Next Article in Journal
An Innovative Design of Isoflux Scanning Digital Phased Array Based on Completely Shared Subarray Architecture for Geostationary Satellites
Previous Article in Journal
Nonlinear Multi-Object Differential Game Simulation Model in LabVIEW
 
 
Font Type:
Arial Georgia Verdana
Font Size:
Aa Aa Aa
Line Spacing:
Column Width:
Background:
Article

W-Band Broadband Circularly Polarized Reflectarray Antenna

1
Aerospace Information Research Institute, Chinese Academy of Sciences, Beijing 100190, China
2
The School of Electronic, Electrical and Communication Engineering, University of Chinese Academy of Sciences, Beijing 100408, China
*
Author to whom correspondence should be addressed.
Electronics 2023, 12(18), 3849; https://doi.org/10.3390/electronics12183849
Submission received: 12 July 2023 / Revised: 18 August 2023 / Accepted: 7 September 2023 / Published: 12 September 2023
(This article belongs to the Topic Antennas)

Abstract

:
We propose a W-band circularly polarized reflectarray antenna in this article, which contains a single-layer reflectarray and a linearly polarized horn feed. To realize the proposed antenna, we designed a novel W-band multi-resonant element containing a Rogers RT5880 substrate with copper patches printed on its both surfaces. Then, a circular reflectarray with 12.25 λ0 (39.1 mm) aperture diameter was designed based on the proposed multi-resonant element, whose center frequency is 94 GHz. We further fabricated the proposed circular reflectarray and tested its performance. In the measured results, we can see that the obtained 1 dB gain bandwidth is 19.1% (91~109 GHz) and the obtained 2 dB gain bandwidth can reach as wide as 27.6% (89~115 GHz). Moreover, the 3 dB axial ratio bandwidth is 13.8% (89~102 GHz). The measured gain of our proposed reflectarray antenna at 94 GHz is 29.1 dBi and the corresponding aperture efficiency can reach as high as 52.0%. Those results show that our proposed antenna may be prospective in wireless communication applications due to its strengths in broadband and high aperture efficiency.

1. Introduction

In the 1960s, Berry et al. firstly proposed the concept of the reflectarray antenna [1]. However, due to the large volume and heavy weight, the reflectarray antenna at that time was not highly valued. This was until the 1970s, with the development of printed circuit board (PCB) technology, when scholars began to use printed microstrip elements produced by PCB technology to design reflectarray antennas. In 1978, C.S. Malagisi firstly proposed the use of microstrip patch elements as phase modulation units for reflectarray antennas, which have advantages such as light weight, low profile, and easy conformability [2]. In 1987, R.E. Munson applied for a US patent for a microstrip reflectarray antenna, which gave rise to the concept of the microstrip reflectarray antenna (RA) [3].
RAs, as substitutes for traditional reflectors, have received widespread attention in recent years. Many studies have investigated the design of circularly polarized reflectarrays [4,5,6,7,8,9,10,11,12,13,14,15,16,17,18,19]. The advantages of circularly polarized electromagnetic waves include the ability to overcome multipath effects and the interference of rain and fog and to solve polarization matching problems. Therefore, circularly polarized antennas are widely used in deep space exploration, remote sensing and telemetry, satellite communication, and other fields.
According to the type of feed, circularly polarized reflectarray antennas (CPRAs) can be divided into two categories: CPRAs with circularly polarized (CP) feeds or with linearly polarized (LP) feeds. CPRAs with CP feeds are mostly based on rotating elements [4,5,6,7,8], and the required phase compensation is obtained by changing the rotation angle of the rotating elements. However, as the frequency of electromagnetic waves increases, especially when working in the millimeter wave, terahertz, or higher bands, the difficulty in designing and processing CP feeds increases sharply. Therefore, scholars have begun to study CPRAs with LP feeds. Multiple types of elements have been reported for CPRAs with LP feeds, including square patch and cross slot dual-layer elements [9], dual-layer rectangular patch elements [10], dual-layer T-shaped elements [11], split square ring elements [12], dual-layer Jerusalem-shaped elements [13], and double-layered elliptical microstrip patch elements [14].
The state of the art on CPRAs has made significant steps in recent years, such as dual-band CPRAs [15,16,17], circularly polarized reflect-transmit-array antennas [18], and beam-scanning CPRAs [19]. However, due to the high machining accuracy required for W-band RAs, there are only a few studies on W-band CPRAs, and most of them remain in the simulation stage without fabrication and measurement. Therefore, the study of W-band CPRAs is of great significance.
In our study, a W-band single-layer broadband circularly polarized reflectarray antenna was proposed, which contains a low-profile reflectarray and a linearly polarized horn antenna. Firstly, we designed and analyzed a single-layer multi-resonant element for our proposed CPRA, including a Rogers RT5880 substrate with copper patches printed on both its surfaces. The simulation results showed that elements can independently control the reflected wave phase in two orthogonal directions by changing the corresponding parameters and can achieve a smooth phase shift range of over 360° in both orthogonal directions. Then, we designed and manufactured a planar circular reflectarray consisting of 437 elements and further verified of our proposed element.

2. The Design of the Reflectarray Element

The reflectarray of CPRAs with an LP feed needs the ability to convert LP incident waves into CP reflected waves. Based on electromagnetic theory, CP waves are composed of two spatially orthogonal LP waves with equal amplitudes and phase differences of π/2. Therefore, the designed reflectarray should be able to generate different reflective phases for LP incident waves in two orthogonal directions to obtain a 90° phase difference between the two orthogonal parts of the reflected wave to obtain CP waves. Meanwhile, each reflectarray element is necessary to bring the appropriate reflective phase to compensate the spatial phase delay, so as to imitate the ability of the traditional reflector.
Among the basic structures of reflectarray elements, the dipole has the ability to change the reflective phase of the LP incident wave in the corresponding direction by adjusting the length, while almost having no effect on the reflective phase of the LP incident wave in its orthogonal direction. Meanwhile, the structure of the dipole is simple, small, and easy to integrate into multi-resonant structures. Thus, the dipole has advantages in the high-precision processing of W-band antennas. The combination of dipoles can be used to design W-band circularly polarized reflectarray elements.
As shown in Figure 1, a reflectarray element is formed by four dipoles. The lx and ly can be independently changed, so the element is not a completely symmetrical structure. The substrate material is Rogers RT5880, with a thickness of 0.508 mm.
The simulation results of this element, where the incident wave is an LP wave in the X direction, are shown in Figure 2. It can be seen that for an LP incident wave paralleled to the X axis, the phase shift of the reflected wave is more sensitive to the changes in the parameter lx, while the change in the parameter ly has little effect on its reflective phase. We can assume that the reflective phase of the LP incident wave paralleled to the X axis is only determined by lx. Similarly, the reflective phase of the LP incident wave paralleled to the Y axis is only determined by ly. Therefore, the reflective phases of the LP incident waves paralleled to the X axis or Y axis can be independently obtained by changing the values of lx or ly.
However, this single-resonant element cannot meet the demands of designing RAs because its reflective phase shift range is only about 250°. To change the resonance characteristic of the element, four additional dipoles were added into our proposed element to obtain a single-layer multi-resonant element.
Figure 3 shows the structure of our proposed single-layer multi-resonant element. It contains a dielectric substrate (Rogers RT5880, blue part) with metal patches (copper, orange parts) printed on its both surfaces. To show three typical resonant forms of the element more intuitively, the simulated surface current distributions of the multi-resonant element with Eix at three different frequency points are shown in Figure 4. When the frequency is 84 GHz, the surface current of the outer dipole is strong, while the inner dipole is weak. When the frequency is 94 GHz, the surface current distribution intensity of the inner and outer dipoles is equivalent. When the frequency is 104 GHz, the surface current of the outer dipole is weak, while the inner dipole is strong. We can see the variation in surface current distributions with different frequencies. As the frequency increases, the surface current of the outer dipole gradually decreases, while the surface current of the inner dipole gradually increases.
In the realization of reflectarrays, element spacing is an important factor. Too large element spacing will lead to the generation of grid lobes in the antenna pattern. We can use Equation (1) to calculate the proper element spacing p so as to avoid this problem [20]:
p λ 0 1 + sin θ
where λ0 is the electromagnetic wave length at the center frequency and θ is the maximum angle of incidence from the feed.
With the center frequency of 94 GHz, considering the limitation in the range of phase shift and practical manufacture, we chose an element spacing of 0.53 λ0. Therefore, the parameter p is 1.7 mm.
Microstrip reflectarrays are fabricated by PCB technology. The minimum line spacing is an important limiting factor in the process of PCB technology. In addition, the thicknesses of the boards used in the fabrication process have some fixed standards. We chose a substrate with a thickness of 0.508 mm. Then, we proposed a coefficient k, where d2 is equal to k × d, l1 is equal to k × lx, and l2 is equal to k × ly, and further optimized the structure parameters by using simulation software. To design the reflectarray elements, two requirements should be met. Firstly, the phase shift range of the element needs to exceed 360°. Moreover, the phase shift curve needs to be flat and have good linearity, which can effectively expand the bandwidth of the antenna. In our proposed element, the parameter k is a significant structure parameter because it can affect the coupling between the outer and inner dipoles. The parameter k could affect the distance and strength of the resonance points of the proposed element. With a decrease in parameter k, the distance between the inner and outer dipoles increases, so that the coupling effect weakens. It also leads to the increase in the spacing between resonance points and the decrease in intensity of the resonance points. The parameter w is the width of each dipole and it also has a significant impact on the reflection performance of the element. With a decrease in parameter w, the dipoles become thinner, so that the position of each resonance point moves towards the right in the coordinate axis. Meanwhile, the strength of resonance points increases, but the distance between the resonance points does not change much. The parameter d has little effect on the position of the resonance point, it only slightly affects the strength of the resonance point. However, if the parameter d is too small, it will affect the allowable size range of lx or ly. If the parameter d is too large, it will exacerbate the coupling between the adjacent elements, resulting in a change in the actual reflection phase shift of the element and further causing the decreased gain of the antenna. Therefore, in the design of multi-resonant broadband reflectarray elements, the selection of the parameter d should be moderate. We can see the optimized parameters of the single-layer multi-resonant element in Table 1.
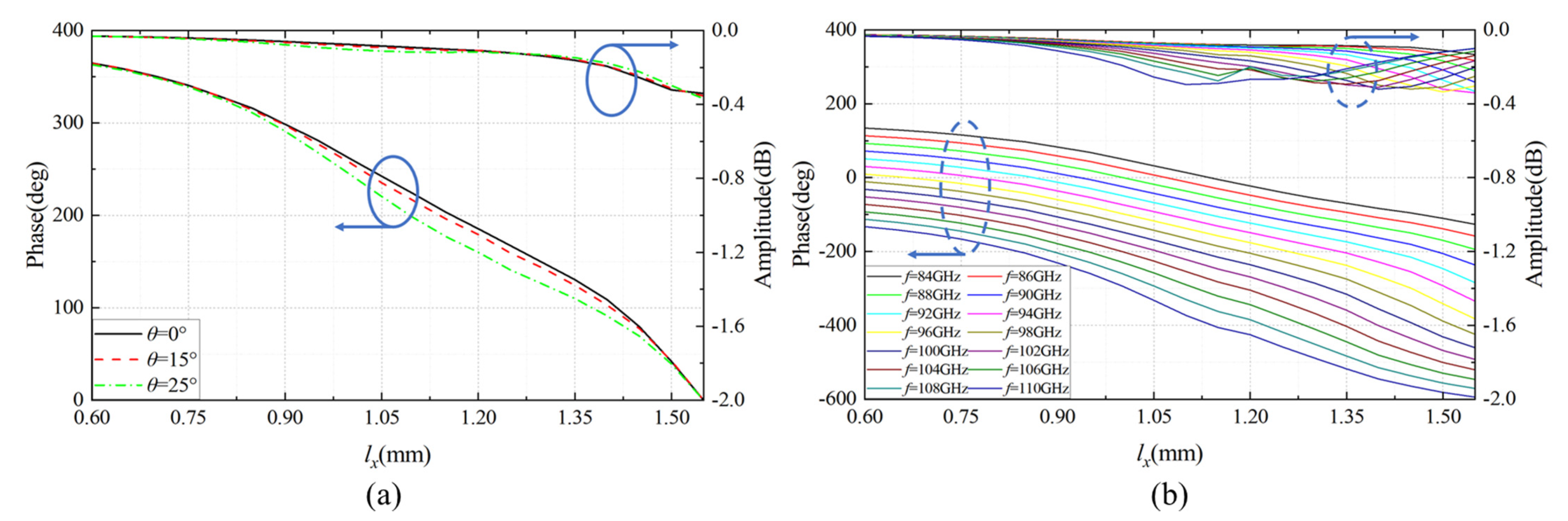
The master–slave boundary method with Floquet port excitations is a commonly used method to build and simulate the reflectarray element. Figure 5 shows the reflective phase shift performance of the proposed reflectarray element with Eix. It can be seen that for incident waves paralleled to the X axis, the phase shift of the reflected wave is more sensitive to the changes in the parameter lx, while the change in the parameter ly has little effect on its reflective phase. As shown in Figure 6a, when ly is 1 mm and lx varies from 0.600 to 1.532 mm, at the center frequency of 94 GHz, the phase shift range of the reflected wave is larger than 360° and the amplitude is larger than −0.34 dB. The frequency sweep results ranging from 84 to 110 GHz are shown in Figure 6b. We can see that when the frequency changes, the reflection characteristics of the element also change. The reflection phase shift range of the element is positively correlated with the frequency. As the frequency decreases, the reflection phase shift curve tends to be flat and the reflection phase shift range decreases. Conversely, the reflection phase shift range increases. However, the whole change is not significant and the reflection phase shift curves are approximately parallel. It means that, within a relatively wide frequency band, the element can provide a reflection phase shift that is not significantly different from that required. Our proposed element has good broadband performance due to its approximately identical phase compensation characteristic at different frequencies.

3. The Design and Realization of RA

Choosing optimum phase distribution in the reflectarray aperture is the key to obtaining an RA with high gain and aperture efficiency. We can use Equation (2) to obtain the optimum value of required phase ϕ i of each element in the coordinate plane across the reflectarray:
ϕ i = k ( R i r i × r 0 ^ ) + ϕ 0
where k is the wavenumber, Ri is the distance between the phase center and the ith element, r i is the position vector of the ith element, r ^ 0 is the unit vector in the main beam direction, and ϕ 0 is the relative phase [21].
To design the aperture phase distribution, firstly, we should choose the proper focal distance F and aperture size D. The focus-to-diameter ratio (F/D) is a key factor to obtain a higher aperture efficiency of the RA. In our research, the feed we chose is a horn antenna with a 17 dBi gain at the center frequency of 94 GHz. Based on reflectarray theory, spillover efficiency ηs and illumination efficiency ηi are the most important factors affecting the value of aperture efficiency ηa. And the increased F/D value leads to lower spillover efficiency ηs and higher illumination efficiency ηi [22]. Therefore, the proper F/D value can be chosen as 1.116, which means that the maximum angle of incidence from the feed is about 24.13°, as shown in Figure 7. To ensure a sufficiently high gain of the antenna, we chose the planar circular reflectarray containing 437 elements; thus, the aperture diameter D is 12.25 λ0 (39.1 mm) and the focal distance F is 47.43 mm.
After determining the F/D value, the optimum required phases of each element in the coordinate plane across the reflectarray can be calculated by Equation (2). The required compensation phases of the X-direction incident wave differ by 90° from the Y-direction incident wave, as shown in Figure 8, because the reflectarray needs the ability to convert LP incident waves into CP reflected waves.
Then, we simulated, fabricated, and tested our proposed RA. To test the gain performance of RAs, a far-field measurement system with a 1 GHz frequency resolution was used. As shown in Figure 9a, the reflectarray and the feed horn are fixed by the plastic bracket and then connected to the frequency multiplier and the vector network analyzer.
Figure 10 shows a good consistency between the simulated and measured results at the three different frequency points. We can see that, at the center frequency of 94 GHz, the value of the measured side-lobe in the E plane is as low as −16.2 dB and in the H plane it is −15.7 dB, and the value of measured cross-polarization is as low as −17.4 dB. Moreover, the maximum measured side-lobe is −14.5 dB in the H plane at 89 GHz. The larger connecting flange and the occlusion by metal waveguides are significant reasons leading to the differences between the radiation patterns of simulated and fabricated RAs.
Moreover, Figure 11 shows the result of the axial ratio and antenna gain of our proposed RA. At 94 GHz, the measured gain reached 29.1 dBi and the corresponding aperture efficiency reached 52.0%. The 1 dB gain bandwidths and 2 dB gain bandwidths of the designed RA are 19.1% and 27.6%, respectively. The 3 dB axial ratio bandwidth is 13.8%, ranging from 89 GHz to 102 GHz. We found that the small differences between the antenna gain and axial ratio of our proposed RA may be caused by the feed blocking and the discrepancies between the fabricated and simulated reflectarrays. The PCB process used in our proposed reflectarray has a fabrication tolerance of −0.006~0 mm. Under the condition of a manufacturing error of −0.006 mm, the average phase compensation error of the element is 2.30° and the max error is about 5.04°. Due to the phase compensation errors, the gain of the RA will decrease and the axial ratio will also change.
A comparison between our work and related RAs in the W-band or higher bands is shown in Table 2. Our proposed CPRA converts the LP wave emitted by the feed into the CP wave. The incident of our feed is at a 45° angle to the coordinate axis. The incident wave is divided into two orthogonal components and then converted into a CP wave by changing the phase difference between the two components. Therefore, this type of CPRA has a gain 1.5 dBi lower than the LPRA with same aperture and feed, and the aperture efficiency is correspondingly much lower. Moreover, due to the high machining accuracy required for W-band RAs, there are a few studies about W-band CPRAs, and most of them remain in the simulation stage without fabrication and measurement. Considering this characteristic, our proposed CPRA has undergone processing and measuring. It has advantages in the comprehensive performance of the polarization mode, aperture efficiency, and bandwidth.

4. Conclusions

In this article, a W-band circularly polarized reflectarray antenna is proposed. This antenna is composed of a single-layer planar reflectarray fed with a linearly polarized horn antenna. The single-layer planar reflectarray has a 39.1 mm diameter circular aperture containing 437 elements. And we further fabricated and tested it to verify its performance. Our measurement results indicate that the measured peak gain of our proposed RA can reach 29.1 dBi and the corresponding aperture efficiency is 52.0%. The 1 dB gain bandwidth and the 2 dB gain bandwidth are as wide as 19.3% (91–109 GHz) and 27.6% (89–115 GHz), respectively, and the 3 dB axial ratio bandwidth is 13.8% (89~102 GHz). These results show that our proposed antenna may be prospective in wireless communication applications due to its strengths in broadband and high aperture efficiency.

Author Contributions

Conceptualization, Z.W.; methodology, Z.W. and W.S.; validation, Z.W.; writing—original draft preparation, Z.W.; writing—review, R.Z, W.S., B.X., X.L., H.L. and L.T.; supervision, R.Z.; funding acquisition, R.Z. All authors have read and agreed to the published version of the manuscript.

Funding

This research was funded by the National Magnetic Confinement Fusion Energy Research and Development Program of China, grant number 2018YFE0305100.

Data Availability Statement

All data have been included in the paper.

Conflicts of Interest

The authors declare no conflict of interest.

References

  1. Berry, D.; Malech, R.; Kennedy, W. The reflectarray antenna. IEEE Trans. Antennas Propag. 1963, AP-11, 645–651. [Google Scholar] [CrossRef]
  2. Malagisi, C.S. Microstrip disc element reflectarray. Electron. Aerosp. Syst. Conv. 1978, 12, 186–192. [Google Scholar]
  3. Munson, R.E.; Haddad, H.; Hanlen, J. Microstrip Reflectarray Antenna for Satellite Communication and RCS Enhancement or Reduction. U.S. Patent 4684952, 4 August 1987. [Google Scholar]
  4. Strassner, B.; Han, C.; Chang, K. Circularly polarized reflectarray with microstrip ring elements having variable rotation angles. IEEE Trans. Antennas Propag. 2004, 52, 1122–1125. [Google Scholar] [CrossRef]
  5. Han, C.; Chang, K. Ka-band reflectarray using ring elements. Electron. Lett. 2003, 39, 491–493. [Google Scholar] [CrossRef]
  6. Yu, A.; Yang, F.; Elsherbeni, A.Z.; Huang, J. An X-band circularly polarized reflectarray using split square ring elements and the modified element rotation technique. In Proceedings of the 2008 IEEE Antennas and Propagation Society International Symposium, San Diego, CA, USA, 5–11 July 2008; pp. 1–4. [Google Scholar]
  7. Yu, A.; Yang, F.; Elsherbeni, A.Z.; Huang, J. Design and measure-ment of a circularly polarized Ka-band reflectarray antenna. In Proceedings of the 2009 3rd European Conference on Antennas and Propagation, Berlin, Germany, 23–27 March 2009; pp. 2769–2773. [Google Scholar]
  8. Zhao, M.-Y.; Zhang, G.-Q.; Lei, X.; Wu, J.-M.; Shang, J.-Y. Design of new single-layer multiple-resonance broadband circularly polarized reflectarrays. IEEE Antennas Wirel. Propag. Lett. 2013, 12, 356–359. [Google Scholar] [CrossRef]
  9. Chaharmir, M.R.; Shaker, J.; Cuhaci, M.; Sebak, A. Circularly polarised reflectarray with cross-slot of varying arms on ground plane. Electron. Lett. 2002, 38, 1492–1493. [Google Scholar] [CrossRef]
  10. Wu, Z.H.; Zhang, W.X.; Liu, Z.G.; Shen, W. Circularly polarized reflectarray with linearly polarised feed. Electron. Lett. 2005, 41, 387–388. [Google Scholar] [CrossRef]
  11. Ren, L.-S.; Jiao, Y.-C.; Li, F.; Zhao, J.-J.; Zhao, G. A dual-layer T-shaped element for broadband circularly polarized reflectarray with linearly polarized feed. IEEE Antennas Wirel. Propag. Lett. 2011, 10, 407–410. [Google Scholar]
  12. Yu, A.; Yang, F.; Elsherbeni, A.Z.; Huang, J.; Kim, Y. Anoffset-fed X-band reflectarray antenna using a modified element rotation technique. IEEE Trans. Antennas Propag. 2012, 60, 1619–1624. [Google Scholar] [CrossRef]
  13. Zheng, Q.; Guo, C.; Qu, Y.; Ding, J. Design of broadband circularly polarized reflectarray with linearly polarized feed. In Proceedings of the 2016 Asia-Pacific Microwave Conference (APMC), New Delhi, India, 5–9 December 2016; pp. 1–3. [Google Scholar]
  14. Lee, S.R.; Lim, E.H.; Lo, F.L.; Ng, W.H. Circularly Polarized Elliptical Microstrip Patch Reflectarray. IEEE Antennas Wirel. Propag. Lett. 2017, 65, 4322–4327. [Google Scholar] [CrossRef]
  15. Yang, S.; Yan, Z.; Cai, M.; Li, X. Low-Profile Dual-Band Circularly Polarized Antenna Combining Transmitarray and Reflectarray for Satellite Communications. IEEE Trans. Antennas Propag. 2022, 70, 5983–5988. [Google Scholar] [CrossRef]
  16. Jiang, P.; Jiang, W.; Hu, W.; Gong, S. A Mesh-Type Shared-Aperture Dual-Band Circularly Polarized Transmit-Reflect-Array Antenna. IEEE Trans. Antennas Propag. 2023, 71, 1590–1601. [Google Scholar] [CrossRef]
  17. Mei, X.; Gu, P.; Tao, X.; Ding, D. Single-Layer Dual-Band Circularly Polarized Reflectarray Antenna. In Proceedings of the 2022 International Applied Computational Electromagnetics Society Symposium (ACES-China), Xuzhou, China, 9–12 December 2022; pp. 1–3. [Google Scholar] [CrossRef]
  18. Feng, J.; Yan, Z.; Yang, S.; Fan, F.; Zhang, T.; Liu, X.; Zhao, X.; Chen, Q. Reflect–Transmit-Array Antenna with Independent Dual Circularly Polarized Beam Control. IEEE Antennas Wirel. Propag. Lett. 2023, 22, 89–93. [Google Scholar] [CrossRef]
  19. Al-Nuaimi, M.K.T.; Mahmoud, A.; Hong, W.; He, Y. Design of Single-Layer Circularly Polarized Reflectarray with Efficient Beam Scanning. IEEE Antennas Wirel. Propag. Lett. 2020, 19, 1002–1006. [Google Scholar] [CrossRef]
  20. Josefsson, L.; Persson, P. Conformal Array Antenna Theory and Design; John Wiley & Sons: Hoboken, NJ, USA, 2006. [Google Scholar]
  21. Song, W.; Xue, Q.; Cai, Y.; Guo, N.; Liu, K.; Li, S.; Ding, H. A Single-Layer Reflect-Transmit-Array Antenna with Polarization-Dependent Operation. IEEE Access 2021, 9, 167928–167935. [Google Scholar] [CrossRef]
  22. Wang, Z.; Zhang, R.; Song, W.; Lin, X.; Xie, B.; Wang, J.; Zhao, R. W-Band Single-Layer Broadband Reflectarray Antenna. IEEE Access 2023, 11, 66309–66317. [Google Scholar] [CrossRef]
  23. Sun, Y.; Qi, S.-S.; Huang, H.; Zhou, T.; Wu, W. Broadband Single-Layer Circularly Polarized Reflectarray Antenna at W Band. In Proceedings of the 2019 International Conference on Microwave and Millimeter Wave Technology (ICMMT), Guangzhou, China, 19–22 May 2019; pp. 1–3. [Google Scholar]
  24. Al-Nuaimi, M.K.T.; Huang, G.-L. Design of CP Reflectarray for 80–100 GHz Band Based on Pancharatnam-Berry Phase Theory. In Proceedings of the 2021 IEEE MTT-S International Microwave Workshop Series on Advanced Materials and Processes for RF and THz Applications (IMWS-AMP), Chongqing, China, 15–17 November 2021; pp. 185–186. [Google Scholar] [CrossRef]
  25. Choi, E.-C.; Nam, S. W-Band Low Phase Sensitivity Reflectarray Antennas with Wideband Characteristics Considering the Effect of Angle of Incidence. IEEE Access 2020, 8, 111064–111073. [Google Scholar] [CrossRef]
  26. Miao, Z.-W.; Hao, Z.-C.; Yuan, Q. Design and Implementation of a G-Band Silicon-Based Single-Layer Reflectarray Antenna. IEEE Antennas Wirel. Propag. Lett. 2017, 16, 2191–2194. [Google Scholar] [CrossRef]
Figure 1. The structure of the element formed by four dipoles. (a) Perspective view, (b) top view.
Figure 1. The structure of the element formed by four dipoles. (a) Perspective view, (b) top view.
Electronics 12 03849 g001
Figure 2. Simulation results of the mentioned element with Eix at 94 GHz.
Figure 2. Simulation results of the mentioned element with Eix at 94 GHz.
Electronics 12 03849 g002
Figure 3. (a) Perspective view and (b) top view of the single-layer multi-resonant element.
Figure 3. (a) Perspective view and (b) top view of the single-layer multi-resonant element.
Electronics 12 03849 g003
Figure 4. Simulated surface current distributions of the multi-resonant element with Eix at (a) 84 GHz, (b) 94 GHz, and (c) 104 GHz.
Figure 4. Simulated surface current distributions of the multi-resonant element with Eix at (a) 84 GHz, (b) 94 GHz, and (c) 104 GHz.
Electronics 12 03849 g004
Figure 5. The reflective phase shift characteristics of our proposed element with Eix at 94 GHz.
Figure 5. The reflective phase shift characteristics of our proposed element with Eix at 94 GHz.
Electronics 12 03849 g005
Figure 6. The characteristics of our proposed element when ly is 1 mm. (a) Different incidence angles. (b) Different frequencies. (The blue arrow shows the coordinate axis which is applicable to the curve in the blue circle).
Figure 6. The characteristics of our proposed element when ly is 1 mm. (a) Different incidence angles. (b) Different frequencies. (The blue arrow shows the coordinate axis which is applicable to the curve in the blue circle).
Electronics 12 03849 g006
Figure 7. The efficiencies versus the value of F/D.
Figure 7. The efficiencies versus the value of F/D.
Electronics 12 03849 g007
Figure 8. The required compensation phase of (a) the X-direction incident wave and (b) the Y-direction incident wave.
Figure 8. The required compensation phase of (a) the X-direction incident wave and (b) the Y-direction incident wave.
Electronics 12 03849 g008
Figure 9. (a) Measured setup of the proposed reflectarray antenna. (b) Top and (c) bottom layer of the fabricated antenna sample.
Figure 9. (a) Measured setup of the proposed reflectarray antenna. (b) Top and (c) bottom layer of the fabricated antenna sample.
Electronics 12 03849 g009
Figure 10. Simulated and measured radiation patterns of the proposed RA. (a) E plane and (b) H plane at 89 GHz; (c) E plane and (d) H plane at 94 GHz; (e) E plane and (f) H plane at 102 GHz.
Figure 10. Simulated and measured radiation patterns of the proposed RA. (a) E plane and (b) H plane at 89 GHz; (c) E plane and (d) H plane at 94 GHz; (e) E plane and (f) H plane at 102 GHz.
Electronics 12 03849 g010
Figure 11. Measured and simulated antenna gain or axial ratio within frequency band of 80–120 GHz. (The blue arrow shows the coordinate axis which is applicable to the curve in the blue circle).
Figure 11. Measured and simulated antenna gain or axial ratio within frequency band of 80–120 GHz. (The blue arrow shows the coordinate axis which is applicable to the curve in the blue circle).
Electronics 12 03849 g011
Table 1. The dimensions of the single-layer multi-resonant element.
Table 1. The dimensions of the single-layer multi-resonant element.
ParameterValueParameterValue
p1.7 mmw0.06 mm
d1.5 mmd20.65 d
lx0.6~1.532 mml10.65 lx
ly0.6~1.532 mml20.65 ly
Table 2. Comparison of related RAs in W-band or higher bands.
Table 2. Comparison of related RAs in W-band or higher bands.
This Work[23][24][22][25][26]
f0 (GHz)9488949490165
PolarizationCPCPCPLPLPLP
Feed polarizationLPLPCPLPLPLP
Gain (dBi)29.128.430.631.128.533.2
Aperture Size (λ0)12.25 (circular)17.6 (circular)16.14 (rectangular)13.78 (rectangular)12 (circular)23.76 (circular)
AE (%)5222.645.5653.455.332.5
1 dB gain BW (%)19.16.81--25.528.824.2
2 dB gain BW (%)27.6--22.22------
3 dB AR BW (%)13.86.8122.22------
Measured (Y/N)YNNYYY
Disclaimer/Publisher’s Note: The statements, opinions and data contained in all publications are solely those of the individual author(s) and contributor(s) and not of MDPI and/or the editor(s). MDPI and/or the editor(s) disclaim responsibility for any injury to people or property resulting from any ideas, methods, instructions or products referred to in the content.

Share and Cite

MDPI and ACS Style

Wang, Z.; Zhang, R.; Song, W.; Xie, B.; Lin, X.; Li, H.; Tian, L. W-Band Broadband Circularly Polarized Reflectarray Antenna. Electronics 2023, 12, 3849. https://doi.org/10.3390/electronics12183849

AMA Style

Wang Z, Zhang R, Song W, Xie B, Lin X, Li H, Tian L. W-Band Broadband Circularly Polarized Reflectarray Antenna. Electronics. 2023; 12(18):3849. https://doi.org/10.3390/electronics12183849

Chicago/Turabian Style

Wang, Zhicheng, Rui Zhang, Wenke Song, Bingchuan Xie, Xiaobo Lin, Haixuan Li, and Lu Tian. 2023. "W-Band Broadband Circularly Polarized Reflectarray Antenna" Electronics 12, no. 18: 3849. https://doi.org/10.3390/electronics12183849

APA Style

Wang, Z., Zhang, R., Song, W., Xie, B., Lin, X., Li, H., & Tian, L. (2023). W-Band Broadband Circularly Polarized Reflectarray Antenna. Electronics, 12(18), 3849. https://doi.org/10.3390/electronics12183849

Note that from the first issue of 2016, this journal uses article numbers instead of page numbers. See further details here.

Article Metrics

Back to TopTop