A Novel Parameter Estimation Method Based on Piecewise Nonlinear Amplitude Transform for the LFM Signal in Impulsive Noise
Abstract
1. Introduction
2. The Models of the Signal and the Impulsive Noise
2.1. The LFM Signal Model
2.2. The Impulsive Noise Model
3. The Lv’s Distribution Algorithm
4. The Improved Lv’s Distribution Algorithm
4.1. Piecewise Nonlinear Amplitude Transform (PNAT)
4.2. The Improved PNAT-LVD Algorithm
5. Simulations and Complexity Analysis
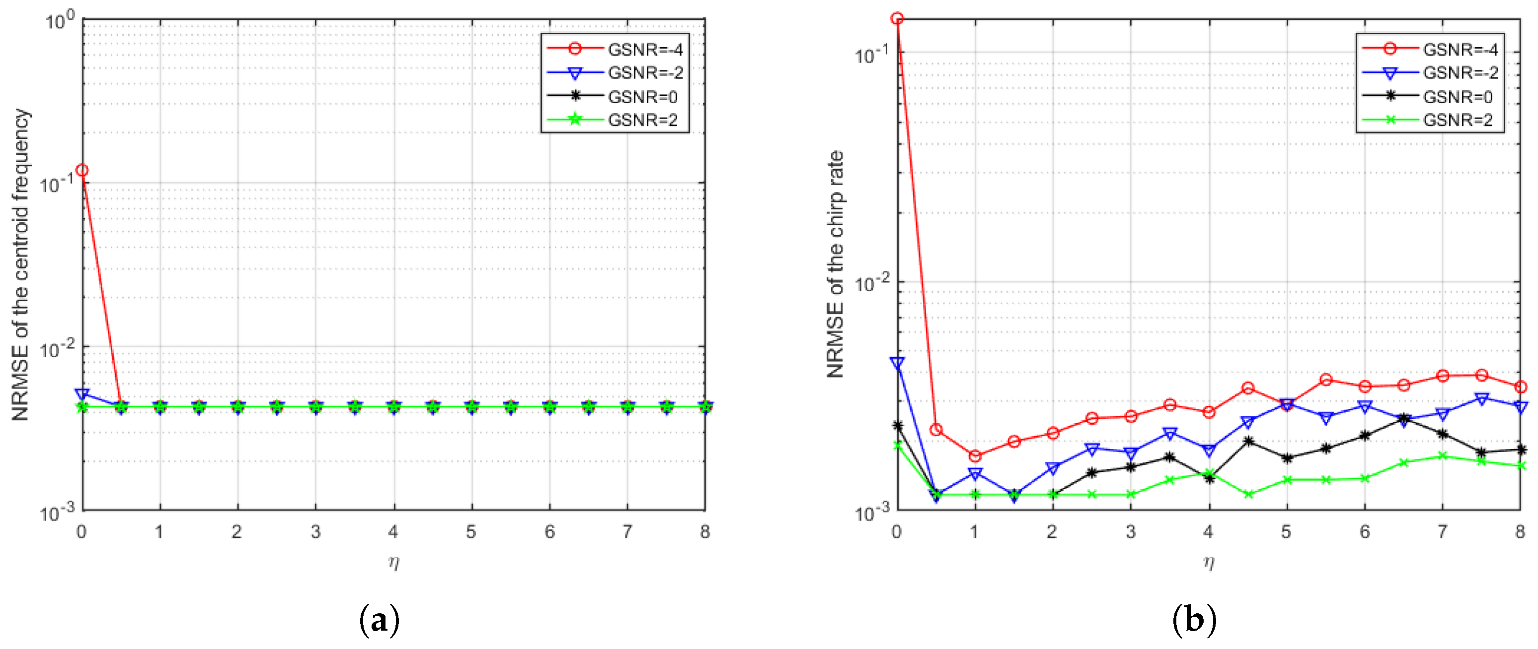
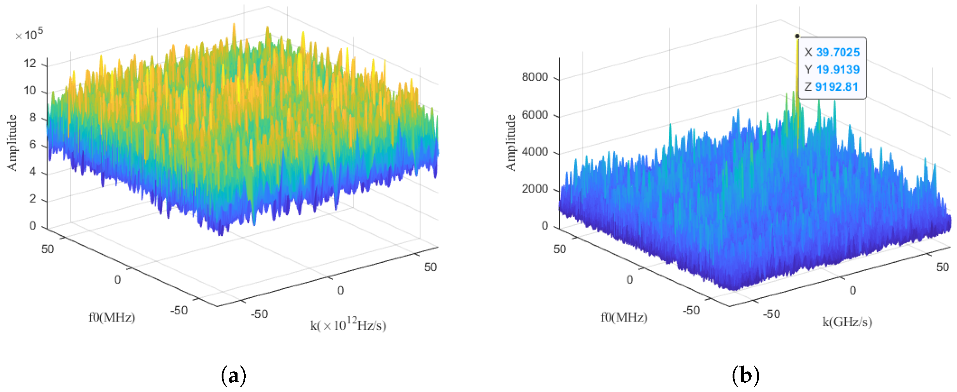
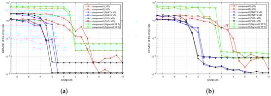
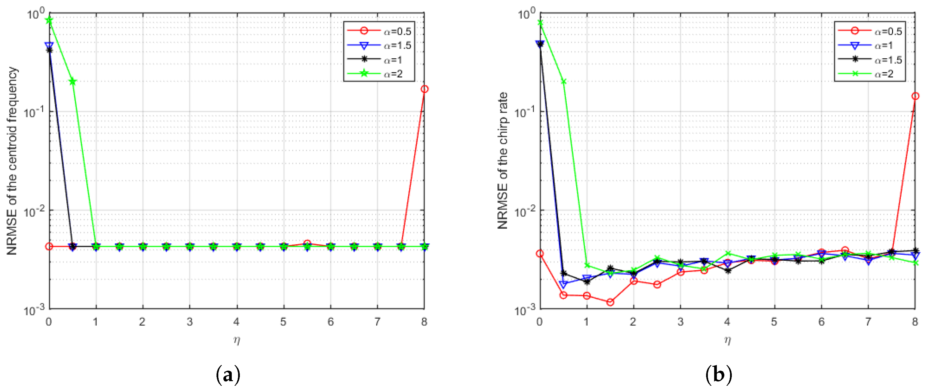
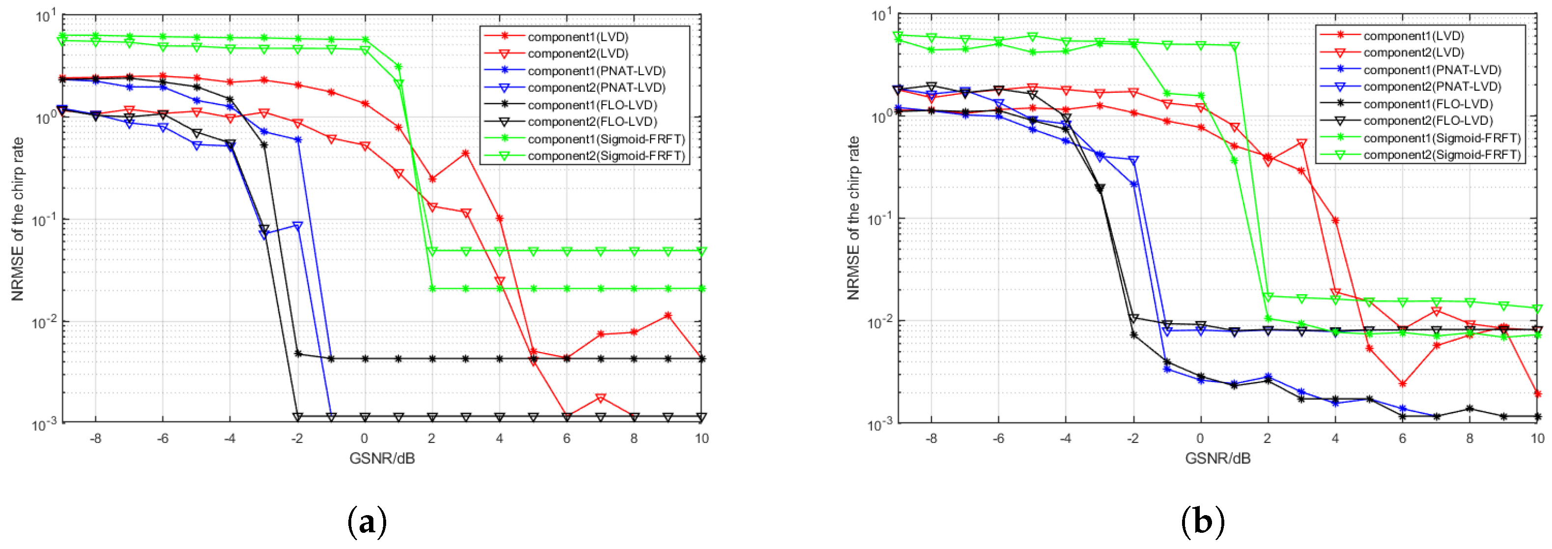
5.1. Simulations
5.2. Complexity Analysis
6. Conclusions
Author Contributions
Funding
Conflicts of Interest
Abbreviations
| LFM | Linear frequency modulation |
| PNAT | Piecewise nonlinear amplitude transform |
| PSIAF | Parametric symmetric instantaneous autocorrelation function |
| LVD | Lv’s distribution |
| PNAT-PSIAF | Piecewise nonlinear amplitude transform parametric symmetric |
| instantaneous autocorrelation function | |
| PNAT-LVD | Piecewise nonlinear amplitude transform Lv’s distribution |
| GSNR | Generalized signal-to-noise ratios |
| LPI | Low probability of intercept |
| MLE | Maximum likelihood estimator |
| CRLB | Cramer–Rao Lower bound |
| FRFT | Fractional Fourier Transform |
| FLO | Fractional low-order |
| SαS | symmetric -stable |
| Probability density function |
References
- Li, D.; Zhan, M.; Su, J.; Liu, H.; Zhang, X.; Liao, G. Performances Analysis of Coherently Integrated CPF for LFM Signal under Low SNR and Its Application to Ground Moving Target Imaging. IEEE Trans. Geosci. Remote Sens. 2017, 55, 6402–6419. [Google Scholar] [CrossRef]
- Martone, M. A multicarrier system based on the fractional Fourier transform for time-frequency-selective channels. IEEE Trans. Commun. 2001, 49, 1011–1020. [Google Scholar] [CrossRef]
- Misaridis, T.; Jensen, J.A. Use of modulated excitation signals in medical ultrasound. Part I: Basic concepts and expected benefits. IEEE Trans. Ultrason. Ferroelectr. Freq. Control 2005, 52, 177–191. [Google Scholar] [CrossRef]
- Atkins, P.R.; Collins, T.; Foote, K.G. Transmit-Signal Design and Processing Strategies for Sonar Target Phase Measurement. IEEE J. Sel. Top. Signal Process. 2007, 1, 91–104. [Google Scholar] [CrossRef]
- Liu, J.; Li, Y.; Li, C.; Gu, C.; Mao, J.F. Accurate Measurement of Human Vital Signs With Linear FMCW Radars Under Proximity Stationary Clutters. IEEE Trans. Biomed. Circuits Syst. 2021, 15, 1393–1404. [Google Scholar] [CrossRef] [PubMed]
- Abatzoglou, T.J. Fast Maximum Likelihood Joint Estimation of Frequency and Frequency Rate. IEEE Trans. Aerosp. Electron. Syst. 1986, AES-22, 708–715. [Google Scholar] [CrossRef]
- Saha, S.; Kay, S.M. Maximum likelihood parameter estimation of superimposed chirps using Monte Carlo importance sampling. IEEE Trans. Signal Process. 2002, 50, 224–230. [Google Scholar] [CrossRef]
- Besson, O.; Ghogho, M.; Swami, A. Parameter estimation for random amplitude chirp signals. IEEE Trans. Signal Process. 1999, 47, 3208–3219. [Google Scholar] [CrossRef]
- Xu, F.; Bao, Q.; Chen, Z.; Pan, S.; Lin, C. Parameter Estimation of Multi-Component LFM Signals Based on STFT+Hough Transform and Fractional Fourier Transform. In Proceedings of the 2018 2nd IEEE Advanced Information Management, Communicates, Electronic and Automation Control Conference (IMCEC), Xi’an, China, 25–27 May 2018; pp. 839–842. [Google Scholar]
- Kishore, T.R.; Sidharth, D.S.; Rao, K.D. Analysis of linear and non-linear frequency modulated signals using STFT and hough transform. In Proceedings of the 2015 IEEE International Symposium on Signal Processing and Information Technology (ISSPIT), Abu Dhabi, United Arab Emirates, 7–10 December 2015; pp. 490–494. [Google Scholar]
- Gulum, T.O.; Erdogan, A.Y.; Yildirim, T.; Pace, P.E. A parameter extraction technique for FMCW radar signals using Wigner-Hough-Radon transform. In Proceedings of the 2012 IEEE Radar Conference, Atlanta, GA, USA, 7–11 May 2012; pp. 0847–0852. [Google Scholar]
- Kalra, M.; Kumar, S.; Das, B. Moving Ground Target Detection with Seismic Signal Using Smooth Pseudo Wigner–Ville Distribution. IEEE Trans. Instrum. Meas. 2020, 69, 3896–3906. [Google Scholar] [CrossRef]
- Erdogan, A.Y.; Gulum, T.O.; Durak-Ata, L.; Yildirim, T.; Pace, P.E. FMCW Signal Detection and Parameter Extraction by Cross Wigner–Hough Transform. IEEE Trans. Aerosp. Electron. Syst. 2017, 53, 334–344. [Google Scholar] [CrossRef]
- Moghadasian, S.S. A Fast and Accurate Method for Parameter Estimation of Multi-Component LFM Signals. IEEE Signal Process. Lett. 2022, 29, 1719–1723. [Google Scholar] [CrossRef]
- Serbes, A. On the Estimation of LFM Signal Parameters: Analytical Formulation. IEEE Trans. Aerosp. Electron. Syst. 2018, 54, 848–860. [Google Scholar] [CrossRef]
- Aldimashki, O.; Serbes, A. Performance of Chirp Parameter Estimation in the Fractional Fourier Domains and an Algorithm for Fast Chirp-Rate Estimation. IEEE Trans. Aerosp. Electron. Syst. 2020, 56, 3685–3700. [Google Scholar] [CrossRef]
- Yang, T.; Shao, J.; Chen, Y.; Zhao, Y. Parameter estimation of multi component LFM signals based on nonlinear mode decomposition and FrFT. In Proceedings of the 2018 Tenth International Conference on Advanced Computational Intelligence (ICACI), Xiamen, China, 29–31 March 2018; pp. 204–209. [Google Scholar]
- Jin, Y.; Duan, P.; Ji, H. LFM Signal Parameter Estimation Based on LVD in Complex Noise Environment. J. Electron. Inf. Technol. 2014, 36, 1106–1112. [Google Scholar]
- Lv, X.; Bi, G.; Wan, C.; Xing, M. Lv’s Distribution: Principle, Implementation, Properties, and Performance. IEEE Trans. Signal Process. 2011, 59, 3576–3591. [Google Scholar] [CrossRef]
- Li, L.; Qiu, T.S. A Robust Parameter Estimation of LFM Signal Based on Sigmoid Transform Under the Alpha Stable Distribution Noise. Circuits Syst. Signal Process. 2019, 38, 3170–3186. [Google Scholar] [CrossRef]
- Li, L.; Younan, N.H.; Shi, X. Joint Estimation of Doppler Stretch and Time Delay of Wideband Echoes for LFM Pulse Radar Based on Sigmoid-FRFT Transform under the Impulsive Noise Environment. Electronics 2019, 8, 121. [Google Scholar] [CrossRef]
- Jin, K.; Lai, T.; Wang, Y.; Li, G.; Zhao, Y. Radar coherent detection for Doppler-ambiguous maneuvering target based on product scaled periodic Lv’s distribution. Signal Process. 2020, 174, 107617. [Google Scholar] [CrossRef]
- Moghadasian, S.S.; Gazor, S. Sparsely Localized Time-Frequency Energy Distributions for Multi-Component LFM Signals. IEEE Signal Process. Lett. 2020, 27, 6–10. [Google Scholar] [CrossRef]
- Chen, C.; Xu, W.; Dai, J.; Zhou, Y.; Zhang, Y. Performance Analysis of Gini Correlator for Detecting Known Signals in Impulsive Noise. IEEE Access 2019, 7, 153300–153316. [Google Scholar] [CrossRef]
- Liu, M.; Han, Y.; Chen, Y.; Song, H.; Yang, Z.; Gong, F. Modulation Parameter Estimation of LFM Interference for Direct Sequence Spread Spectrum Communication System in Alpha-Stable Noise. IEEE Syst. J. 2021, 15, 881–892. [Google Scholar] [CrossRef]
- Wang, J.; Kuruoglu, E.E.; Zhou, T. Alpha-Stable Channel Capacity. IEEE Commun. Lett. 2011, 15, 1107–1109. [Google Scholar] [CrossRef]
- Jin, Y.; Liu, J. Parameter estimation of frequency hopping signals based on the Robust S-transform algorithms in alpha stable noise environment. AEU Int. J. Electron. Commun. 2016, 70, 611–616. [Google Scholar] [CrossRef]
- Li, L.; Younan, N.H.; Shi, X. A novel parameter estimation method based on a tuneable sigmoid in alpha-stable distribution noise environments. Sensors 2018, 18, 3012. [Google Scholar] [CrossRef] [PubMed]
- Li, L.; Niu, T.; Ji, H.; Han, H.; Liu, Y. Accurate parameter estimation of chirp class signals under low SNR. In Proceedings of the 2016 IEEE International Conference on Signal and Image Processing (ICSIP), Beijing, China, 13–15 August 2016; pp. 412–416. [Google Scholar]
- Liu, C.; Luo, Y.; Sun, H.; Xu, Y.; Yu, Z. Application of LV’s distribution on the parameter estimation of multicomponent radar emitter signals. In Proceedings of the International Conference on Radar Systems (RADAR 2022), Hybrid Conference, Edinburgh, UK, 24–27 October 2022; pp. 653–656. [Google Scholar]
- Zheng, J.; Liu, H.; Liu, Q.H. Parameterized Centroid Frequency-Chirp Rate Distribution for LFM Signal Analysis and Mechanisms of Constant Delay Introduction. IEEE Trans. Signal Process. 2017, 65, 6435–6447. [Google Scholar] [CrossRef]
- Jin, Y.; Chen, P.; Ji, H. Parameter Estimation of LFM Signals Based on Compress Transform Function in Impulsive Noise. J. Electron. Inf. Technol. 2021, 43, 277–283. [Google Scholar]
- Chen, M.; Xing, H.; Wang, H. Multipath time delay estimation method of LFM signals based on NAT function in impulsive noise. J. Electron. Meas. Instrum. 2022, 36, 73–81. [Google Scholar]














| The Signal Components | The Normalized Amplitude | The Pulse Width (μs) | The Centroid Frequency (MHz) | The Chirp Rate ( Hz/s) | The Sample Frequency (MHz) |
|---|---|---|---|---|---|
| Component 1 | 1 | 2 | 20 | 40 | 256 |
| Component 2 | 1 | 2 | 40 | −20 | 256 |
| Characteristic Index | Parameters | LVD | FLO-LVD | Sigmoid-FRFT | PNAT-LVD |
|---|---|---|---|---|---|
| 1 dB | −5 dB | −2 dB | −5 dB | ||
| k | 1 dB | −5 dB | −2 dB | −5 dB | |
| - | −2 dB | −1 dB | −6 dB | ||
| k | - | −2 dB | −1 dB | −6 dB |
| Characteristic Index | Parameters | The Signal Components | LVD | FLO-LVD | Sigmoid-FRFT | PNAT-LVD |
|---|---|---|---|---|---|---|
| component 1 | 5 dB | −2 dB | 2 dB | −1 dB | ||
| component 2 | 6 dB | −2 dB | 2 dB | −1 dB | ||
| k | component 1 | 4 dB | −2 dB | 2 dB | −1 dB | |
| component 2 | 5 dB | −2 dB | 2 dB | −1 dB | ||
| component 1 | - | 2 dB | 2 dB | −3 dB | ||
| component 2 | - | 1 dB | 2 dB | −4 dB | ||
| k | component 1 | - | 2 dB | 2 dB | −3 dB | |
| component 2 | - | 1 dB | 2 dB | −3 dB |
| Algorithm | Computational Cost |
|---|---|
| LVD | |
| FLO-LVD | |
| Sigmoid-FRFT | |
| PNAT-LVD |
Disclaimer/Publisher’s Note: The statements, opinions and data contained in all publications are solely those of the individual author(s) and contributor(s) and not of MDPI and/or the editor(s). MDPI and/or the editor(s) disclaim responsibility for any injury to people or property resulting from any ideas, methods, instructions or products referred to in the content. |
© 2023 by the authors. Licensee MDPI, Basel, Switzerland. This article is an open access article distributed under the terms and conditions of the Creative Commons Attribution (CC BY) license (https://creativecommons.org/licenses/by/4.0/).
Share and Cite
Wang, H.; Zhang, Q.; Cheng, W.; Dong, J.; Liu, X. A Novel Parameter Estimation Method Based on Piecewise Nonlinear Amplitude Transform for the LFM Signal in Impulsive Noise. Electronics 2023, 12, 2530. https://doi.org/10.3390/electronics12112530
Wang H, Zhang Q, Cheng W, Dong J, Liu X. A Novel Parameter Estimation Method Based on Piecewise Nonlinear Amplitude Transform for the LFM Signal in Impulsive Noise. Electronics. 2023; 12(11):2530. https://doi.org/10.3390/electronics12112530
Chicago/Turabian StyleWang, Haiying, Qunying Zhang, Wenhai Cheng, Jiaming Dong, and Xiaojun Liu. 2023. "A Novel Parameter Estimation Method Based on Piecewise Nonlinear Amplitude Transform for the LFM Signal in Impulsive Noise" Electronics 12, no. 11: 2530. https://doi.org/10.3390/electronics12112530
APA StyleWang, H., Zhang, Q., Cheng, W., Dong, J., & Liu, X. (2023). A Novel Parameter Estimation Method Based on Piecewise Nonlinear Amplitude Transform for the LFM Signal in Impulsive Noise. Electronics, 12(11), 2530. https://doi.org/10.3390/electronics12112530

