing: Cham, Switzerland, 2020; pp. 334–342. [Google Scholar]
- Gasparetto, A.; Boscariol, P.; Lanzutti, A.; Vidoni, R. Path planning and trajectory planning algorithms: A general overview. In Motion and Operation Planning of Robotic Systems: Background and Practical Approaches; Carbone, G., Gomez-Bravo, F., Eds.; Springer International Publishing: Switzerland, 2015; pp. 3–27. [Google Scholar]
- Fang, Y.; Hu, J.; Liu, W.; Shao, Q.; Qi, J.; Peng, Y. Smooth and time-optimal S-curve trajectory planning for automated robots and machines. Mech. Mach. Theory 2019, 137, 127–153. [Google Scholar] [CrossRef]
- Alpers, B. On Fast Jerk–, Acceleration– and Velocity–Restricted Motion Functions for Online Trajectory Generation. Robotics 2021, 10, 25. [Google Scholar] [CrossRef]
- Wang, H.; Wang, H.; Huang, J.; Zhao, B.; Quan, L. Smooth point-to-point trajectory planning for industrial robots with kinematical constraints based on a high-order polynomial curve. Mech. Mach. Theory 2019, 139, 284–293. [Google Scholar] [CrossRef]
- Carabin, G.; Wehrle, E.; Vidoni, R. A Review on Energy-Saving Optimization Methods for Robotic and Automatic Systems. Robotics 2017, 6, 39. [Google Scholar] [CrossRef]
- Assad, F.; Rushforth, E.; Ahmad, B.; Harrison, R. An Approach of Optimising S-curve Trajectory for a Better Energy Consumption. In Proceedings of the 2018 IEEE 14th International Conference on Automation Science and Engineering (CASE), Munich, Germany, 20–24 August 2018; pp. 98–103. [Google Scholar]
- Montalvo, V.; Estévez-Bén, A.A.; Rodríguez-Reséndiz, J.; Macias-Bobadilla, G.; Mendiola-Santíbañez, J.D.; Camarillo-Gómez, K.A. FPGA-Based Architecture for Sensing Power Consumption on Parabolic and Trapezoidal Motion Profiles. Electronics 2020, 9, 1301. [Google Scholar] [CrossRef]
- Carabin, G.; Vidoni, R. Energy-saving optimization method for point-to-point trajectories planned via standard primitives in 1-DoF mechatronic systems. Int. J. Adv. Manuf. Technol. 2021, 116, 331–344. [Google Scholar] [CrossRef]
- Hosseini, S.; Hahn, I. Energy-efficient motion planning for electrical drives. In Proceedings of the 2018 IEEE Electrical Power and Energy Conference (EPEC), Toronto, ON, Canada, 10–11 October 2018; pp. 1–7. [Google Scholar]
- Nshama, E.W.; Msukwa, M.R.; Uchiyama, N. A trade-off between energy saving and cycle time reduction by Pareto optimal corner smoothing in industrial feed drive systems. IEEE Access 2021, 9, 23579–23594. [Google Scholar] [CrossRef]
- Halinga, M.S.; Nyobuya, H.J.; Uchiyama, N. Generation of Time and Energy Optimal Coverage Motion for Industrial Machines Using a Modified S-Curve Trajectory. In Proceedings of the 2023 IEEE/SICE International Symposium on System Integration (SII), Atlanta, GA, USA, 17–20 January 2023; pp. 1–6. [Google Scholar]
- Biagiotti, L.; Melchiorri, C. Trajectory Planning for Automatic Machines and Robots, 1st ed.; Springer: Berlin/Heidelberg, Germany, 2008; pp. 1–13. [Google Scholar]
- Ali, S.A.; Annuar, K.A.M.; Miskon, M.F. Trajectory planning for exoskeleton robot by using cubic and quintic polynomial equation. Int. J. Appl. Eng. Res. 2016, 11, 7943–7946. [Google Scholar]
- Moritz, F.G. Electromechanical Motion Systems: Design and Simulation, 1st ed.; John Wiley & Sons: West Sussex, UK, 2014; pp. 167–194. [Google Scholar]
- Heo, H.-J.; Son, Y.; Kim, J.-M. A Trapezoidal Velocity Profile Generator for Position Control Using a Feedback Strategy. Energies 2019, 12, 1222. [Google Scholar] [CrossRef]
- García-Martínez, J.R.; Cruz-Miguel, E.E.; Carrillo-Serrano, R.V.; Mendoza-Mondragón, F.; Toledano-Ayala, M.; Rodríguez-Reséndiz, J. A PID-type fuzzy logic controller-based approach for motion control applications. Sensors 2020, 20, 5323. [Google Scholar] [CrossRef]
- Dini, P.; Saponara, S. Processor-in-the-loop validation of a gradient descent-based model predictive control for assisted driving and obstacles avoidance applications. IEEE Access 2022, 10, 67958–67975. [Google Scholar] [CrossRef]
- Dini, P.; Ariaudo, G.; Botto, G.; La Greca, F.; Saponara, S. Real-time electro-thermal modelling & predictive control design of resonant power converter in full electric vehicle applications. IET Power Electron. 2023, 16, 2045–2064. [Google Scholar]
- Bernardeschi, C.; Dini, P.; Domenici, A.; Palmieri, M.; Saponara, S. Formal verification and co-simulation in the design of a synchronous motor control algorithm. Energies 2020, 13, 4057. [Google Scholar] [CrossRef]
- Dini, P.; Saponara, S. Design of adaptive controller exploiting learning concepts applied to a BLDC-based drive system. Energies 2020, 13, 2512. [Google Scholar] [CrossRef]




























| Step Size () | Euler Method | Trapezoidal Method | Runge–Kutta Method |
|---|---|---|---|
| s | s | s | s |
| s | s | s | s |
| s | s | s | s |
| s | s | s | s |
| Geometrical Parameters | Dimensions |
|---|---|
| Total length of the plant | m |
| Plant width | m |
| Carriage shaft | m |
| Rail linear guides | m |
| Round shaft linear guides | m |
| Coupling shaft flexible | m |
| Bearing balls | m × m × m |
| Parameter | Value |
|---|---|
| Final position () | m |
| Total time for displacement (T) | 4 s |
| Maximum velocity () | |
| Maximum acceleration () | 0.3 |
| Parameter | Value |
|---|---|
| Final position () | m |
| Total time for displacement (T) | 4 s |
| Acceleration Time () | s |
| Maximum velocity () | |
| Maximum acceleration () |
| Parameter | Value |
|---|---|
| Final position () | m |
| Total time for displacement (T) | 4 s |
| Time factor for acceleration () | |
| Time factor for jerk phase () | |
| Acceleration Time () | s |
| Jerk pulse width () | s |
| Maximum velocity () | |
| Maximum acceleration () | |
| Maximum jerk () |
| Distance () | Parabolic Profile | Trapezoidal Profile | S-Curve Profile |
|---|---|---|---|
| 80 m | s | s | s |
| Motion Profile | Energy (without Load) | Energy (with Load) |
|---|---|---|
| Parabolic | 23.7044 J | 23.845 J |
| Trapezoidal | 25.9644 J | 26.7616 J |
| S-curve | 26.9525 J | 30.6456 J |
Disclaimer/Publisher’s Note: The statements, opinions and data contained in all publications are solely those of the individual author(s) and contributor(s) and not of MDPI and/or the editor(s). MDPI and/or the editor(s) disclaim responsibility for any injury to people or property resulting from any ideas, methods, instructions or products referred to in the content. |
© 2023 by the authors. Licensee MDPI, Basel, Switzerland. This article is an open access article distributed under the terms and conditions of the Creative Commons Attribution (CC BY) license (https://creativecommons.org/licenses/by/4.0/).
Share and Cite
Olmedo-García, L.F.; García-Martínez, J.R.; Cruz-Miguel, E.E.; Barra-Vázquez, O.A.; Gónzalez-Lee, M.; Martínez-Sánchez, T. Real-Time Embedded System-Based Approach for Sensing Power Consumption on Motion Profiles. Electronics 2023, 12, 3853. https://doi.org/10.3390/electronics12183853
Olmedo-García LF, García-Martínez JR, Cruz-Miguel EE, Barra-Vázquez OA, Gónzalez-Lee M, Martínez-Sánchez T. Real-Time Embedded System-Based Approach for Sensing Power Consumption on Motion Profiles. Electronics. 2023; 12(18):3853. https://doi.org/10.3390/electronics12183853
Chicago/Turabian StyleOlmedo-García, Luis F., José R. García-Martínez, Edson E. Cruz-Miguel, Omar A. Barra-Vázquez, Mario Gónzalez-Lee, and Trinidad Martínez-Sánchez. 2023. "Real-Time Embedded System-Based Approach for Sensing Power Consumption on Motion Profiles" Electronics 12, no. 18: 3853. https://doi.org/10.3390/electronics12183853
APA StyleOlmedo-García, L. F., García-Martínez, J. R., Cruz-Miguel, E. E., Barra-Vázquez, O. A., Gónzalez-Lee, M., & Martínez-Sánchez, T. (2023). Real-Time Embedded System-Based Approach for Sensing Power Consumption on Motion Profiles. Electronics, 12(18), 3853. https://doi.org/10.3390/electronics12183853

