Next Article in Journal
A Low-RCS 2D Multi-Layer Van Atta Array at X-Band
Previous Article in Journal
Using Haze Level Estimation in Data Cleaning for Supervised Deep Image Dehazing Models
 
 
Font Type:
Arial Georgia Verdana
Font Size:
Aa Aa Aa
Line Spacing:
Column Width:
Background:
Article

An Intelligent Risk Forewarning Method for Operation of Power System Considering Multi-Region Extreme Weather Correlation

1
Electric Power Research Institute of State Grid Henan Electric Power Company, Zhengzhou 450000, China
2
College of New Energy, Harbin Institute of Technology at Weihai, Weihai 264200, China
*
Author to whom correspondence should be addressed.
Electronics 2023, 12(16), 3487; https://doi.org/10.3390/electronics12163487
Submission received: 19 July 2023 / Revised: 6 August 2023 / Accepted: 11 August 2023 / Published: 17 August 2023
(This article belongs to the Section Power Electronics)

Abstract

:
Extreme weather events pose significant risks to power systems, necessitating effective risk forewarning and management strategies. A few existing researches have concerned the correlation of the extreme weather in different regions of power system, and traditional operation risk assessment methods gradually cannot satisfy real-time requirements. This motivates us to present an intelligent risk forewarning method for the operation of power systems considering multi-region extreme weather correlation. Firstly, a novel multi-region extreme weather correlation model based on vine copula is developed. Then, a risk level classification method for power system operations is introduced. Further, an intelligent risk forewarning model for power system operations is proposed. This model effectively integrates the multi-region extreme weather correlation and the risk level classification of the system. By employing the summation wavelet extreme learning machine, real-time monitoring and risk forewarning of the system’s operational status are achieved. Simulation results show that the proposed method can rapidly identify potential risks and provides timely risk forewarning information, helping enhance the resilience of power system operations.

1. Introduction

In recent years, the persistent occurrence of power outages resulting from extraordinary natural calamities has presented unparalleled trials for power systems. Remarkable instances encompass the impact of the 2012 Superstorm Sandy, which instigated extensive power failures in the Northeastern United States, affecting a staggering population of over 8 million individuals, as power lines were toppled and substations suffered damage [1]. Additionally, in 2019, Eastern Australia encountered an extraordinary and colossal dust storm, enshrouding transmission lines with dust particles and leading to disruptions in power supply [2]. Moreover, in August 2019, Typhoon Lekima made landfall in Zhejiang, China, inflicting significant harm upon the local power infrastructure due to its immensely formidable characteristics [3]. Furthermore, in February 2021, Texas confronted an acute winter storm, culminating in a major power outage that compelled the shutdown of approximately 40,000 MW of generating capacity, adversely impacting in excess of 5 million users, thereby surpassing 20% of the pre-incident peak load [4]. Correspondingly, heavy rainfall across multiple regions of Henan Province, China in July 2021 substantially affected the local power system, precipitating the complete cessation of several pivotal substations and giving rise to power disruptions of considerable magnitude [5]. Given the escalating frequency of extreme disasters worldwide, it becomes imperative to construct sophisticated models that comprehend the response characteristics of power systems under adverse weather conditions. Furthermore, the development of resilient risk assessment techniques and intelligent early forewarning methods assumes essentiality in ensuring the safety, fortitude, and stability of power system operations in the face of such formidable challenges.
Extreme meteorological phenomena frequently engender oscillations in electrical demand on the consumer end. Interruptions to labor and the closure of educational institutions incite fluctuations in load, sudden drops in temperature precipitate a reduction in air conditioning requirements, fierce gusts of wind and torrential downpours may lead to line failures and wire fractures, while lightning strikes can inflict damage upon wind turbines, thereby distorting photovoltaic components [6]. Presently, an abundance of research endeavors has been devoted to formulating modeling techniques aimed at capturing power system malfunctions triggered by severe weather conditions. Towards enhancing the resilience of the transmission network against the onslaught of typhoon-related disasters, the authors in [7] employ the Monte Carlo approach to simulate typhoon trajectories and the spatial distribution of wind fields. They establish a model that assesses the probability of transmission line failures, thus accounting for decision-making uncertainty and its impact on transmission defense reinforcement capacity. Reference [8] strives to present a modeling framework centered around Bayesian networks, integrating seismic spatial variability, which bestows valuable insights pertaining to the safety and risk management of nuclear power plants. A resilience assessment model tailored to the planning process is introduced in [9], envisioning the design of more steadfast power transmission systems capable of withstanding the onslaught of extreme weather events such as typhoon disasters. In [10], a multi-layer Bayesian network methodology is presented to predict prospective weather-induced failure risks in transmission lines. A power system resilience modeling approach is proposed in [11] to scrutinize the influence of adverse weather on the power grid through vulnerability models, underpinned by multi-temporal and multi-spatial resilience assessment techniques. The [12] presents an optimized reinforcement strategy enhancing the toughness of the power distribution network to extreme weather events. This strategy minimizes grid hardening investment and load reduction by incorporating the reinforcement strategy with an uncertainty set, transforming the original tertiary model into an equivalent two-level problem. Another example is given in [13], which explores the influence of extreme weather events on the initial fault state vector of a system node, introducing a node state influence matrix for analyzing the cascade fault development process from the initial fault state. The authors in [14] examine fault and maintenance models from prior studies for power distribution systems, incorporating time-to-event models for resilience estimation. An improved probabilistic load flow model, considering frequency modulation to characterize the impact of dust storms on photovoltaic power generation output, is proposed by [15]. Lastly, the [16] articulates a transmission line failure rate modeling approach that takes into account both the reliability of the protection system and extreme weather exposure. In essence, these methodologies furnish invaluable instruments for assessing power system resilience. Nevertheless, their practical implementation necessitates comprehensive considerations of data uncertainty, computational intricacies, and modeling assumptions to ensure the veracity and dependability of assessment outcomes. As scientific and technological progress forges onward, there remains ample scope for further refinement and optimization of these techniques to adapt to the increasingly intricate and dynamic nature of power systems and the exigencies imposed by extreme weather conditions.
System operation risk level assessment is a method for evaluating the safety and reliability of power systems. Its purpose is to comprehensively analyze and assess the state, components, operations, and external factors of the system to identify potential risks and vulnerabilities and determine the risk level of system operation. A unified risk assessment and operational enhancement method that uses risk-based defensive islanding algorithms for evaluating the impact of extreme weather on the power system is put forth by [17]. The [18] provides a real-time system operation risk assessment model, capable of dynamically adjusting risk values and pinpointing potential risks in real-time. Aiming at disaster prevention and mitigation in power systems, the [19] develops a risk assessment and visualization system for power towers under typhoon disasters. The authors in [20] take on the task of calculating the probability of line overload through load flow and assess the risk level of line overload operation using severity functions. A long-term risk assessment model for power systems considering multiple extreme weather events is contributed by [21]. A novel Monte Carlo-based simulation model of sequential time series, employed to evaluate the resilience of the power system, is introduced by [22]. The ref. [23] proposes an improved risk assessment model that can be applied to practical large-scale systems, and presents two new complementary outage risk indices. Lastly, the ref. [24] offers a security risk assessment algorithm for network physical power systems based on a rough set and gene expression programming. The above articles, all involve power system risk level assessment, but in practical applications, attention should be paid to issues such as data quality, subjectivity, and practical applicability. It is essential to integrate evaluation methods and technologies with actual power system operations to enhance the power system’s resilience and capability to cope with extreme weather events.
System operation risk forewarning is a process in power systems that involves monitoring, analyzing, and predicting various risk factors both internal and external to the system. Its aim is to timely identify potential risks that could impact the safety and stability of the system and take appropriate preventive and control measures to reduce or avoid potential accidents and failures. Risk forewarning also contributes to enhancing system resilience and its capacity to withstand extreme weather and natural disasters. The ref. [25] provides a data-driven dynamic security grading rolling forewarning method for hybrid AC/DC systems, designed to identify potential unsafe operating conditions and offer decision guidance. A dynamic weighted system meteorological fault forewarning method, based on a deep sparse autoencoder network and scene classifier using a combination of subjective and objective weights, is introduced by [26]. Addressing the strong nonlinearity of the system and high uncertainty caused by wind power, the ref. [27] advances an early forewarning method for mixed AC/DC systems employing decision trees and semi-supervised deep learning techniques. The ref. [28] demonstrates a method that amalgamates wavelet transform and wavelet neural networks to diagnose commutation failure faults and forewarn system information on the inverter side of high-voltage direct current transmission systems. The power overload probability and voltage overload probability of the branch without fault are computed using dynamic probability power flow [29]. They also introduce an index of fault consequence severity, combining it with the grid failure probability for fault consequence severity classification based on the fuzzy inference principle. The security warning level is then determined through fuzzy calculation, providing scientific and reasonable safety warning results that can serve as comprehensive and reliable theoretical support for power grid planning and operation. To accurately identify risk behaviors in power grid operation and ensure the safety of operators and development of power enterprises, the ref. [30] constructs a power grid operation behavior control and risk automatic early warning platform based on AI + video technology. In summary, these studies explore the importance and methods of risk forewarning in power system operation, particularly when facing extreme weather and dynamic insecurity risks. However, challenges such as limited sample data and model complexity warrant further research and improvement.
The chapter arrangement of this paper is as follows: Chapter 1 serves as the introduction, providing an overview of the research on extreme weather modeling and risk forewarning in power systems. Chapter 2 focuses on the modeling of multi-regional extreme weather correlation, emphasizing the methods used to model the correlation between extreme weather events in multiple regions. Chapter 3 delineates the classification of system operation risk levels by considering various system operation risk indicators. Chapter 4 presents the intelligent risk forewarning method for system operation, which utilizes the Summation wavelet extreme learning machine (SW-ELM) approach to achieve real-time monitoring and risk forewarning of system operation status. Chapter 5 includes case studies and analyses. Finally, Chapter 6 presents the conclusion.

2. Modeling the Correlation of Extreme Weather Events in Multiple Regions

2.1. Probability Modeling of Extreme Weather Events in a Single Region

In recent years, extreme weather conditions have become increasingly frequent, posing a serious threat to the safe operation of power systems [31,32]. The extreme weather events that affect the safety of power systems mainly include the following:
  • Strong winds;
Strong winds can cause problems such as power transmission line and tower collapse, tree falling, equipment damage, and may lead to power outages.
2.
Heavy snowfall and blizzards;
Heavy snowfall and blizzard weather can result in the icing of transmission lines, transformers, and equipment, increase line loads, and cause equipment failures or even tower collapses, leading to power outages or system disasters.
3.
Hailstorms and thunderstorms;
Hailstorms and thunderstorm weather can cause lightning strikes and ground faults, damaging power equipment and even causing equipment short circuits and power outages.
4.
High temperatures and droughts;
High temperature weather and drought conditions can lead to the overload of power lines, transformers, and equipment, causing increased line temperatures, equipment failures, and eventually triggering short-circuit accidents and power outages in the power system.
5.
Heavy rain and floods;
Heavy rain and floods can result in power equipment being submerged in water, leading to short circuits, failures, and equipment malfunctions. They can also wash away transmission lines and substations, causing widespread power outages.
6.
Fire and wildfires.
Fires and wildfires can damage power transmission lines, substations, and equipment, causing power outages. They also pose challenges to the restoration and repair work of the system.
These extreme weather conditions have a significant impact on the safe operation and reliability of the power system. Due to the data available to the researchers, this paper focuses on studying intelligent risk forewarning methods for power system operation under strong winds as an example. The same method can be applied to study the impacts of other types of extreme weather.
In this study, we make an assumption that the distribution of strong wind speeds in a region follows the same pattern. Currently, most researchers utilize the Weibull distribution to describe the wind speed in various regions [33,34]. However, accurately determining the shape factor and scale factor for the Weibull distribution in different regions can be challenging. Therefore, the most accurate way to represent the distribution of wind speeds is to perform probability statistics analysis using the actual data. Non-parametric kernel density estimation is a statistical method that does not rely on prior knowledge or assumptions about the data distribution. It analyzes the characteristics of the data distribution solely based on the data itself. As such, it holds significant value in both statistical theory and practical applications. In this study, non-parametric kernel density estimation is employed to fit the wind speed distribution in a specific region using samples of wind speed. The expression for this estimation is as follows,
f ^ w ( v ) = 1 N i = 1 N K h ( v X i )
where Kh is the kernel function, N is the sequence capacity, Xi is the wind speed sample, i = 1, 2, …, N, v is the wind speed.

2.2. Correlation Modeling of Extreme Weather Events in Multiple Regions Based on Vine Copula

The present study employs the vine copula function to construct a joint distribution model for strong wind speeds in multiple regions. The fundamental concept behind the vine copula approach involves decomposing the joint distribution of multidimensional random variables into two-dimensional copula functions, encompassing both the original variables and their corresponding conditional variables.
Given the random variables X = (X1, X2, …, XN) representing strong wind speeds in multiple regions, the probability density functions f1,2,…,N(x1, x2, …, xN) can be decomposed in the following manner:
f 1 ,   2 ,   , N ( x 1 , x 2 , , x N ) = f 1 ( x 1 ) f 2 | 1 ( x 2 | x 1 ) f 3 | 1 , 2 ( x 3 | x 1 , x 2 ) f N | 1 , 2 , , N 1 ( x N | x 1 , x 2 , , x N 1 )
where fk(xk) denotes the probability density function of Xi, k = 1, 2, …, N, fk|1,2,…,k−1(xk|x1, x2, …, xk−1) denotes the condition probability density function, k = 2, 3, …, N. Equation (2) can be decomposed into many forms. The vine copula function is introduced to describe different decomposition methods. Common vine models include C-vine and D-vine. The structure of C-vine is shown in Figure 1, and this paper uses C-vine to decompose Equation (2). The decomposed expression is as follows,
f 1 ,   2 ,   , N ( x 1 , x 2 , , x N ) = k = 1 N f k ( x k ) ×              i = 1 N 1 j = 1 N i c i , i + j | 1 , , j 1 ( F i | 1 , 2 , , i 1 ( x i | x 1 , , x i 1 ) , F i + j | 1 , 2 , , i 1 ( x i + j | x 1 , , x i 1 ) )
where Fk(xk) denotes the edge cumulative distribution function of Xi, k = 1, 2, …, N, Fk|1,2,…,k−1(xk|x1, x2, …, xk1) denotes conditional cumulative distribution function, k = 2, 3, …, N.
Vine copula is employed to transform the joint probability density function of wind speed random variables into the marginal probability density function of a region and several two-dimensional copula functions. These copula functions belong to the Elliptic function family (Ellipse-copula) and the Archimedean function family (Archimedean-copula). The Elliptic function family includes the normal copula function and t copula function, while the Archimedean function family comprises the gumbel copula function, Clayton copula function, and frank copula function. Various copula functions possess distinct functional structures, and their tail characteristics are well-suited for describing different dependencies. Table 1 illustrates the probability density function and tail characteristics of different copula types.
These five types of copula functions exhibit distinct tail characteristics, which is crucial in determining the most appropriate function for describing the joint distribution of wind speeds. Prior to selecting the optimal copula function, the correlation coefficient ρ for each copula function needs to be determined using the initial sample. Various methods can be employed to obtain ρ, including maximum likelihood estimation, distribution estimation, semi-parametric estimation, and non-parametric estimation. This paper adopts a widely used maximum likelihood estimation method, outlined as follows:
L ( ρ ) = ln c ( f ^ ( x 1 ) , f ^ ( x 2 ) )
ρ ^ = arg max L ( ρ )
where f ^ ( x 1 ) and f ^ ( x 2 ) are edge distribution functions of x1 and x2, which could be calculated using Equation (1), ρ ^ is the estimated value of correlation coefficient ρ, and the copula model could be obtained by bringing ρ ^ and raw data into the copula function in Table 1.
To choose the optimal copula function, this study compares the Euclidean distance between the empirical copula function and the evaluated copula function (including normal copula, t copula, gumbel copula, Clayton copula, and frank copula). The calculation method for the Euclidean distance is as follows:
d E u c l = t = 1 T [ x A ( t ) x B ( t ) ] 2 + [ y A ( t ) y B ( t ) ] 2 + [ z A ( t ) z B ( t ) ] 2
where A denotes the evaluated copula function, B denotes the empirical copula function, T denotes the sample size, x, y and z denote three-dimensional coordinates.

3. Method for Classifying the Risk Level of Power System Operation

3.1. Modeling the Probability of Power System Equipment Failure under Extreme Weather Conditions

Strong wind and extreme weather can lead to various system failures. For example, under strong wind conditions, the impact of wind on power transmission lines increases. When the wind speed reaches a certain level, it may cause the transmission lines to break, resulting in power outages or partial power interruptions in certain areas of the system. The stability of system towers is threatened by strong winds, which may cause them to tilt, collapse, or break, leading to interruptions in transmission lines and power outages. In strong wind weather, the force of the wind can cause trees to break or fall. If the trees come into contact with overhead lines, it can cause short circuit faults and result in power outages. This paper primarily focuses on incidents of line breakage and tower collapse caused by strong winds.
Strong winds exceeding the corresponding load of overhead power lines and vertical wind loads on towers and their connecting wires exceeding the maximum load-bearing capacity of the towers are the main causes of power outages and tower collapses. Assuming the extreme wind load that a transmission line can withstand is TLmax, and the extreme wind load that a tower can withstand is TTmax, the critical wind speeds for power line failures and tower collapses are respectively referred to as the critical wire failure wind speed and the critical tower collapse wind speed.
v Lmax = 1600 T Lmax α μ z β c S D L sin 2 δ
v Tmax = 2 T Tmax ρ C d ( α ) A f
where α denotes the non-uniformity coefficient of wind pressure, μz denotes the height coefficient of wind pressure, βc denotes the wind load adjustment coefficient, S denotes the shape coefficient of the conductor, D denotes the diameter of the power line, L denotes the length of the power line, δ denotes the angle between the wind direction and the direction of the transmission line, ρ denotes the air density, Cd(α) denotes the drag coefficient of the wind load on the tower components, Af denotes the effective area of the tower to withstand wind pressure.
For transmission lines, when the predicted wind speed v is less than the critical wind speed vLmax, the probability of power outage is considered to be 0. When the predicted wind speed v is greater than vLmax, the probability of a power outage can be represented using a probability density function based on the joint distribution of wind speed and wind direction. The probability calculation model for power outage under extreme wind speeds is as follows:
P L = { 0 , v v Lmax i = 1 16 f ( θ i ) v Lmax v f θ i ( u ) d u , v > v Lmax
Similarly, the probability calculation model for power tower collapse under extreme wind speeds is as follows:
P T = { 0 , v v Tmax i = 1 16 f ( θ i ) v Tmax v f θ i ( u ) d u , v > v Tmax
where f ( θ i ) denotes the wind direction frequency in direction θ i , f θ i ( u ) denotes the probability density function of wind speed in direction θ i .

3.2. Risk Indicators for Power System Operation

With the continuous expansion of the power system scale and increasing demand for load, risk management in system operation has become crucial [35,36,37]. In order to accurately assess the operational risks of the system and classify corresponding risk levels, this paper selects the voltage limit exceedance index, line overload index, power transfer capability index, and loss of load probability index as comprehensive assessment criteria.
  • Voltage Limit Exceedance Index;
Voltage limit exceedance is a common issue in power systems, which can result in damage to power equipment and a decrease in power quality. By monitoring the occurrence of voltage limit exceedance, it is possible to promptly identify and take measures to adjust the operation state of the power system, thereby avoiding irreversible effects caused by abnormal voltage conditions. The definition of the Voltage Limit Exceedance Index is as follows:
P u = i = 1 n P u i ( U i )
where n denotes the number of buses, P u i ( U i ) denotes the voltage exceedance condition of the bus i , which refers to whether the voltage exceeds the specified limit.
P u i ( U i ) = { U i 1 U upp 1 , U i > 1 1 U i 1 U low , U i 1
where U i denotes the voltage of the bus, U upp and U low denote the upper and lower voltage(pu) limits of the bus, respectively.
2.
Power Flow Overload Indicator;
Power flow overload refers to the situation when the transmitted power on a transmission line exceeds its rated power capacity. When power flow overload occurs, it may cause overheating of the line, equipment damage, or even accidents. Therefore, by monitoring and evaluating the power flow overload indicator, appropriate measures can be taken in a timely manner to alleviate the flow load and ensure the stable operation of the power system. The definition of the power flow overload indicator is as follows:
P p = i L p P i P i , max P i , max
where L p denotes the collection of lines with power flow overload, P i denotes the current transmitted power on the line, P i , max denotes the rated transmitted power on the line.
3.
Power Transfer Distribution Factor (PTDF);
The Power Transfer Distribution Factor reflects the total power transfer distance of the system before and after a fault. When there is a faulty line in the system, if there are no alternative active power transmission paths near the faulty line, the reliability and stability of the system may be compromised. Therefore, by monitoring the Power Transfer Distribution Factor, the system’s ability and the necessary emergency measures can be evaluated under fault conditions. Firstly, the Power Transfer Distribution Factor is defined as follows:
L t = l L | ω l p l |
where L denotes the set of transmission lines, ω l denotes the length of the transmission line l , which characterizes the power transmission distance on line l and is expressed in terms of line electrical distance (line impedance value),
ω l = R l + j X l
where R l denotes the line resistance, X l denotes the line reactance, p l denotes the magnitude of active power transmitted on line l ,
p l = p i , j = U i 2 g i j U i U j ( g i j cos θ i j + b i j sin θ i j )
where U i and U j denote the voltages at nodes i and j, respectively. g i j and b i j denote the conductance and susceptance of the line i j , respectively. θ i j denotes the voltage phase difference between nodes i and j. Meanwhile, the power transfer distribution factor is defined as follows:
P t = L t L t 0
where L t and L t 0 denote the total power transfer distances of the system before and after a fault, respectively. The larger the change, the more it indicates that there are no viable alternative channels for active power transmission near the faulted line. As a result, active power needs to migrate extensively within the system, indicating a greater vulnerability.
4.
Loss of Load Ratio (LLR) Indicator.
The Loss of Load Ratio indicator reflects the system’s ability to cope with abnormal load conditions. When the system load exceeds its rated capacity, load shedding may be necessary to ensure stable operation. Therefore, by monitoring the Loss of Load Ratio indicator, the reliability of the system under abnormal load conditions can be assessed, and corresponding load management strategies can be developed. The Loss of Load Ratio indicator is defined as follows:
P s = i L s α i L i
where L s represents the set of nodes requiring load shedding, α i is the importance coefficient of the load shedding at node i , L i is the amount of load shedding at node i .
Finally, considering the four aforementioned indicators, the operational risk value of the power system is calculated according to Equation (19).
R = β 1 P u + β 2 P p + β 3 P t + β 4 P s
where β i represents the importance coefficients of the four indicators. Based on the recommendations of power experts and dispatchers, this study sets it as β = [ β 1 , β 2 , β 3 , β 4 ] = [ 0.5 , 0.8 , 1.0 , 2.0 ] .

3.3. Classification of Risk Levels

By combining indicators such as voltage violation, overload of power flow, power flow transfer capability, and loss of load ratio along with the results of weight allocation, and based on actual conditions, relevant regulations and standards, as well as historical data and industry experience, corresponding risk level classification criteria are formulated. Specifically, the risk division method in reference [38] and the grid operation risks are divided into the following discrete intervals according to the Technical Specifications for Quantitative Assessment of Operation Safety Risks of China Southern Power Grid, the Regulations for Power Dispatching Management of China Southern Power Grid and the comprehensive experimental results. The results of the risk division of the power system are shown in Table 2.

4. Intelligent Risk Forewarning Method for Power System Operation Based on SW-ELM

4.1. Basic Principles of Summation Wavelet Extreme Learning Machine

SW-ELM belongs to one type of artificial neural network and is proposed to overcome the limitations of standard ELM, whose convergence performances are mainly influenced by parameters initialization, model complexity and choice of activation functions [39]. SW-ELM is a simple one-step learning algorithm without requiring the iterative backpropagation learning in the training process of a traditional single hidden layer feedforward network (SLFN) or convolutional neural network (CNN). In SW-ELM, w and b are randomly initialized. Then, the optimal solution of β can be acquired through the solving of Moore-Penrose generalized inverse and corresponding matrix multiplication.
Specifically, the achieving process of SW-ELM can be mathematically expressed as follows:
T = H β
where
H = [ h 1 ( x 1 ) h L ( x 1 ) h 1 ( x N ) h L ( x N ) ] N × L = [ φ 1 ( w 1 x 1 + b 1 ) φ L ( w L x 1 + b L ) φ 1 ( w 1 x N + b 1 ) φ L ( w L x N + b L ) ] N × L
The solution to (20) is obtained by using the Moore-Penrose generalized inverse of H and can be expressed as:
β = H ˜ T
The hybrid function is a combination of two activation functions in every neuron of the SW-ELM. The reason behind this is that the conventional ELM typically employs a sigmoid function as its activation function. However, in certain scenarios, this could potentially impact the algorithm’s convergence behavior. In order to overcome this limitation, the SW-ELM introduces two distinct activation functions for every neuron. The final output from a hidden neuron is then derived by computing the average of the outputs from these two activation functions. The structure of SW-ELM is shown in Figure 2, and the expression of the activation function used in SW-ELM can be mathematically expressed as (23).
φ l = 1 2 ( φ l ( 1 ) + φ l ( 2 ) )            l = 1 , , L
where
{ φ l ( 1 ) ( z ) = 1 exp ( 2 z ) 1 + exp ( 2 z ) φ l ( 2 ) ( z ) = 1 | d l | cos [ 5 ( z m l d l ) ] exp [ 1 2 ( z m l d l ) 2 ]
In (23), the first activation function φ l ( 1 ) selects the commonly-used sigmoid function, which acts as a global filter across all the hidden neurons. The second activation function φ l ( 2 ) used in each hidden neuron selects the local Morlet wavelet function, and it can act as a local filter by scaling and dilating according to the hidden neuron input domain. This combination allows the network to capture small fluctuations in the input signal precisely, while at the same time retaining its generalization capabilities.

4.2. Methods for Training the Model

The power system has a large scale and various types of data, which can be monitored to achieve risk forewarning for power system operation. This includes voltage data, current data, power data, frequency data, phase angle data, and so on. The obtained power data samples have high dimensionality and large-scale characteristics. However, many features of the obtained power data exhibit strong correlations in terms of their physical meanings, which are redundant features. These will affect the training effectiveness of deep learning models [40]. Therefore, feature selection and data processing need to be performed. Based on the following three aspects, feature selection is conducted in this paper.
  • Variance Thresholding;
This method calculates the variance of each feature and considers features with variance lower than a predefined threshold as redundant. These features can be directly removed.
2.
Correlation-based Feature Selection;
If features are highly correlated, their changing trends in the samples are generally similar. This can lead to a decrease in the generalization ability of deep learning models. Such features are known as collinear features, and usually only one of them needs to be retained. In this paper, the Pearson correlation coefficient is used to measure the correlation between features
ρ X , Y = c ov ( X , Y ) σ X σ Y = i = 1 N ( X i X ¯ ) ( Y i Y ¯ ) i = 1 N ( X i X ¯ ) 2 i = 1 N ( Y i Y ¯ ) 2
where N denotes the number of samples; X i and Y i denote the sample points of two features; X ¯ and Y ¯ denote the sample means of the two features, and the closer their values are to E, the higher the correlation between the two features.
3.
Principal Component Analysis (PCA).
PCA is a technique that linearly maps the original features to a new set of features in such a way that the new features are uncorrelated with each other. This helps in reducing redundancy among the features.
In addition, deep learning models can exhibit excellent classification performance on datasets where the number of samples in each class is not significantly different. However, in reality, the majority of data samples are imbalanced, meaning there is a substantial difference in the number of samples between different classes. For a binary classification problem, we refer to the class with fewer samples as the minority class and the class with more samples as the majority class.
The imbalance of samples can have a significant impact on the training effectiveness of deep learning models [41]. Sometimes, due to the scarcity of samples in the minority class, it may fail to learn the underlying patterns or the patterns learned from the minority class may be gradually overshadowed by the patterns learned from the majority class. For example, if we have a dataset with 10,000 samples, out of which 9990 are positive samples and 10 are negative samples, a model may correctly classify all 9990 positive samples while misclassifying all 10 negative samples. Despite having high accuracy, the model fails to distinguish between positive and negative samples entirely. In the field of electrical power systems, serious accidents are rare due to stringent safety measures, resulting in datasets exhibiting typical characteristics of sample imbalance. Therefore, addressing the sample imbalance issue is necessary.
In the field of deep learning, common methods for addressing the problem of imbalanced sample training include oversampling and undersampling.
  • Oversampling;
Oversampling involves increasing the quantity of minority-class samples to balance the dataset. One commonly used oversampling method is data replication, where the minority class samples are replicated multiple times to increase their representation in the training set. This method is simple and straightforward, but it may lead to model overfitting due to the introduction of redundant information from duplicate samples.
2.
Undersampling.
Undersampling aims to balance the dataset by reducing the quantity of majority class samples. Cluster-based undersampling is a commonly used technique, which divides the majority class samples into several clusters and selects representative samples from each cluster to decrease the number of majority class samples. Undersampling can reduce training time and memory consumption, but it may result in the loss of important information from the minority class samples.
The SMOTE algorithm, which belongs to the oversampling method, is employed in this study to address the issue of imbalanced sample training. Synthetic Minority Over-Sampling Technique (SMOTE) is a widely used oversampling technique that has gained popularity. It involves creating synthetic minority samples by interpolating between existing minority samples, rather than simply replicating nearby samples. The inspiration for this technique originated from an algorithm proposed in a handwritten character recognition project. The main process of SMOTE for oversampling can be summarized as follows: Firstly, for each minority sample, K nearest neighbors are selected from other minority samples. Then, linear interpolation is performed between the selected point and its K nearest neighbors, using a certain random interpolation factor and oversampling rate. This generates a portion of synthetic minority samples. The formula for SMOTE interpolation is shown as Equation (26).
p = x + ϵ × ( y x )
where p denotes the generated synthetic sample, x denotes the original sample, y is one of the K nearest neighbor samples to x , where K is a defined hyperparameter, ϵ is a random number between 0 and 1.
The SMOTE algorithm mainly performs interpolation between similar minority class samples to generate representative synthetic samples. Therefore, the problem of overfitting can be mitigated to a certain extent, and the decision space of the minority class can be better expanded. The pseudocode of the SMOTE algorithm is illustrated as Algorithm 1 in the following figure.
Algorithm 1: The pseudocode of the SMOTE algorithm.
Input: 
The number of samples in the minority class, denoted as T, the oversampling rate as N%, and K nearest neighbors.
Output: 
Synthesized minority samples, denoted as T*.
  • For i = 1 to T
    Obtain K nearest neighbor minority samples for the minority sample i, and store these samples in the Karray.
  • While N != 0
  • SMOTE(N, i, Karry)
    The function of the SMOTE algorithm is to perform linear interpolation in the Karray based on the sampling rate for the minority samples i, as defined in Equation (26).
  • N = N − 1
  • Endwhile
  • Return T*
Combining the aforementioned feature selection method with the imbalance sample handling method, the training process of the intelligent risk forewarning model for power system operation based on SW-ELM is as follows:
  • Power system partitioning;
Divide the entire power system into several regions based on geographical locations, where each region consists of multiple nodes and lines.
2.
Modeling the correlation of strong wind among multiple regions;
Utilize the vine-copula tool mentioned in Section 2.2 to establish a correlation model for strong wind among different regions in the power system, based on historical wind speed data.
3.
A sampling of strong wind scenarios;
Using the established correlation model for strong wind among multiple regions in the power system, combined with the Monte Carlo sampling method, sample the strong wind scenarios in each region. The total number of samples is denoted as M .
4.
Generation of normal operating scenarios for the power system;
Randomly generate a certain number of realistic normal operating scenarios for the power system, including the load conditions at each node and the output of the generators, based on historical data and statistical analysis methods.
5.
Combination of strong wind scenarios and normal operating scenarios;
Randomly combine the strong wind scenarios obtained in Step 3 and the normal operating scenarios for the power system generated in Step 4, resulting in V different scenarios of normal system operation under strong wind conditions. Note that for the random combination in this step, each strong wind scenario does not need to be combined with all the normal operating scenarios for the power system, but only with a subset of them, denoted as V M × N .
6.
Calculation of the probability of line outage and tower collapse faults;
Based on the different random combinations obtained in Step 5, use the method described in Section 3.1 to calculate the probabilities of line outage and tower collapse faults occurring in each region.
7.
Generation of fault operation scenarios in the power system;
Based on the calculated probabilities of line outage and tower collapse faults from Step 6, utilize the Monte Carlo sampling method to randomly sample faults for each random combination obtained in Step 5. A total of W different faults are sampled for each random combination.
8.
Calculation of power system risk level division results;
According to the power system operation risk indicators and risk level division principles described in Section 3.2 and Section 3.3, calculate the division results of the power system risk levels. These results will serve as the output data for SW-ELM and will be used for subsequent model training.
9.
Collection of power system information;
Collect the active and reactive load, voltage, and phase information of busbars in the power system, the active and reactive power output and operational status of generators, active and reactive power at both ends of the lines, and the location of faults.
10.
Feature selection;
Utilize feature selection methods to select features from the collected information in Step 9, determining the input data for SW-ELM.
11.
SW-ELM training.
Use the power system risk level division results obtained in Step 8 as the output data and the selected data from Step 10 after feature selection as the input data for SW-ELM. Combined with the imbalance sample handling method, train the SW-ELM model. After training is completed, SW-ELM can be used for intelligent risk forewarning in power system operation. Additionally, note that since the V random combinations obtained in Step 5 represent normal operating states of the power system and W × V different fault conditions are extracted in Step 7, the total number of training samples for SW-ELM is ( 1 + W ) × V .

4.3. Methods for Evaluating the Model

When the training data consists of unbalanced samples, traditional classification accuracy metrics are no longer effective for evaluating the model’s classification performance. This paper adopts the following metrics to evaluate the model:
  • Error rate;
The proportion of misclassified samples to the total number of samples.
P err = 1 T pos + T neg T pos + T neg + F pos + F neg
where F pos denotes the number of samples that are actually negative but predicted as positive. T neg denotes the number of samples that are actually negative and predicted as negative. T pos denotes the number of samples that are actually positive and predicted as positive. F neg denotes the number of samples that are actually positive but predicted as negative.
2.
Precision.
The ratio of true positive samples to the predicted positive samples among all samples predicted as positive.
P pre = T pos T pos + F pos

5. Case Analysis

5.1. System Introduction and Data Preparation

This paper constructs a power system model for optimal power flow calculation to generate data samples. The IEEE-39 system is used for simulation experiments, which consists of 24 nodes, 38 transmission lines, and 33 generators. IEEE-39 system is a well-recognized, typical transmission power system. Its comprehensive representation of complex power systems makes it a frequently used benchmark in power system studies. The system parameters are referenced from [42]. In order to obtain more negative samples, this paper reduces the rated power of all transmission lines to 81% to weaken the system network structure. The active power output of the generators is reduced to 95%, and the maximum active power of the generators is reduced to 90%, making it easier to induce limit violation, overload, and other scenarios. The Monte Carlo method is used to obtain 10,000 samples of normal operating scenarios. The case study system is shown in Figure 3, four colors represent four regions, and numbers represent node numbers.
The coincidence between the measured wind speed and the real wind speed has an important influence on the performance of the method [34]. The wind speed is taken from the measured data of the actual power system and applied to Region 1, Region 2, Region 3 and Region 4. Supposing the wind speed base value is 20 m/s, and standard the wind speed of Region 1 to Region 4. Divide the standardized wind speed 0–1 to 20 intervals, and the length of each interval is 0.05, calculate the frequency and probability density the wind speed in region 1 to region 4 in each interval, which is shown in Figure 4. On this basis, non-parametric kernel density estimation is used to obtain the probability density function of wind speed in region 1 to region 4, which is shown as the red line in Figure 4.
This paper uses C-vine to decompose joint distribution, and region A is regarded as the root node. The maximum likelihood estimation method is used in non-parametric kernel density estimation-based probability density function of the two regions to obtain the correlation coefficient. The correlation coefficient of different copulas is shown in Table 3. On this basis, the probability density function of different two regions using different copula types are shown in Figure 5, Figure 6 and Figure 7.
In order to select the optimal copula function, this paper compares the Euclidean distance of the empirical copula function and the evaluated copula function (including normal copula, t copula, gumbel copula, Clayton copula and frank copula). The calculation results are shown in Table 4. From this table, we could see the Euclidean distance of the empirical copula function and gumbel copula in different two regions is the smallest, so we select the gumbel copula as the optimal copula function.
Using the aforementioned C-vine copula model and incorporating the Monte Carlo sampling method, we conduct sampling for strong wind scenarios in each region with a sample size of 100. By randomly combining the strong wind scenarios with normal operating scenarios of the power system, we obtain 50,000 instances of normal operation scenarios under strong wind conditions. In Section 3.1, the probabilities of line outages and tower failures occurring in each region are calculated using the method described. Subsequently, utilizing the Monte Carlo sampling method, we perform a random sampling of failures from the 50,000 random combination results. For each random combination, 9 failures are extracted, resulting in a total of ( 1 + 9 ) × 50,000 = 500,000 data samples. Each data sample includes active and reactive loads, voltage, and phase of the bus; active and reactive power output and operational status of the generator; as well as active and reactive power and operational status of the transmission lines at both ends. Based on the principles of power system operational risk indices and risk level divisions presented in Section 3.2 and Section 3.3, we calculate the risk level division results of the power system using 500,000 data samples. These results will serve as the output data for SW-ELM. Feature selection is conducted to determine the input data for SW-ELM, resulting in a final input data dimension of 193.

5.2. Training Results of SW-ELM

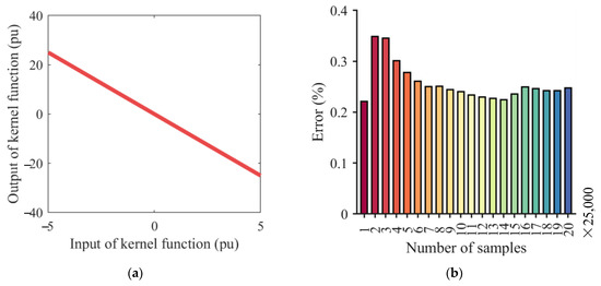
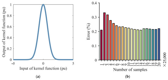
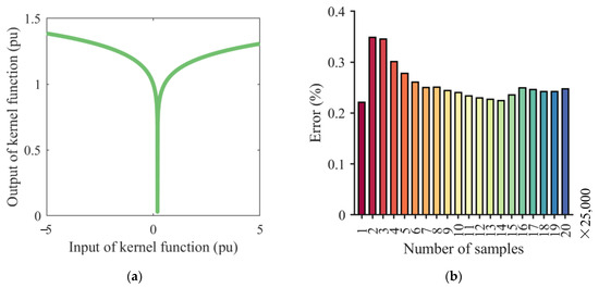
The performance of Extreme Learning Machines (ELM) primarily depends on the choice of kernel functions. In this study, we consider the Linear kernel function, POLY kernel function, and Radial Basis Function (RBF) kernel function as comparative kernel functions, in addition to the Hybrid kernel function proposed in this paper. The Linear kernel function is one of the simplest kernel functions. It maps input samples based on linear relationships and performs classification by calculating the linear combination between input samples and weights. The Linear kernel function is generally suitable for linearly separable problems but may have limited expressive power for complex nonlinear problems. Therefore, in some cases, it may not deliver satisfactory performance. The POLY kernel function is a polynomial kernel function that maps input samples to a high-dimensional space to handle nonlinear problems. It utilizes polynomial fitting to capture relationships among more complex features. The POLY kernel function performs well in handling nonlinear problems, but it may be prone to overfitting when dealing with excessively complex problems. The RBF kernel function exhibits strong expressive power in dealing with nonlinear problems and can handle more intricate data distributions. Generally, the RBF kernel function performs better than the Linear and POLY kernel functions. However, it may entail higher computational complexity when dealing with large-scale datasets.
In addition, this paper collected a total of 500,000 data points for model training and tested the accuracy of the ELM model using training data sizes of 25,000, 50,000, …, and 500,000. Figure 8 illustrates the model accuracy when using the Linear kernel function with different numbers of training data. Figure 9 depicts the model accuracy with the POLY kernel function under different training data sizes. Figure 10 presents the model accuracy using the RBF kernel function with varying amounts of training data. Figure 11 exhibits the model accuracy using the Hybrid kernel function proposed in this paper for different quantities of training data.
From Figure 8, Figure 9, Figure 10 and Figure 11, it can be observed that as the number of training samples increases, the training error decreases for all kernel functions. This indicates that increasing the number of training samples can improve the performance of the model and reduce training error. For each kernel function, as the number of training samples continues to increase, the training error gradually stabilizes. Within a larger range of training samples, the change in training error becomes insignificant. This suggests that after a certain quantity of training samples, adding more samples may not significantly improve the model’s performance. In terms of comparing different kernel functions, the Hybrid kernel function consistently demonstrates lower training error than the other kernel functions for all training sample sizes. This implies that the Hybrid kernel function exhibits better performance. On the other hand, the Linear kernel function has the highest training error, while the RBF and POLY kernel functions fall somewhere in between. Therefore, in the context of risk forewarning modeling discussed in this paper, the Linear kernel function may not be suitable as a kernel function. Lastly, it is important to note that these conclusions are derived from the analysis of the provided data. Different datasets and tasks may yield different results and conclusions. Therefore, in practical applications, further analysis and evaluation should be conducted based on specific circumstances.

5.3. Intelligent Risk Forewarning Analysis for Power System Operation

In addition to 500,000 training data, this paper generated 10,000 data for testing the intelligent risk forewarning model of power system operation. Figure 12 illustrates the evaluation of risk forewarning using SW-ELM and equation, while Figure 13 shows the error of risk forewarning between SW-ELM and equation. It is noteworthy that, in order to present the results more effectively, the 10,000 sets of results in Figure 12 and Figure 13 are split into 20 rows for display. It can be observed that these test error data are all close to zero, indicating relatively small test errors without significant bias overall. Approximately half of the error data are positive values, while the other half are negative values, suggesting that the forewarning results can be both higher and lower than the actual values. Additionally, the test error data exhibits a certain level of randomness, without apparent patterns or trends. This indicates that the forewarning errors of the model are random across different samples and lack obvious correlations.
In addition, the precision of the intelligent risk forewarning model for power system operation was tested by employing the imbalanced sample training method and different kernel functions (Linear kernel function, POLY kernel function, RBF kernel function, Hybrid kernel function). The test samples also consisted of the aforementioned 10,000 data points. The accuracy of the safety, low risk, medium risk, high risk, and danger categories were calculated and the statistical results are shown in Figure 14.
Firstly, lets analyze the scenario without using the imbalanced sample training method. Among all risk categories, the Linear kernel function exhibits the lowest precision but is still above 94%. It performs relatively poorly in medium-risk, high-risk, and dangerous situations. However, it demonstrates better accuracy in safety and low-risk situations, with percentages of 97.5% and 96.2%, respectively. This can be attributed to the linear nature of the Linear kernel function, which limits its ability to distinguish complex patterns and non-linear relationships, leading to decreased predictive performance in more complex risk scenarios. For all risk categories, the POLY kernel function maintains a precision rate above 95%. It performs relatively well in safety and low-risk situations, achieving percentages of 97.8% and 96.9%, respectively. The POLY kernel function outperforms the Linear kernel function in terms of precision because it incorporates polynomial feature mapping, which enables the handling of some non-linear relationships to a certain extent. In all risk categories, the RBF kernel function achieves precision rates exceeding 96%. It performs relatively well in high-risk and dangerous situations, with percentages of 96.8% and 97.9%, respectively. The RBF kernel function, through the introduction of radial basis functions, excels in dealing with non-linear patterns and complex relationships, thus demonstrating good performance in risk forecasting. The Hybrid kernel function in this study exhibits precision rates above 98% for all risk categories, showcasing the best overall performance. In safety, low-risk, and medium-risk situations, the Hybrid kernel function achieves precision rates of 98.8%, 98.4%, and 97.7%, respectively. The superiority of the Hybrid kernel function is attributed to its combination of the advantageous characteristics from both kernel functions, yielding excellent results in handling both linear and non-linear patterns.
Next, lets analyze the situation with the use of the imbalanced sample training method. Among all kernel functions, the Hybrid kernel function has the highest precision rates in all risk scenarios, which are 99.4%, 99.1%, 98.4%, 99.2%, and 99.5%, respectively. This means that using the Hybrid kernel function can achieve higher predictive accuracy in risk forecasting tasks. The RBF kernel function also has relatively high precision rates in all risk scenarios, which are 98.9%, 98.8%, 98.1%, 97.4%, and 98.8%. The POLY kernel function has the highest precision rate in safety scenarios, which is 98.8%. However, in other risk scenarios, its precision rates are slightly lower than those of the RBF kernel function and the Hybrid kernel function. The Linear kernel function has relatively lower precision rates in all risk scenarios but still remains above 96.8%.
Comparing the scenarios with and without using the imbalanced sample training method, it can be observed that the overall precision rates of risk forecasting are higher when the imbalanced sample training method is employed. For instance, in the safety scenario, the highest precision rate in the second set of data reaches 99.4%, while in the first scenario, it is only 98.2%. This indicates that using the imbalanced training method can improve predictive accuracy when dealing with imbalanced class problems. Therefore, in practical applications, it is important to choose the appropriate training method based on the characteristics of the data and combine it with the selection of kernel functions to obtain more accurate risk forecasting results.
From above, SW-ELM can facilitate real-time monitoring and risk forewarning for power system operations, which is a key objective of our study. In terms of comparative performance, we also tested different kernel functions (Linear, POLY, RBF, and Hybrid), finding that the hybrid kernel function provided the most optimal training results. This showcases the versatility of the SW-ELM in handling both linear and non-linear patterns effectively. Additionally, the use of the imbalanced sample training method has been found to enhance the overall precision rates of risk forecasting across all risk categories. This further indicates the efficacy of SW-ELM in our study.

5.4. Comparison with Existed Method

To ascertain the efficacy and robustness of our proposed intelligent risk-forewarning method, we carried out an exhaustive comparative analysis with a recognized algorithm from the specialized literature. We specifically contrasted our method with the security risk assessment algorithm illustrated in [24], a work that applies a combination of rough set theory and gene expression programming for network physical power system risk evaluation. Moreover, a larger system, specifically, the IEEE 118-bus system, has been used to test the robustness and adaptability of the method for large-scale power systems.
Table 5 presents the accuracy of the proposed and comparative risk forewarning methods under different risk levels. Firstly, we analyze the results tested on IEEE 39 Node System. Regarding the safe risk level, the proposed method exhibits enhanced accuracy, outperforming the comparative method by a margin of 0.2%. At the low-risk level, the proposed method leads by 0.4%. In the context of the medium risk level, the proposed method shows a minor trailing difference of 0.1%. Impressively, at the high-risk level, the proposed method achieves an increased accuracy, surpassing the reference by 0.6%. The dangerous risk level further underscores the proposed method’s superiority with a 0.4% lead. Then, the results tested on IEEE 118 node system are analyzed. The comparative method slightly edges out the proposed method by 0.3% at the safe risk level. However, at the low-risk level, the proposed method demonstrates a significant 0.6% improvement in accuracy. The medium-risk level results highlight the proposed method’s reliability with a commendable 0.3% advantage. Yet, the high-risk level presents a challenge, with the proposed method slightly behind by 0.6%. For the dangerous risk level, the results between the two methodologies are closely knit, showing a marginal difference of 0.1%.
The average computational time of the proposed and comparative risk-forewarning methods is shown in Table 6. For the IEEE 39 node system, the computational efficiency of the proposed method is undeniable. Across all risk levels, the proposed method consistently processes faster, achieving speedups ranging between 656 to 710 times when juxtaposed with the comparative method. A significant time advantage is evident at the low-risk level, where the proposed method is approximately 686 times more efficient. In the IEEE 118 node system, the proposed method maintains its edge in computational efficiency even as we scale to this larger node system. Evaluation times with the proposed method are substantially reduced, with speedup factors oscillating between 868 to 983 across the different risk levels. The safe risk level alone manifests the superiority of the proposed method, clocking in around 868 times faster than its counterpart.
Although the accuracy of the proposed method closely aligns with that of the method described in [24], it is in the realm of computational efficiency that its true merit emerges. This reduction in computation time not only points to an effective algorithmic design but also indicates potential savings in computational resources. Such efficiency is especially pivotal in real-time applications where decision-making demands both speed and accuracy.

6. Conclusions

This paper introduces a novel intelligent risk forewarning method for power system operations, considering multi-region extreme weather correlation. A multi-region extreme weather correlation model is developed and integrated with a risk level classification approach, with the proposed method proving its ability to provide real-time risk forewarning.
The case study carried out on the IEEE-39 system illustrates the effectiveness of the intelligent risk forewarning model, emphasizing its robustness and superiority over other conventional models. An extensive comparison of different kernel functions (Linear, POLY, RBF, and Hybrid) reveals that the hybrid kernel function exhibits extraordinary precision rates, consistently surpassing 98% across all risk categories, demonstrating superior performance in handling both linear and non-linear patterns. The use of the imbalanced sample training method is found to improve the overall precision rates of risk forecasting across all risk categories, and the accuracies increase by about 1% when applying the imbalanced sample training method. Through comparing the proposed method with an existing method from the specialized literature using both IEEE 39 Node System and the IEEE 118 node system, the proposed method consistently show over 98% accuracy in different risk levels, and clocks in around 868 times faster than the existing method from the specialized literature.
Comprehensive testing demonstrates that this intelligent risk-forewarning model can provide timely and accurate risk-forewarning information, significantly enhancing the resilience of power system operations. It should be noted, however, that these results are specific to the given dataset and specific task. For practical applications, further evaluation and analysis should be conducted based on the unique characteristics of each task. Nonetheless, this paper paves the way for a more intelligent and adaptive approach toward managing the inherent risks in power system operations amid extreme weather conditions.
Although our study extensively compared various kernel functions, the ever-evolving field of machine learning continually introduces new algorithms and techniques. Future studies can explore the potential of emerging models, especially deep learning approaches, for risk prediction. In addition, beyond extreme weather correlation, future iterations of the model can incorporate other risk factors, such as equipment aging, grid congestion, and economic factors, to present a more holistic risk profile.

Author Contributions

Conceptualization, D.Y. and J.H.; Data curation, D.Z.; Formal analysis, C.L.; Investigation, D.Z.; Methodology, J.H., Q.L., Q.W. and C.T.; Resources, D.Z.; Software, Q.W.; Validation, C.L.; Writing—original draft, J.H. and M.L.; Writing—review & editing, J.H. and M.L. All authors have read and agreed to the published version of the manuscript.

Funding

This research received no external funding.

Data Availability Statement

Not applicable.

Conflicts of Interest

The authors declare no conflict of interest.

References

  1. Zhong, H.; Zhang, G.; Cheng, T.; Ye, Y. Analysis and Enlightenment of the Extreme Cold Weather Power Outage in Texas, USA in 2021. Power Syst. Autom. 2022, 46, 1–9. [Google Scholar]
  2. Zhang, Y.; Huang, H.; Xue, Y. Fault Warning and Risk Assessment Model of Power Grid under Extreme Weather. Mach. Electron. 2022, 40, 15–19. [Google Scholar]
  3. Zhang, Y. The Impact of Super Typhoon on Zhejiang Power Grid and Preventive Suggestions. J. Zhejiang Water Conserv. Hydropower Coll. 2020, 32, 39–44. [Google Scholar]
  4. Yan, D.; Wen, J.; Du, Z.; Yang, D.; Yao, W.; Zhao, H.; Liu, J. Analysis of the 2021 Texas Power Outage and Its Implications for Power Grid Planning and Management. Power Syst. Prot. Control 2021, 49, 121–128. [Google Scholar]
  5. Chen, L.; Deng, X.; Chen, H.; Shi, J. Review of Power System Resilience Assessment and Enhancement Research. Power Syst. Prot. Control 2022, 50, 11–22. [Google Scholar]
  6. Jiao, J.; Liu, L.; Zhang, T.; Xuan, W.; Li, H.; Liu, Z. Multi-stage Collaborative End Grid Resilience Enhancement Strategy under Typhoon Disasters. Power Syst. Autom. 2023, 47, 9–18. [Google Scholar]
  7. Wu, Y.; Xue, Y.; Xie, Y.; Wang, H.; Duan, R.; Huang, W. Spatio-temporal Impact of Typhoons and Heavy Rain on Power Grid Failure Rate. Power Syst. Autom. 2016, 40, 20–29. [Google Scholar]
  8. Segarra, J.D.; Bensi, M.; Modarres, M. A Bayesian Network Approach for Modeling Dependent Seismic Failures in a Nuclear Power Plant Probabilistic Risk Assessment. Reliab. Eng. Syst. Saf. 2021, 213, 107678. [Google Scholar] [CrossRef]
  9. Liu, X.; Hou, K.; Jia, H.; Zhao, J.; Mili, L.; Jin, X.; Wang, D. A Planning-Oriented Resilience Assessment Framework for Transmission Systems under Typhoon Disasters. IEEE Trans. Smart Grid 2020, 11, 5431–5441. [Google Scholar] [CrossRef]
  10. Gao, S.; Wang, J.; Yu, L.; Zhang, D.; Zhan, R.; Kou, L.; Chen, K. A Multilayer Bayesian Network Approach-Based Predictive Probabilistic Risk Assessment for Overhead Contact Lines under External Weather Conditions. IEEE Trans. Transp. Electrif. 2023, 9, 236–253. [Google Scholar] [CrossRef]
  11. Panteli, M.; Pickering, C.; Wilkinson, S.; Dawson, R.; Mancarella, P. Power System Resilience to Extreme Weather: Fragility Modeling, Probabilistic Impact Assessment, and Adaptation Measures. IEEE Trans. Power Syst. 2017, 32, 3747–3757. [Google Scholar] [CrossRef]
  12. Ma, S.; Chen, B.; Wang, Z. Resilience Enhancement Strategy for Distribution Systems Under Extreme Weather Events. IEEE Trans. Smart Grid 2018, 9, 1442–1451. [Google Scholar] [CrossRef]
  13. Yu, C.; Zhang, L.; Sun, S.; Sun, Y.; Yin, X.; Wang, C. Cascading Failure Propagation in Cyber Physical Power Systems under Extreme Weather Events. In Proceedings of the 2022 4th International Conference on Smart Power & Internet Energy Systems (SPIES), Beijing, China, 9–12 December 2022. [Google Scholar]
  14. Bessani, M.; Massignan, J.A.D.; Fanucchi, R.Z.; Camillo, M.H.M.; London, J.B.A.; Delbem, A.C.B.; Maciel, C.D. Probabilistic Assessment of Power Distribution Systems Resilience under Extreme Weather. IEEE Syst. J. 2019, 13, 1747–1756. [Google Scholar] [CrossRef]
  15. Xiang, Y.; Wang, T.; Wang, Z.; Li, C. Risk Assessment of Cascading Failures Considering Photovoltaic Power Uncertainty and Frequency Modulation under Extreme Weather Events. In Proceedings of the 2022 IEEE/IAS Industrial and Commercial Power System Asia (I&CPS Asia), Shanghai, China, 8–11 July 2022. [Google Scholar]
  16. Kiel, E.S.; Kjølle, G.H. The impact of protection system failures and weather exposure on power system reliability. In Proceedings of the 2019 IEEE International Conference on Environment and Electrical Engineering and 2019 IEEE Industrial and Commercial Power Systems Europe (EEEIC/I&CPS Europe), Genova, Italy, 11–14 June 2019; IEEE: New York, NY, USA, 2019. [Google Scholar]
  17. Panteli, M.; Trakas, D.N.; Mancarella, P.; Hatziargyriou, N.D. Boosting the Power Grid Resilience to Extreme Weather Events Using Defensive Islanding. IEEE Trans. Smart Grid 2016, 7, 2913–2922. [Google Scholar] [CrossRef]
  18. Bao, J.; Wang, X.; Zheng, Y.; Zhang, F.; Huang, X.; Sun, P.; Li, Z. Resilience-Oriented Transmission Line Fragility Modeling and Real-Time Risk Assessment of Thunderstorms. IEEE Trans. Power Deliv. 2021, 36, 2363–2373. [Google Scholar] [CrossRef]
  19. Hou, H.; Yu, S.; Wang, H.; Huang, Y.; Wu, H.; Xu, Y.; Li, X.; Geng, H. Risk Assessment and Its Visualization of Power Tower under Typhoon Disaster Based on Machine Learning Algorithms. Energies 2019, 12, 205. [Google Scholar] [CrossRef]
  20. Khuntia, S.R.; Rueda, J.L.; Meijden, M.A. Risk-based security assessment of transmission line overloading considering spatio-temporal dependence of load and wind power using vine copula. IET Renew. Power Gener. 2019, 13, 1770–1779. [Google Scholar] [CrossRef]
  21. Zhang, S.; Lu, H.; Lin, J.; Yin, X. Long-Term Risk Evaluation of Power System Considering Extreme Weather Events. In Proceedings of the 2023 The 5th Asia Energy and Electrical Engineering Symposium, Chengdu, China, 23–26 March 2023. [Google Scholar]
  22. Panteli, M.; Mancarella, P. Modeling and Evaluating the Resilience of Critical Electrical Power Infrastructure to Extreme Weather Events. IEEE Syst. J. 2017, 11, 1733–1742. [Google Scholar] [CrossRef]
  23. Mei, S.; He, F.; Zhang, X.; Wu, S.; Wang, G. An Improved OPA Model and Blackout Risk Assessment. IEEE Trans. Power Syst. 2009, 24, 814–823. [Google Scholar]
  24. Deng, S.; Yue, D.; Fu, X.; Zhou, A. Security Risk Assessment of Cyber Physical Power System Based on Rough Set and Gene Expression Programming. IEEE/CAA J. Autom. Sin. 2015, 2, 431–439. [Google Scholar]
  25. Yan, J.; Li, C.; Liu, Y. Dynamic Security Grading Rolling Early Warning for AC/DC Large Power Grid Considering Source-Load Uncertainty. Power Syst. Autom. 2023, 47, 35–43. [Google Scholar]
  26. Hu, L.; Cong, W.; Xu, A.; Wei, Z.; Qiu, J.; Chen, M. Power Grid Meteorological Fault Warning Method Based on Deep Sparse Autoencoder Network and Scene Classifier. Power Syst. Prot. Control 2022, 50, 68–78. [Google Scholar]
  27. Yan, J.; Li, C.; Liu, Y. Insecurity Early Warning for Large Scale Hybrid AC/DC Grids Based on Decision Tree and Semi-Supervised Deep Learning. IEEE Trans. Power Syst. 2021, 36, 5020–5031. [Google Scholar] [CrossRef]
  28. Liu, C.; Zhuo, F.; Wang, F. Fault Diagnosis of Commutation Failure Using Wavelet Transform and Wavelet Neural Network in HVDC Transmission System. IEEE Trans. Instrum. Meas. 2021, 70, 3525408. [Google Scholar] [CrossRef]
  29. Zhao, R.; Chen, J.; Hou, Z.; Li, B.; Lin, M.; Duan, M. A Security Early Warning Method of Power Grid Based on Failure Risk Assessment. In Proceedings of the 2021 IEEE Sustainable Power and Energy Conference (iSPEC), Nanjing, China, 23–25 December 2021; IEEE: New York, NY, USA, 2021. [Google Scholar]
  30. He, S.; Li, W.; Zhao, G.; Song, Y.; Xiao, Y.; Zhou, Z.; Chang, A. Design of the control and risk automatic warning platform for power grid operation based on AI+video technology. In Proceedings of the 2022 International Conference on Innovations and Development of Information Technologies and Robotics (IDITR), Chengdu, China, 27–29 May 2022. [Google Scholar]
  31. Qiao, Z.; Du, X.; Xue, Q. Review of large scale wind power participating in system frequency regulation. Electr. Meas. Instrum. 2023, 60, 1–12. [Google Scholar]
  32. Geng, Z. Analysis of wind-induced response and wind-resistant performance of high-voltage transmission tower—Line coupling system on Ansys. Electr. Meas. Instrum. 2023, 60, 84–90. [Google Scholar]
  33. Liu, G.; Wang, X.; Li, H.; Zhao, C.; Ling, W.; Ji, X. Interval power flow for power distribution networks considering uncertain wind power injection. Electr. Meas. Instrum. 2022, 59, 126–132. [Google Scholar]
  34. Han, J.; Lyu, W.; Song, H.; Qu, Y.; Wu, Z.; Zhang, X.; Li, Y.; Chen, Z. Optimization of Communication Network for Distributed Control of Wind Farm Equipped With Energy Storages. IEEE Trans. Sustain. Energy. 2023, 1–15. [Google Scholar] [CrossRef]
  35. Lin, Z.; Luo, B.; Song, Z. Fault Rate Assessment of Voltage Sag Sensitive Equipment Based on Nonparametric Assessment. Electr. Meas. Instrum. 2023, 60, 86–95. [Google Scholar]
  36. Hu, S.; Wang, B.; Yin, J.; Luo, Y.; Li, R.; Xiao, X. Risk assessment of key components for smart meters based on FMECA. Electr. Meas. Instrum. 2023, 60, 174–179. [Google Scholar]
  37. Yang, Z.; Wang, C.; Han, J.; Yang, F.; Shen, Y.; Min, H.; Hu, W.; Song, H. Analysis of Voltage Control Strategies for DC Microgrid with Multiple Types of Energy Storage Systems. Electronics 2023, 12, 1661. [Google Scholar] [CrossRef]
  38. Lu, D.; Xu, D.; Liao, H.; Guo, C.; Guo, X. Risk assessment and control strategy on dispatching operation of power grid. Energy Eng. 2020, 1–5. [Google Scholar]
  39. Ou, Y.; Wu, Y.; Cheng, J.; Chen, Y.; Zhao, W. Response Surface Method for Reliability Analysis Based on Iteratively-Reweighted-Least-Square Extreme Learning Machines. Electronics 2023, 12, 1741. [Google Scholar] [CrossRef]
  40. Chen, Y.; Ye, Z.; Gao, B.; Wu, Y.; Yan, X.; Liao, X. A Robust Adaptive Hierarchical Learning Crow Search Algorithm for Feature Selection. Electronics 2023, 12, 3123. [Google Scholar] [CrossRef]
  41. Taha, I.B.M. Power Transformers Health Index Enhancement Based on Convolutional Neural Network after Applying Imbalanced-Data Oversampling. Electronics 2023, 12, 2405. [Google Scholar] [CrossRef]
  42. Zimmerman, R.D.; Murillo-Sanchez, C.E.; Thomas, R.J. MATPOWER: Steady-State Operations, Planning, and Analysis Tools for Power Systems Research and Education. IEEE Trans. Power Syst. 2011, 26, 12–19. [Google Scholar] [CrossRef]
Figure 1. The structure of C-vine.
Figure 1. The structure of C-vine.
Electronics 12 03487 g001
Figure 2. The structure of SW-ELM.
Figure 2. The structure of SW-ELM.
Electronics 12 03487 g002
Figure 3. Example System Figure.
Figure 3. Example System Figure.
Electronics 12 03487 g003
Figure 4. Wind speed distribution: (a) Wind speed distribution of Region 1; (b) Wind speed distribution of Region 2; (c) Wind speed distribution of Region 3; (d) Wind speed distribution of Region 4.
Figure 4. Wind speed distribution: (a) Wind speed distribution of Region 1; (b) Wind speed distribution of Region 2; (c) Wind speed distribution of Region 3; (d) Wind speed distribution of Region 4.
Electronics 12 03487 g004aElectronics 12 03487 g004b
Figure 5. Probability density function of Region A and Region B when using different copula types: (a) Frequency histogram; (b) Normal copula; (c) t copula; (d) Clayton copula; (e) Frank copula; (f) Gumbel copula.
Figure 5. Probability density function of Region A and Region B when using different copula types: (a) Frequency histogram; (b) Normal copula; (c) t copula; (d) Clayton copula; (e) Frank copula; (f) Gumbel copula.
Electronics 12 03487 g005aElectronics 12 03487 g005b
Figure 6. Probability density function of Region A and Region C when using different copula types: (a) Frequency histogram; (b) Normal copula; (c) t copula; (d) Clayton copula; (e) Frank copula; (f) Gumbel copula.
Figure 6. Probability density function of Region A and Region C when using different copula types: (a) Frequency histogram; (b) Normal copula; (c) t copula; (d) Clayton copula; (e) Frank copula; (f) Gumbel copula.
Electronics 12 03487 g006aElectronics 12 03487 g006b
Figure 7. Probability density function of Region A and Region D when using different copula types: (a) Frequency histogram; (b) Normal copula; (c) t copula; (d) Clayton copula; (e) Frank copula; (f) Gumbel copula.
Figure 7. Probability density function of Region A and Region D when using different copula types: (a) Frequency histogram; (b) Normal copula; (c) t copula; (d) Clayton copula; (e) Frank copula; (f) Gumbel copula.
Electronics 12 03487 g007
Figure 8. The model accuracy when using the Linear kernel function with different numbers of training data: (a) Linear kernel; (b) Error under linear kernel.
Figure 8. The model accuracy when using the Linear kernel function with different numbers of training data: (a) Linear kernel; (b) Error under linear kernel.
Electronics 12 03487 g008
Figure 9. The model accuracy when using the POLY kernel function with different numbers of training data: (a) POLY kernel; (b) Error under POLY kernel.
Figure 9. The model accuracy when using the POLY kernel function with different numbers of training data: (a) POLY kernel; (b) Error under POLY kernel.
Electronics 12 03487 g009
Figure 10. The model accuracy when using the RBF kernel function with different numbers of training data: (a) RBF kernel; (b) Error under RBF kernel.
Figure 10. The model accuracy when using the RBF kernel function with different numbers of training data: (a) RBF kernel; (b) Error under RBF kernel.
Electronics 12 03487 g010
Figure 11. The model accuracy when using the Hybrid kernel function with different numbers of training data: (a) Hybrid kernel; (b) Error under Hybrid kernel.
Figure 11. The model accuracy when using the Hybrid kernel function with different numbers of training data: (a) Hybrid kernel; (b) Error under Hybrid kernel.
Electronics 12 03487 g011
Figure 12. Evaluation of risk forewarning using SW-ELM and equation: (a) Evaluation of risk forewarning using SW-ELM; (b) Evaluation of risk forewarning using equation.
Figure 12. Evaluation of risk forewarning using SW-ELM and equation: (a) Evaluation of risk forewarning using SW-ELM; (b) Evaluation of risk forewarning using equation.
Electronics 12 03487 g012
Figure 13. Error of risk forewarning between SW-ELM and equation.
Figure 13. Error of risk forewarning between SW-ELM and equation.
Electronics 12 03487 g013
Figure 14. The accuracy of the intelligent risk forewarning model for power system operation, considering the adoption of imbalanced sample training methods and different kernel functions: (a) Safe; (b) Low risk; (c) Miedium risk; (d) High risk; (e) Dangerous.
Figure 14. The accuracy of the intelligent risk forewarning model for power system operation, considering the adoption of imbalanced sample training methods and different kernel functions: (a) Safe; (b) Low risk; (c) Miedium risk; (d) High risk; (e) Dangerous.
Electronics 12 03487 g014
Table 1. Probability density function and tail characteristics of different copula types.
Table 1. Probability density function and tail characteristics of different copula types.
CopulaProbability Density FunctionTail Characteristics
normal C n ( u , v | ρ n ) = ϕ 1 ( u ) ϕ 1 ( v ) 1 2 π 1 ρ n 2 exp ( s 2 2 ρ n s r + r 2 2 2 ρ n 2 ) d s d r symmetrical and progressively independent tail
t C t ( u , k v | ρ t , k ) = ϕ 1 ( u ) ϕ 1 ( v ) 1 2 π 1 ρ t 2 [ 1 + s 2 2 ρ t s r + r 2 2 2 ρ t 2 ] ( k + 2 ) / 2 d s d r symmetrical tail
gumbel C g ( u , v | ρ g ) = exp { [ ( ln u ) ρ g + ( ln v ) ρ g ] 1 / ρ g } asymmetrical tail and sensitive to the upper tail
clayton C c ( u , v | ρ c ) = max [ ( u ρ c + v ρ c 1 ) 1 / ρ c , 0 ] asymmetrical tail and sensitive to the lower tail
frank C f ( u , v | α ) = 1 ρ f ln [ 1 + ( e u 1 ) ( e v 1 ) e ρ f 1 ] symmetrical and progressively independent tail
Table 2. Results of risk division of power system.
Table 2. Results of risk division of power system.
Risk IntervalRisk LevelSystem Response Measures
0 R < 0.8 SafeThe system does not provide any prompts or actions
0.8 R < 2 Low riskPrompts are given when the operator performs operations
2 R < 7 Medium riskThe system maintains a prompt window and displays relevant status information of the power system, issuing warnings when the operator performs operations
7 R < 10 High riskThe system intermittently issues forewarning messages until the risk level decreases, and sends alert messages to the dispatch master station
R 10 DangerousThe system continuously issues forewarning messages until the risk level decreases, and sends alert messages to the main station. It retrieves operational plans from the expert emergency plan database based on the power system accident status.
Table 3. Correlation coefficient of different copulas.
Table 3. Correlation coefficient of different copulas.
Copula TypeRegion A and BRegion A and CRegion A and D
normal copula1.000.381.000.401.000.39
0.381.000.401.000.391.00
t copula1.000.491.000.471.000.47
0.491.000.471.000.471.00
clayton copula0.480.490.50
frank copula0.310.310.32
gumbel copula0.420.430.43
Table 4. Euclidean distance of empirical copula function and the evaluated copula function.
Table 4. Euclidean distance of empirical copula function and the evaluated copula function.
Copula TypeNormaltGumbelClaytonFrank
region A and B2.5112.0061.5725.8992.916
region A and C2.4891.7171.5006.2512.920
region A and D2.6791.8621.6166.5263.104
Table 5. Accuracy of the proposed and comparative risk forewarning methods under different risk levels.
Table 5. Accuracy of the proposed and comparative risk forewarning methods under different risk levels.
Test SystemRisk LevelProposed MethodComparative Method (from [24])
IEEE 39 node systemSafe99.4%99.2%
Low risk99.1%98.7%
Medium risk98.4%98.5%
High risk99.2%98.6%
Dangerous99.5%99.1%
IEEE 118 node systemSafe98.8%99.1%
Low risk99.2%98.6%
Medium risk99.1%98.8%
High risk98.5%99.1%
Dangerous98.6%98.5%
Table 6. Average computational time of the proposed and comparative risk forewarning methods under different risk levels.
Table 6. Average computational time of the proposed and comparative risk forewarning methods under different risk levels.
Test SystemRisk LevelProposed MethodComparative Method (from [24])
IEEE 39 node systemSafe0.00183 s1.20551 s
Low risk0.00192 s1.31562 s
Medium risk0.00201 s1.23578 s
High risk0.00189 s1.26482 s
Dangerous0.00187 s1.32458 s
IEEE 118 node systemSafe0.00245 s2.12358 s
Low risk0.00233 s2.02364 s
Medium risk0.00267 s2.42364 s
High risk0.00289 s2.12036 s
Dangerous0.00264 s2.13658 s
Disclaimer/Publisher’s Note: The statements, opinions and data contained in all publications are solely those of the individual author(s) and contributor(s) and not of MDPI and/or the editor(s). MDPI and/or the editor(s) disclaim responsibility for any injury to people or property resulting from any ideas, methods, instructions or products referred to in the content.

Share and Cite

MDPI and ACS Style

Yao, D.; Han, J.; Li, Q.; Wang, Q.; Li, C.; Zhang, D.; Li, M.; Tian, C. An Intelligent Risk Forewarning Method for Operation of Power System Considering Multi-Region Extreme Weather Correlation. Electronics 2023, 12, 3487. https://doi.org/10.3390/electronics12163487

AMA Style

Yao D, Han J, Li Q, Wang Q, Li C, Zhang D, Li M, Tian C. An Intelligent Risk Forewarning Method for Operation of Power System Considering Multi-Region Extreme Weather Correlation. Electronics. 2023; 12(16):3487. https://doi.org/10.3390/electronics12163487

Chicago/Turabian Style

Yao, Degui, Ji Han, Qionglin Li, Qihang Wang, Chenghao Li, Di Zhang, Muyuan Li, and Chunsun Tian. 2023. "An Intelligent Risk Forewarning Method for Operation of Power System Considering Multi-Region Extreme Weather Correlation" Electronics 12, no. 16: 3487. https://doi.org/10.3390/electronics12163487

APA Style

Yao, D., Han, J., Li, Q., Wang, Q., Li, C., Zhang, D., Li, M., & Tian, C. (2023). An Intelligent Risk Forewarning Method for Operation of Power System Considering Multi-Region Extreme Weather Correlation. Electronics, 12(16), 3487. https://doi.org/10.3390/electronics12163487

Note that from the first issue of 2016, this journal uses article numbers instead of page numbers. See further details here.

Article Metrics

Back to TopTop