Development of Directional 14 MeV-Fusion Neutron Detector Using Liquid-Scintillator-Filled Capillaries
Abstract
1. Introduction
2. Materials and Methods
2.1. Sci. Fi. Detector
2.2. Capillary-Filled Liquid Scintillation Detector
3. Experiments and Simulations
4. Results and Discussions
4.1. Experimental Results with Fast Neutrons at FNL
4.1.1. PSD Capability
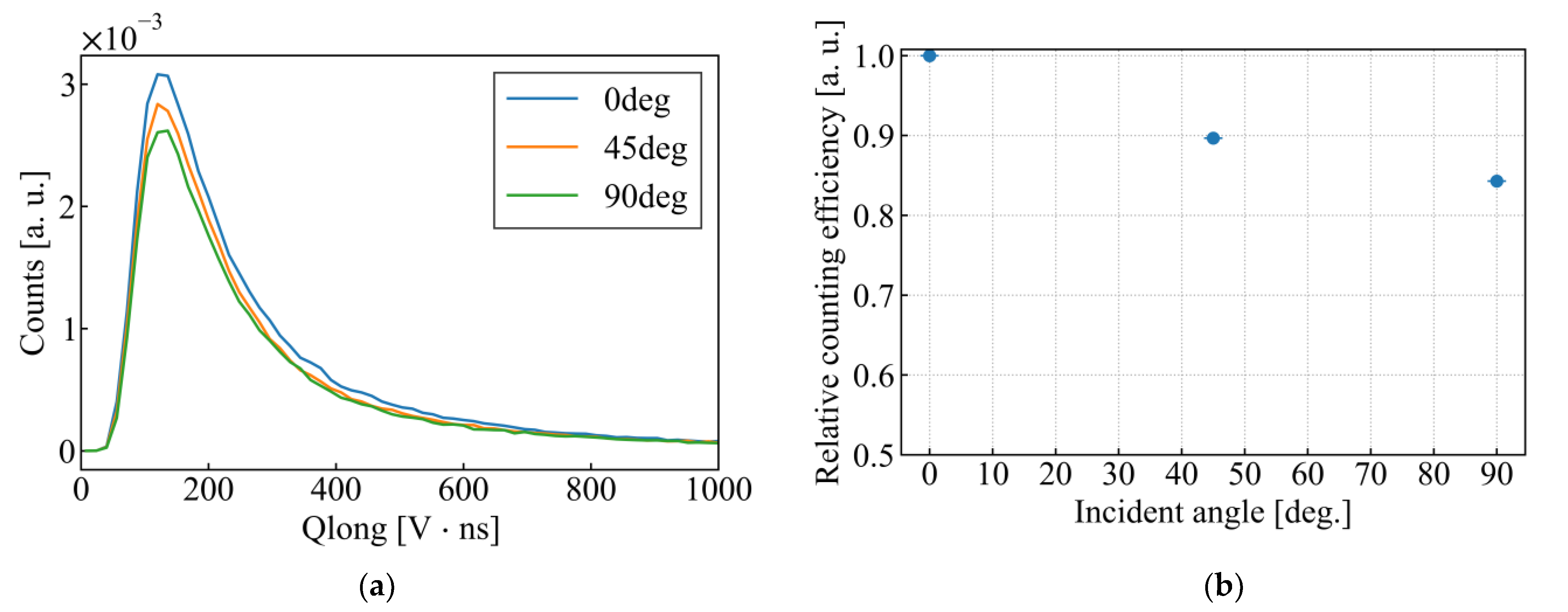
4.1.2. Directionality
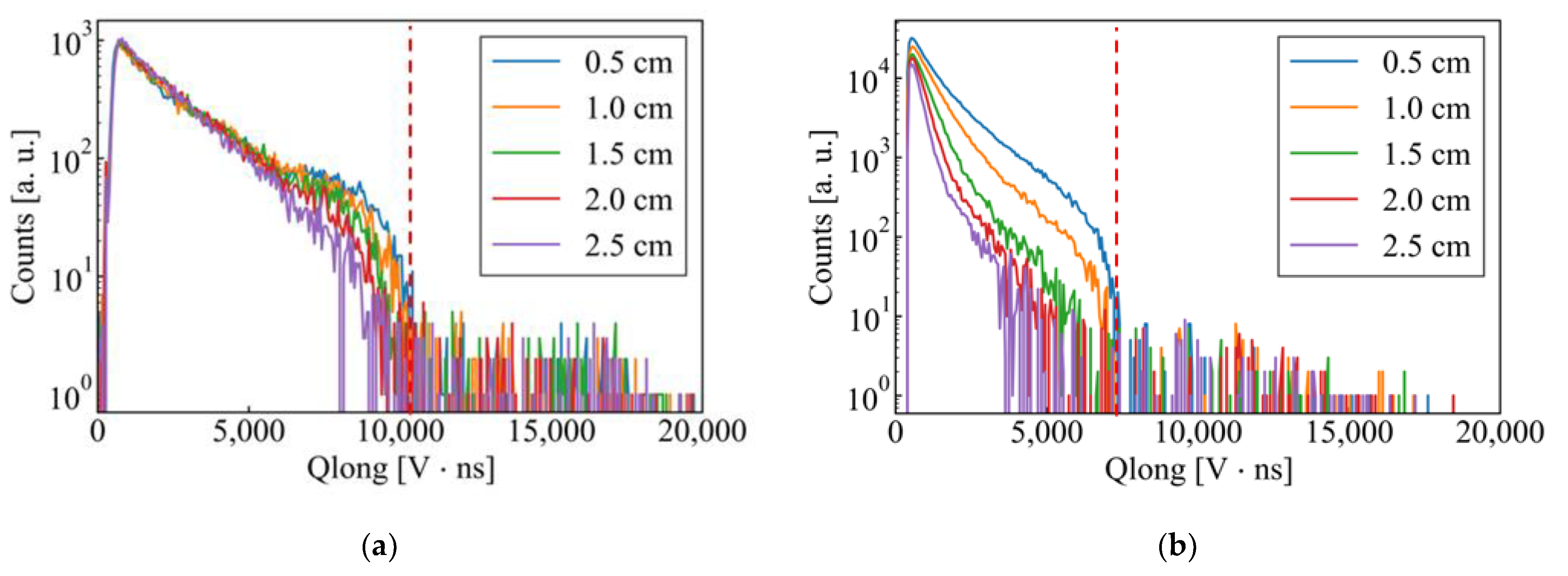
4.2. Experimental Results on Attenuation of Scintillation Photons with a 137Cs Gamma-Ray Source
4.3. Experimental Results with 14 MeV Neutrons at OKTAVIAN
4.4. Comparison between Experimental and Simulation Results
5. Conclusions
Author Contributions
Funding
Data Availability Statement
Conflicts of Interest
References
- Nishitani, T.; Hoek, M.; Harano, H.; Isobe, M.; Tobita, K.; Kusama, Y.; Wurden, G.; Chrien, R. Triton burnup study in JT-60U. Plasma Phys. Control. Fusion 1996, 38, 355. [Google Scholar] [CrossRef]
- Jo, J.; Cheon, M.; Kim, J.Y.; Rhee, T.; Kim, J.; Shi, Y.-J.; Isobe, M.; Ogawa, K.; Chung, K.-J.; Hwang, Y. Triton burnup measurements in KSTAR using a neutron activation system. Rev. Sci. Instrum. 2016, 87, 11D828. [Google Scholar] [CrossRef] [PubMed]
- Isobe, M.; Ogawa, K.; Nishitani, T.; Miyake, H.; Kobuchi, T.; Pu, N.; Kawase, H.; Takada, E.; Tanaka, T.; Li, S. Neutron diagnostics in the large helical device. IEEE Trans. Plasma Sci. 2018, 46, 2050–2058. [Google Scholar] [CrossRef]
- Pu, N.; Nishitani, T.; Ogawa, K.; Isobe, M.; Murakami, S.; Group, L.E. Initial results of triton burnup study in the large helical device. Plasma Fusion Res. 2018, 13, 3402121. [Google Scholar] [CrossRef]
- Ogawa, K.; Isobe, M.; Nishitani, T.; Murakami, S.; Seki, R.; Nakata, M.; Takada, E.; Kawase, H.; Pu, N.; Group, L.E. Time-resolved triton burnup measurement using the scintillating fiber detector in the large helical device. Nucl. Fusion 2018, 58, 034002. [Google Scholar] [CrossRef]
- Ogawa, K.; Isobe, M.; Nishitani, T.; Murakami, S.; Seki, R.; Nuga, H.; Kamio, S.; Fujiwara, Y.; Yamaguchi, H.; Saito, Y. Energetic ion confinement studies using comprehensive neutron diagnostics in the Large Helical Device. Nucl. Fusion 2019, 59, 076017. [Google Scholar] [CrossRef]
- Ogawa, K.; Isobe, M.; Osakabe, M. Progress on integrated neutron diagnostics for deuterium plasma experiments and energetic particle confinement studies in the Large Helical Device during the campaigns from FY2017 to FY2019. Plasma Fusion Res. 2021, 16, 1102023. [Google Scholar] [CrossRef]
- Heidbrink, W.W.; Sadler, G.J. The behaviour of fast ions in tokamak experiments. Nucl. Fusion 1994, 34, 535. [Google Scholar] [CrossRef]
- Bosch, H.S.; Strachan, J.; Barnes, C.W.; Nieschmidt, E. Calibration of a surface barrier detector for 14-MeV neutron flux measurements on TFTR. Rev. Sci. Instrum. 1988, 59, 1718–1720. [Google Scholar] [CrossRef]
- Johnson, L.; Barnes, C.W.; Duong, H.; Heidbrink, W.; Jassby, D.; Loughlin, M.; Roquemore, A.; Ruskov, E.; Strachan, J. Cross calibration of neutron detectors for deuterium-tritium operation in TFTR. Rev. Sci. Instrum. 1995, 66, 894–896. [Google Scholar] [CrossRef]
- Ruskov, E.; Heidbrink, W.; Duong, H.; Roquemore, A.; Strachan, J. Measurement of 14 MeV neutrons at TFTR with Si-diode detectors. Rev. Sci. Instrum. 1995, 66, 910–912. [Google Scholar] [CrossRef][Green Version]
- Flammang, R.W.; Seidel, J.G.; Ruddy, F.H. Fast neutron detection with silicon carbide semiconductor radiation detectors. Nucl. Instrum. Methods Phys. Res. Sect. A Accel. Spectrom. Detect. Assoc. Equip. 2007, 579, 177–179. [Google Scholar] [CrossRef]
- Angelone, M.; Lattanzi, D.; Pillon, M.; Marinelli, M.; Milani, E.; Tucciarone, A.; Verona-Rinati, G.; Popovichev, S.; Montereali, R.; Vincenti, M. Development of single crystal diamond neutron detectors and test at JET tokamak. Nucl. Instrum. Methods Phys. Res. Sect. A Accel. Spectrom. Detect. Assoc. Equip. 2008, 595, 616–622. [Google Scholar] [CrossRef]
- Liu, L.; Liu, A.; Bai, S.; Lv, L.; Jin, P.; Ouyang, X. Radiation resistance of silicon carbide Schottky diode detectors in DT fusion neutron detection. Sci. Rep. 2017, 7, 13376. [Google Scholar] [CrossRef]
- Obraztsova, O.; Ottaviani, L.; Klix, A.; Döring, T.; Palais, O.; Lyoussi, A. Comparing the response of a SiC and a sCVD diamond detectors to 14-MeV neutron radiation. IEEE Trans. Nucl. Sci. 2018, 65, 2380–2384. [Google Scholar] [CrossRef]
- Rebai, M.; Rigamonti, D.; Cancelli, S.; Croci, G.; Gorini, G.; Cippo, E.P.; Putignano, O.; Tardocchi, M.; Altana, C.; Angelone, M. New thick silicon carbide detectors: Response to 14 MeV neutrons and comparison with single-crystal diamonds. Nucl. Instrum. Methods Phys. Res. Sect. A Accel. Spectrometers Detect. Assoc. Equip. 2019, 946, 162637. [Google Scholar] [CrossRef]
- Schmid, G.; Koch, J.; Lerche, R.; Moran, M. A neutron sensor based on single crystal CVD diamond. Nucl. Instrum. Methods Phys. Res. Sect. A Accel. Spectrom. Detect. Assoc. Equip. 2004, 527, 554–561. [Google Scholar] [CrossRef]
- Xu, P.; Yu, Y.; Zhou, H. Fabrication of single-crystal diamond neutron detector and its application in 14.1 MeV neutron detection in deuteriumtritium fusion experiment. Plasma Sci. Technol. 2023, 25, 075101. [Google Scholar] [CrossRef]
- Ogawa, K.; Isobe, M.; Weiss, C.; Griesmayer, E.; Sangaroon, S.; Takada, E.; Masuzaki, S.; Ohtani, H.; Liao, L.; Tamaki, S. Fusion product diagnostics based on commercially available chemical vapor deposition diamond detector in large helical device. J. Instrum. 2023, 18, P01022. [Google Scholar] [CrossRef]
- Kobayashi, M.I.; Yoshihashi, S.; Ogawa, K.; Isobe, M.; Miwa, M.; Toyama, S.; Matsuyama, S.; Osakabe, M. Measurement of 6Li burn-up reaction rate using a single crystal CVD diamond detector under fast neutron irradiation environment. Fusion Eng. Des. 2023, 193, 113799. [Google Scholar] [CrossRef]
- Sailor, W.; Barnes, C.W.; Chrien, R.; Wurden, G. Conceptual design for a scintillating-fiber neutron detector for fusion reactor plasma diagnostics. Rev. Sci. Instrum. 1995, 66, 898–900. [Google Scholar] [CrossRef][Green Version]
- Wurden, G.; Chrien, R.; Barnes, C.W.; Sailor, W.; Roquemore, A.; Lavelle, M.; O’gara, P.; Jordan, R. Scintillating-fiber 14 MeV neutron detector on TFTR during DT operation. Rev. Sci. Instrum. 1995, 66, 901–903. [Google Scholar] [CrossRef][Green Version]
- Nishitani, T.; Isobe, M.; Wurden, G.; Chrien, R.; Harano, H.; Tobita, K.; Kusama, Y. Triton burnup measurements using scintillating fiber detectors on JT-60U. Fusion Eng. Des. 1997, 34, 563–566. [Google Scholar] [CrossRef]
- Ogawa, K.; Isobe, M.; Nishitani, T.; Takada, E.; Kawase, H.; Amitani, T.; Pu, N.; Jo, J.; Cheon, M.; Kim, J. High detection efficiency scintillating fiber detector for time-resolved measurement of triton burnup 14 MeV neutron in deuterium plasma experiment. Rev. Sci. Instrum. 2018, 89, 10I101. [Google Scholar] [CrossRef] [PubMed]
- Takada, E.; Fujisaki, A.; Nakada, N.; Isobe, M.; Ogawa, K.; Nishitani, T.; Tomita, H. Development of fast-neutron directional detector for fusion neutron profile monitor at LHD. Plasma Fusion Res. 2016, 11, 2405020. [Google Scholar] [CrossRef][Green Version]
- Ogawa, K.; Isobe, M.; Sangaroon, S.; Takada, E.; Nakada, T.; Murakami, S.; Jo, J.; Zhong, G.; Zhang, Y.; Tamaki, S. Time-resolved secondary triton burnup 14 MeV neutron measurement by a new scintillating fiber detector in middle total neutron emission ranges in deuterium large helical device plasma experiments. AAPPS Bull. 2021, 31, 20. [Google Scholar] [CrossRef]
- Pu, N.; Nishitani, T.; Ogawa, K.; Isobe, M. Scintillating fiber detectors for time evolution measurement of the triton burnup on the Large Helical Device. Rev. Sci. Instrum. 2018, 89, 10I105. [Google Scholar] [CrossRef]
- Takada, E.; Amitani, T.; Fujisaki, A.; Ogawa, K.; Nishitani, T.; Isobe, M.; Jo, J.; Matsuyama, S.; Miwa, M.; Murata, I. Design optimization of a fast-neutron detector with scintillating fibers for triton burnup experiments at fusion experimental devices. Rev. Sci. Instrum. 2019, 90, 043503. [Google Scholar] [CrossRef]
- Isobe, M.; Ogawa, K.; Sangaroon, S.; Kamio, S.; Fujiwara, Y.; Osakabe, M. Recent development of neutron and energetic-particle diagnostics for LHD deuterium discharges. J. Instrum. 2022, 17, C03036. [Google Scholar] [CrossRef]
- Ogawa, K.; Isobe, M.; Kamio, S.; Nuga, H.; Seki, R.; Sangaroon, S.; Yamaguchi, H.; Fujiwara, Y.; Takada, E.; Murakami, S. Studies of energetic particle transport induced by multiple Alfvén eigenmodes using neutron and escaping energetic particle diagnostics in Large Helical Device deuterium plasmas. Nucl. Fusion 2022, 62, 112001. [Google Scholar] [CrossRef]
- Lee, S.; Nam, Y.; Bak, J.; Juhn, J.; Lee, J.; Lee, K.; Seo, S.; Ko, W.; Ko, J.; Lee, J. Overview and recent progress of KSTAR diagnostics. J. Instrum. 2022, 17, C01065. [Google Scholar] [CrossRef]
- Kawase, H.; Ogawa, K.; Nishitani, T.; Pu, N.; Isobe, M.; Group, L.E. Evaluation of spatial resolution of neutron profile monitor in LHD. IEEE Trans. Plasma Sci. 2018, 47, 462–465. [Google Scholar] [CrossRef]
- Isobe, M.; Ogawa, K.; Sangaroon, S.; Zhong, G.; Fan, T. Recent Progress of Neutron Spectrometer Development for LHD Deuterium Plasmas. Plasma Fusion Res. 2022, 17, 2402008. [Google Scholar] [CrossRef]
- Ishikawa, M.; Nishitani, T.; Morioka, A.; Takechi, M.; Shinohara, K.; Shimada, M.; Miura, Y.; Nagami, M.; Kaschuck, Y.A. First measurement of neutron emission profile on JT-60U using Stilbene neutron detector with neutron-gamma discrimination. Rev. Sci. Instrum. 2002, 73, 4237–4242. [Google Scholar] [CrossRef]
- Itoga, T.; Ishikawa, M.; Baba, M.; Okuji, T.; Oishi, T.; Nakhostin, M.; Nishitani, T. Fast response neutron emission monitor for fusion reactor using stilbene scintillator and flash-ADC. Radiat. Prot. Dosim. 2007, 126, 380–383. [Google Scholar] [CrossRef]
- Baba, M.; Takada, M.; Iwasaki, T.; Matsuyama, S.; Nakamura, T.; Ohguchi, H.; Nakao, T.; Sanami, T.; Hirakawa, N. Development of monoenergetic neutron calibration fields between 8 keV and 15 MeV. Nucl. Instrum. Methods Phys. Res. Sect. A Accel. Spectrom. Detect. Assoc. Equip. 1996, 376, 115–123. [Google Scholar] [CrossRef]
- Schmid, G.; Koch, J.; Lerche, R.; Moran, M. Status of OKTAVIAN I and proposal for OKTAVIAN II. Nucl. Sci. Eng. 1990, 106, 249–265. [Google Scholar]
- Sato, T.; Iwamoto, Y.; Hashimoto, S.; Ogawa, T.; Furuta, T.; Abe, S.-i.; Kai, T.; Tsai, P.-E.; Matsuda, N.; Iwase, H. Features of particle and heavy ion transport code system (PHITS) version 3.02. J. Nucl. Sci. Technol. 2018, 55, 684–690. [Google Scholar] [CrossRef]
- Nishitani, T.; Ogawa, K.; Nishimura, K.; Isobe, M. Radiation field estimation for the diagnostic and control components by Monte Carlo neutronics calculations with LHD 3-dimensional modeling. Plasma Fusion Res. 2016, 11, 2405057. [Google Scholar] [CrossRef][Green Version]
- Sain, G. Available online: https://www.crystals.saint-gobain.com/radiation-detection-scintillators/fibers (accessed on 3 July 2023).
- Satoh, D.; Sato, T. Improvements in the particle and heavy-ion transport code system (PHITS) for simulating neutron-response functions and detection efficiencies of a liquid organic scintillator. J. Nucl. Sci. Technol. 2022, 59, 1047–1060. [Google Scholar] [CrossRef]
- Das, S.; Kashyap, V.K.S.; Mohanty, B. Energy calibration of EJ-301 scintillation detector using unfolding methods for fast neutron measurement. Nucl. Instrum. Methods Phys. Res. Sect. A Accel. Spectrom. Detect. Assoc. Equip. 2022, 1042, 167405. [Google Scholar] [CrossRef]
- Hamamatsu. Available online: https://www.hamamatsu.com/content/dam/hamamatsu-photonics/sites/documents/99_SALES_LIBRARY/etd/R11265U_H11934_TPMH1336E.pdf (accessed on 2 July 2023).
- Eljen Technology. Available online: https://eljentechnology.com/products/liquid-scintillators/ej-301-ej-309 (accessed on 2 July 2023).












Disclaimer/Publisher’s Note: The statements, opinions and data contained in all publications are solely those of the individual author(s) and contributor(s) and not of MDPI and/or the editor(s). MDPI and/or the editor(s) disclaim responsibility for any injury to people or property resulting from any ideas, methods, instructions or products referred to in the content. |
© 2023 by the authors. Licensee MDPI, Basel, Switzerland. This article is an open access article distributed under the terms and conditions of the Creative Commons Attribution (CC BY) license (https://creativecommons.org/licenses/by/4.0/).
Share and Cite
Teshigawara, M.; Takada, E.; Sumida, S.; Shinohara, K.; Nishitani, T.; Siriyaporn, S.; Liao, L.; Ogawa, K.; Isobe, M.; Matsuyama, S.; et al. Development of Directional 14 MeV-Fusion Neutron Detector Using Liquid-Scintillator-Filled Capillaries. Electronics 2023, 12, 3219. https://doi.org/10.3390/electronics12153219
Teshigawara M, Takada E, Sumida S, Shinohara K, Nishitani T, Siriyaporn S, Liao L, Ogawa K, Isobe M, Matsuyama S, et al. Development of Directional 14 MeV-Fusion Neutron Detector Using Liquid-Scintillator-Filled Capillaries. Electronics. 2023; 12(15):3219. https://doi.org/10.3390/electronics12153219
Chicago/Turabian StyleTeshigawara, Masataka, Eiji Takada, Shuhei Sumida, Kouji Shinohara, Takeo Nishitani, Sangaroon Siriyaporn, Longyong Liao, Kunihiro Ogawa, Mitsutaka Isobe, Shigeo Matsuyama, and et al. 2023. "Development of Directional 14 MeV-Fusion Neutron Detector Using Liquid-Scintillator-Filled Capillaries" Electronics 12, no. 15: 3219. https://doi.org/10.3390/electronics12153219
APA StyleTeshigawara, M., Takada, E., Sumida, S., Shinohara, K., Nishitani, T., Siriyaporn, S., Liao, L., Ogawa, K., Isobe, M., Matsuyama, S., Miwa, M., Toyama, S., Murata, I., Tamaki, S., & Kusaka, S. (2023). Development of Directional 14 MeV-Fusion Neutron Detector Using Liquid-Scintillator-Filled Capillaries. Electronics, 12(15), 3219. https://doi.org/10.3390/electronics12153219

