Abstract
The 6G Internet of Things (IoT) is of utmost importance when it comes to running and controlling contemporary supply chains. Blockchain and machine learning (ML) are two upper-layer technologies that can assist with securing and automating the IoT. First, we propose integrating blockchain technology into modern supply chains to facilitate effective communication among all partners. Second, for inbound logistics task prediction, we develop Multi-Head Attention (MHA)-Based Gated Recurrent Unit (GRU). Finally, numerical findings demonstrate that the MHA-Based GRU model has satisfying fitting efficiency and prediction precision compared to its competitors.
1. Introduction
Globalization, rising product lifecycle dynamics, and mass customization have had a significant impact on the manufacturing industry [1,2]. To reduce production and administrative expenses, the majority of modern manufacturers today outsource the creation of individual components to third-party vendors. The primary focuses of a contemporary manufacturer are product development, integration, and marketing. Critical steps in the supply chain process include sourcing and manufacturing components, assembling finished goods, and moving them to retail outlets for sale [3]. The supply chain also incorporates supplier management and product management.
The key to improving the competitiveness of modern manufacturing companies lies in improving the efficiency of their production and operations, especially effective product quality control. Production plan changes, poor logistics, and rework caused by product defects can seriously affect supply chain management. Therefore, modern enterprise supply chain management should actively shift from reactive response to proactive prevention. However, proactive prevention of supply chain management may result in higher management costs as well as redundancy and inefficiency of the system [4]. Currently, product quality inspection is generally analyzed subjectively by professional technicians using qualitative methods. However, using predictive models to predict the quality of products in advance and to ensure continuous improvement of product quality may yield higher benefits in the future.
The Internet of Things (IoT) has important implications for the development of supply management. IoT tracking technology has come a long way in the past decade. An IoT tracking system contains four main components: an IoT device tag, a location system, a location engine, and communication with the cloud platform. As location systems and wireless communication technologies have matured, IoT trackers can now be used to monitor the location of IoT products in real time. However, modern supply chain technology advances have driven the emergence of more complex and diverse industrial application scenarios with higher performance requirements, and IoT tracking solutions to meet the needs of these scenarios are still in their infancy. In the literature [5], the authors investigate a solution to the bullwhip effect based on IoT technology to ensure real-time transmission and sharing of information among parties in the supply chain. In the literature [6], the authors studied the application of IoT technology in logistics enterprises and analyzed the impact of IoT on various aspects of logistics management. In the literature [7], the authors comprehensively investigated the security issues and challenges in supply chain management. In the literature [8], the authors apply machine learning (ML) to supply management, which can maximize the value of information sharing and data flow by integrating ML technology into various tools for supply chain management.
Strong assistance from current network technology is essential for identifying, real-time tracking, and exchanging information about commodities in the supply chain. All things inside a territory may now be linked together and communicate with one another thanks to IoT and 4G/5G public land mobile network. However, the terrestrial network’s scope of services is so narrow that it is unable to cover areas such as deep space, deep sea, and the polar regions. The expectations of the worldwide industry for 6G are starting to converge at this point. The first step is for the globe to become fully interconnected. Basically, 6G will bring together the digital and real worlds. Second, in terms of pervasive computing, the word “ubiquitous” suggests that consumers all over the world would have constant access to 6G services that use artificial intelligence tools such as ML. At the same time, with the development of marine tourism, marine emergency rescue, and the continuous increase in the number of ships at sea, underwater networks are becoming more and more important. The demand for underwater network services is constantly increasing. The importance of the ocean in the IoT system is becoming increasingly prominent, and underwater network technology is also developing. With the help of 6G technology, the Space–Air–Ground–Sea Integrated Network (SAGSIN) is constantly developing, the SAGSIN infrastructure is constantly optimized, and the coverage and transmission speed of the communication system are significantly improved.
The SAGSIN is a four-layer large-scale network consisting of a sky network layer, an empty network layer, a ground network layer, and an underwater network layer. The sky network layer is composed of satellites, the empty network layer is composed of high- and low-altitude BSs (e.g., high-altitude platforms, drones, etc.), the ground network layer is composed of legacy BSs, and the underwater network layer is composed of underwater hubs, ships, etc. [9]. Significant advantages such as sub-millisecond delay, Tbps data bandwidth, and centimeter-level positioning make 6G technology widely used between IoT devices. In the industrial field, with the help of 6G and IoT technology, supply chain management technology will also become more and more intelligent.
Many enterprises that were not aware of the advantages of digital solutions have been feeling the advantages of cloud technology and mobile communication technology from all aspects in recent years. This has led to a significant transformation of the supply chain industry over the years. The problems of identification, traceability, and real-time tracking of goods in the original supply chain have been effectively improved. From commodity traceability to warehouse management, IoT technology has brought great changes to the supply chain.
The IoT enables the collection, transport, storage, and sharing of logistics information for improved supply chain partner cooperation and interoperability. Given the worry over the sustainability of quality in certain industries, such as the pharmaceutical supply chain, there is a great deal of focus on the regular monitoring and verification of quality assurance and quality of experience activities throughout the supply chain network. To be applied in industrial production, IoT solutions must meet actual needs and meet enterprise standards. Designing a more effective information model for traceability systems improves business efficiency and has a positive impact on the supply chain.
In the information society, almost every enterprise cannot do without a supply chain network, and tracking and monitoring all aspects of product design, production and distribution, and sales through the supply chain network is the fundamental guarantee for efficient operation of the enterprise. However, the management of a supply chain network should not only complete the normal various functions, but also be able to deal with various abnormal situations and improve the security of the network in order to avoid enterprises from falling into some unpredictable risks. For example, due to the lack of supply chain security management, some criminals may take advantage of this loophole to engage in the production and sale of counterfeit or pirated goods. This will not only cause economic loss to consumers, but also affect the social reputation of the enterprise, and in serious cases, it may bring troublesome legal problems to the enterprise.
Blockchain has seen some early success in recent years in areas such as trade finance and industrial Internet [10]. User privacy and reliability issues related to smart grids have received a lot of academic attention recently [11,12,13,14,15,16,17,18,19,20]. For instance, [11,12] detailed the use of blockchain in the energy Internet and identified a number of issues that were caused by it. A review of blockchain applications for smart grids and new frameworks was presented in [13]. The combination of blockchain technology and energy industry involves energy trading, smart power distribution, and smart grid management, as discussed in [14]. Blockchain provides a decentralized trust framework for distributed energy operations. Relevant scholars have further studied the impact of blockchain on point energy transactions and used blockchain to allocate energy [15,16,17,18,19]. Distributed energy with blockchain mechanism was reviewed in [20].
In all aspects of modern enterprise supply chain management, a large number of networked devices such as RFID readers, mobile communication devices, network cameras, and IoT terminals will generate massive amounts of data. Based on the analysis of these big data, companies can enhance the decision-making process in the supply chain and help companies make the best operating model and operational decisions. Because of this, blockchain will have a record amount of data, which will significantly accelerate the globalization of technologies. Blockchain will be able to offer trustworthy tracking, tracing, and spread-out point-to-point transactional capabilities for billions of products throughout the world. The inadequacies of IoT’s weak safety and privacy, lack of confidence in virtual exchanges, and insufficient protection of ownership rights can only be partially made up for by blockchain technology. The growth of IoT and new business models will be significantly aided by the decentralization of blockchain, preservation of the privacy of transaction information, prevention of tampering with historical data, and traceability.
Our goal is to forecast the future flow of incoming logistics using big data, machine learning, and blockchain technology for incoming logistics planning. The application of machine learning to a supply chain network can automate and simplify its administration by streamlining its operations. Specifically, machine learning can be used to estimate product demand and swiftly change logistics management to provide rapid responses to client requests. This research integrates machine learning into the logistics planning process based on business knowledge of inbound logistics planning [21,22].
The main contributions of this work are summarized as follows. We propose an integrated architecture that applies 6G IoT, blockchain, and ML to supply chain management. Blockchain and ML are two upper-layer technologies that contribute to IoT security and automation. First, we embed blockchain technology to modern supply chains to secure efficient communication among all partners. Second, we develop a Multi-Head Attention-based Gated Recurrent Unit (MHA-GRU) for inbound logistics task prediction. Compared with other schemes, the MHA-GRU has higher fitting efficiency and prediction accuracy.
The reminder of this paper is organized as follows. Section 2 introduces the basics of supply chain management as well as the integration of 6G IoT tracking, blockchain, and machine learning. Section 3 develops an automatic approach to predict inbound logistics tasks by using Multi-Head Attention-Based GRU. Section 4 presents the numerical results to justify the performance of our design, followed by Section 5 to conclude this paper.
2. 6G IoT for Blockchained Supply Chain Management
2.1. Basics of 6G IoT
With the research of the sixth-generation wireless network 6G technology and other technological advances, the development of IoT has been further promoted. Ultra-low latency, high throughput, and large-scale coverage are the advantages of 6G technology over previous generations of communication technologies. These are also examples of how 6G is expected to provide new service quality and improve user experience in today‘s IoT systems. Thanks to the superior capabilities of the 6G-based IoT network, IoT data processing, data transmission, wireless communications, and network management will be continuously optimized. In terms of service quality and user experience, the current IoT system will also continue to improve with the help of 6G. Based on the above, the combination of 6G and the IoT is receiving more and more attention from scholars and industry.
Figure 1 is a landscape representation of the future 6G IoT network. There are several difficult requirements that 6G IoT must meet in order to fully actualize the intelligent information society by 2030. These include the following. (1) Low latency and high reliability IoT communication: Although URLLC has been introduced into various applications of 5G-based IoT in the past, it needs autonomous IoT devices to support new applications in 6G-IoT networks. (2) Massive IoT device access: With the development of science and technology, the number of smart devices accessing the mobile IoT is growing rapidly, and the 5G network can no longer support it. (3) Expansion of IoT network coverage: Large-scale Space–Air–Ground Integrated Network (SAGIN) will be applied on a large scale to future IoT networks, thus expanding the network coverage of IoT.
Figure 1.
A panorama of the 6G IoT network.
2.2. 6G-Based IoT Tracking
People utilize location for a variety of services in mobile communications, including navigation and location-based services as shown in Figure 2. Making something local or limiting it to a certain area is the process of localization. In comparison to 5G’s 2D positioning precision of 10 cm, 6G is anticipated to attain a positioning accuracy of 1 cm in 3D.
Figure 2.
Integrated 6G radio service.
Advanced algorithms based on GNSS and A-GNSS may greatly enhance positioning when used outside, but they perform less effectively inside. A superior option is positioning and tracking technology based on 6G cellular networks since base station transceiver components are widely accessible and have solid placements. Additionally, because every mobile device has a signal strength sensor, cellular-based locating and tracking technology may connect to them without the need for extra hardware. Location may be established with at least three readings (from three cell towers or transceivers).
High-precision indoor positioning is possible if positioning and sensors can be coupled. This opens up a wide range of new industries and uses, from robots to drones. Although we exclusively talk about user plane applications, localization may also be used in control plane signals. There will be both static and dynamic devices in any given region, including people, cars, and IoT or M2M devices. Radio resources, such as any spectrum, code, resource block, etc., may be placed properly to optimize for the best cell throughput, maximum capacity, and lowest latency.
2.3. 6G IoT-Based Supply Chain Management
In general, supply chain management includes three stages: supply chain design, supply chain planning, and supply chain operation, as shown in Figure 3. Effective supply chain management often needs to take into account the uncertainty of decisions related to product and capital flows. In this respect, it would be significantly beneficial to implement 6G IoT as the management infrastructure.
Figure 3.
Three decision-making phases in supply chain.
- Supply Chain Design: It is a long-term decision made by the company according to its long-term development goals, and generally will not be changed in a short period of time, unless there is a major mistake in the management decision initially made. Such decisions are usually at the strategic level of the company’s development, including both the company’s internal operation strategy and the cooperation strategy with outsourcing companies, and are the backbone of the company’s supply chain network.
- Supply Chain Planning: At this stage, the company integrates all short-term tasks under the designed supply chain framework and makes reasonable planning. These tasks include supply demand, inventory strategy, marketing target, and price strategy. The purpose of this stage is to provide reasonable planning for short-term operational realization to ensure supply chain surplus. Moreover, if the planning stage can proceed smoothly, it shows that the strategic decision of supply chain design can be guaranteed.
- Supply Chain Operation: It is the stage of real-time operation of the supply chain network, which reflects the real-time flow of products at each node in the network. Depending on the speed of response and progress, the next node typically needs to make a corresponding decision quickly within minutes, hours, or days. For example, in the process from when a customer initiates an order request to when a product is received, multiple different network nodes may be designed, and each node responds according to its own status and received requests, and makes the next decision.
- 6G IoT Networks: The rapidly growing paradigm of IoT will play a critical role in supply chain management. With 6G, airborne anchor nodes (AN) can provide relay services and aid in the localization of terrestrial IoT sensors. Using a group of UAVs outfitted with received signal strength indicator (RSSI) sensors, for instance, the enterprise may track a trunk carrying sensor-enabled merchandise, which can be considered a mobile IoT device with an unknown position.
2.4. Challenges for Supply Chain
Modern enterprise supply chain management has become an important goal for the development of various industries, and researchers have applied big data, machine learning, IoT, and blockchain technologies to supply chain management for better efficiency, reliability, and security. However, modern enterprise supply chain management still faces the following challenges.
- The area covered by supply chain management will be unprecedentedly broad, covering not only emerging industries such as urban logistics and e-commerce, but also many traditional manufacturing and sales industries will establish modern supply chain networks. This requires the study of a common modern supply chain network model, and requires the model to have flexible industry applicability and high usability.
- Supply chain security management is an important goal of modern enterprise development. Unlike the traditional industry operation model, the supply chain management of modern information network-based enterprises faces many potential threats and security attacks. Therefore, it is necessary to establish a secure reference model for modern enterprise supply chain management so that enterprise data and transactions can be transmitted, exchanged, and processed for analysis in a secure environment.
Big data analytics and machine learning algorithms will play an increasingly important role in supply chain network management. Given the special needs of supply chain networks, the functional and performance specifications for large-scale data analytics and computer learning algorithms are more stringent. For example, there is an extremely high demand for privacy protection of data and security of transactions in supply chain networks, so big data analytics and machine learning algorithms need to have extremely high privacy protection capability and distributed security processing capability.
2.5. Advantage of Blockchain
The aforementioned drawbacks, such as insufficient property right protection, weak security and privacy, and the lack of confidence in virtual exchanges, are expected to be remedied by blockchain technology. The growth of the IoT supply chain will be successfully aided by the decentralization of blockchain, transactional information, privacy security, and historical data anti-tampering in the smart grid.
Blockchain can greatly cut labor costs and transaction times by automating a variety of transaction operations. For instance, IBM employs blockchain technology to address the issues with contracts for temporary labor and has created equivalent solutions for invoice reconciliation to address the issues with invoices brought on by temporary labour [23]. In addition to ensuring that payment conditions are followed and eliminating invoice dispute situations, reconciliation using a digital ledger may significantly lower reconciliation costs and accelerate work processes. Blockchain technology has been a breath of fresh air to the corporate world by serving as a shared digital ledger for documenting transactions.
From a layered perspective, the blockchain system consists of the network, consensus, application, and meta-application layers, as shown in Figure 4 [22]. The network layer is used to implement the blockchain network and information transfer among all nodes. The consensus layer allows decentralized nodes to agree on the validity of relevant data. The application layer encapsulates various application scenarios of blockchain, while the meta-application layer provides various standard functions for the application layer.
Figure 4.
Layered structure of blockchain systems.
2.6. Machine Learning Applications in Supply Chain
The application of computer learning to supply chain management will be a major feature of modern supply chain network and an important guarantee to realize efficient operation of modern supply chain network [8]. Traditional supply chain management has poor information integration and predictive analysis capabilities, while modern supply chain management based on machine learning and analysis of massive data will keep on improving this situation. Machine learning creates management models based on enterprise operations and business characteristics, and makes accurate production and scheduling decisions by analyzing the inputted big data. Further, the management model can also be readjusted to make the supply chain management better day by day by measuring the production and operation of the enterprise and the revenue status over a period of time. At the same time, local data offloading and access control issues for different system components will be resolved with the use of blockchain innovation to the supply chain [24,25]. When computer resources are few, it is possible to implement the dispersed deployment of a variety of resources to guarantee information on transaction traceability. The broad deployment of the mobile edge computing (MEC) servers will make it simple to manage IoT devices on the blockchain and save their information and data.
Machine learning is most commonly used in supply chain management for product demand forecasting and product production forecasting. Product demand information is derived from marketing, financial, and production data, as well as other non-product factors such as seasonality or “special events”. Based on these data and influencing factors, learning is used to accurately forecast customer demand for products. Further, the company adjusts the production status of the product based on the forecasted demand and the current product inventory and production capacity. Product production forecasting is used to measure the production capacity of a certain product and the ability of coordination and cooperation between different outsourcers. This is an important management process in the supply chain. Accurate production forecasting helps companies to order raw materials and coordinate production plans for different products in a prompt and precise way, so that they can fulfill customer orders quickly and speed up product distribution and reduce inventory, thus reducing costs and increasing revenues.
Machine learning algorithms should be able to meet the dynamic and diverse demand applications. Different supply chain networks have different demands for applications and different time accuracy and location of demand changes. Therefore, the factors affecting demand forecasting and production forecasting are diverse, dispersed, complex, and unstable, which poses a serious challenge to machine learning-based supply chain management. In addition, due to some uncertain safety factors, machine learning needs to be trained safely. Therefore, machine learning-based blockchain is an effective way to ensure the safety of the machine learning model training process. Figure 5 illustrates the system architecture of blockchain with smart contract to realize ML intelligence.
Figure 5.
System architecture of blockchain with smart contract.
Currently, in the context of the raging global COVID-19 epidemic, vaccinating the global population with the COVID-19 vaccine is one of the challenging tasks faced in supply chain management [14]. COVID-19 vaccine supply chain management should be manageable, operational, and auditable for relevant government departments and stakeholders such as manufacturers, but also visible and accessible to the general public to gain their trust and support. The current vaccine supply chain fails to include vaccine manufacturers, distributors, hospitals, and government departments in this unified platform. This calls for a COVID-19 vaccine supply chain network based on big data analytics and machine learning to be launched as soon as possible to achieve success in the global immunization campaign.
In COVID-19 vaccine supply chain management, machine learning will play an important role in predicting vaccination demand and managing vaccination regions and populations. For example, if big data analysis shows that the population in a certain region is more inclined to receive a specific vaccine, the supply chain network will have to make timely decisions based on this analysis to increase the production and targeted deployment of that vaccine. For example, if a certain vaccine has special requirements for transportation and storage conditions, the supply chain network should market and promote this vaccine to regions that meet the storage conditions and select logistics companies that meet the transportation conditions as partners.
Therefore, machine learning-based algorithms in the COVID-19 vaccine supply chain network need to consider a variety of factors, including country, region, vaccine manufacturer, vaccine storage requirements, number of vaccinated/unvaccinated people, and distribution of vaccinated regions. Different machine learning algorithms are suitable for accomplishing different specific functions. For example, ML regression algorithms can be used to accomplish vaccination demand prediction, while ML classification algorithms are better suited to accomplish vaccination selection. In addition, in order to transparently track COVID-19 vaccine distribution and protect the privacy and security of vaccinated population data, machine learning needs to be combined with other advanced technologies, such as building blockchain-based machine learning models. Decentralized machine learning built in regard to blockchain technology will have additional benefits in terms of data security, identity verification, protection of privacy, and other areas, which will encourage and support the widespread deployment of machine learning application scenarios. As a matter of fact, the MEC server may be used to install the blockchain platform or application, enabling support for a variety of application scenarios.
3. Machine Learning Methods
3.1. GRU Neural Network Theory
Gate Recurrent Unit (GRU) is a kind of recurrent neural network. The GRU neural network is a variant of the LSTM neural network (long short-term memory network), which is based on the RNN (recurrent neural network), a well-established machine learning method that has great advantages in processing temporal series [26]. The RNN contains a signal feedback structure that correlates the output information at time t with the information before time t, and has dynamic features and memory functions.
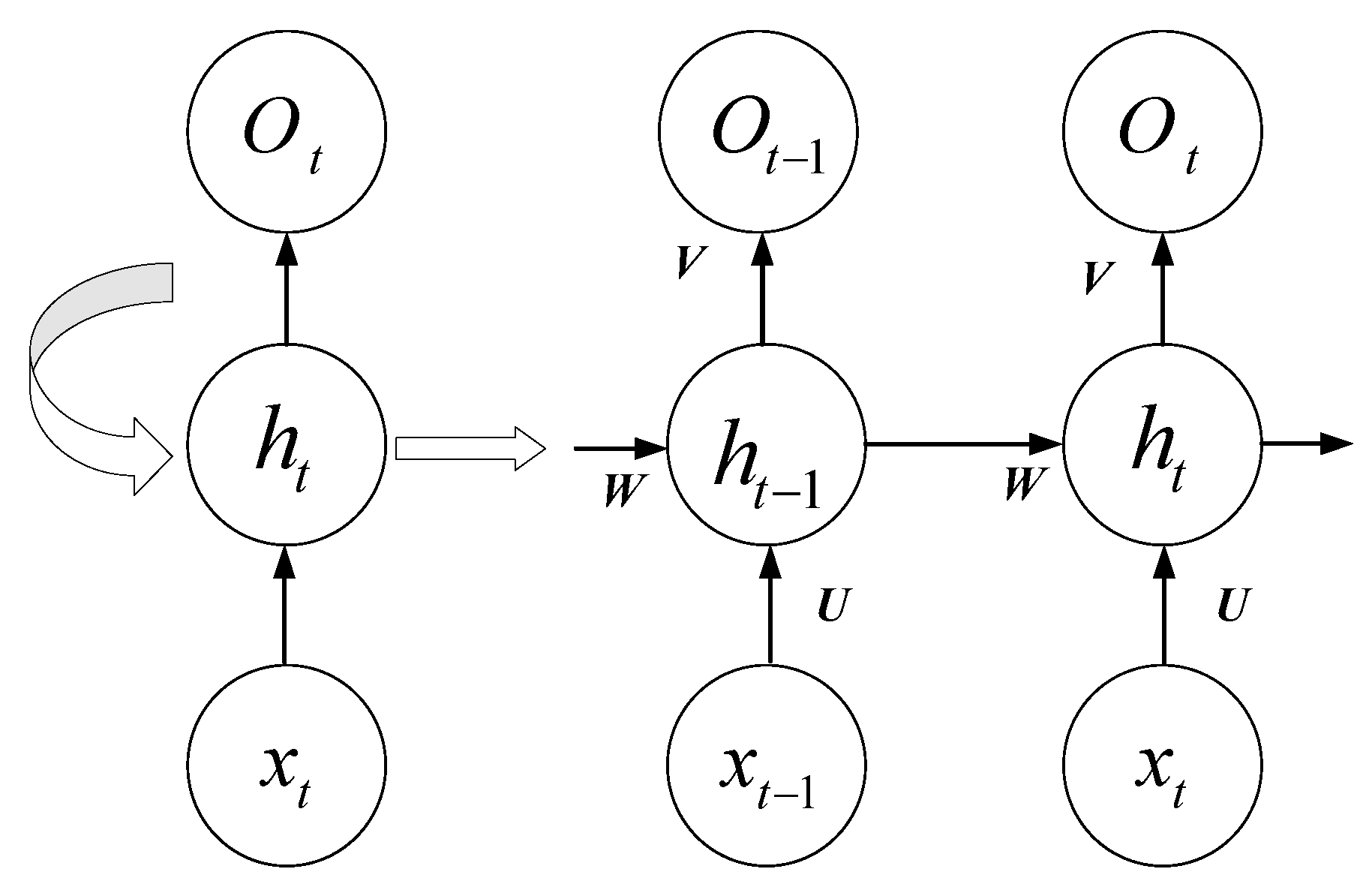
Figure 6 shows the structure of the RNN. As can be seen from the figure, (1) the RNN structure includes an input hidden layer and an output layer, where the hidden layer contains the feedback structure; (2) the output value at time t is the result of the joint action of the input information at that time and the time before; (3) the RNN can effectively analyze and process short time series, but cannot analyze and process time series with too long a dimension, otherwise it will produce “gradient disappearance RNNs can effectively analyze and process shorter time series; however, it cannot analyze and process time series with too long a dimension, otherwise it will result in “gradient disappearance” or “gradient explosion” [27]. To solve this issue, ref. [28] proposed an RNN improved structure LSTM neural network, whose hidden layer structure is shown in Figure 7. The LSTM neural network achieves memory controllability in temporal order based on the memory units (forgetting gate, input gate, and output gate) in the hidden layer; it resolves the issue of RNN’s inadequate long-term memory, but its hidden layer structure is too complex and the sample training takes a lot of time [29]. Based on the LSTM neural network, [30] proposed a GRU neural network, using reset gates and update gates instead of forgetting gates, input gates, and output gates in the LSTM neural network. Although the hidden layer data flows in the LSTM and GRU neural networks are comparable, the GRU neural network lacks a dedicated storage unit, making sample training more effective.
Figure 6.
RNN structure diagram.
Figure 7.
LSTM hidden layer structure diagram.
is the value of the hidden layer at moment t, and is the value of the hidden layer before moment t; is the value of the output layer at moment t, and is the value of the output layer before moment t; W is the value of the hidden layer previously used as this input’s weight matrix, and the input layer to the hidden layer’s weight matrix is represented by U; V represents the weight matrix from the output layer to the hidden layer; each circle represents a neuron. For a regular RNN hidden layer, when given the input value , the output values of the output layer, hidden layer at moment t can be calculated by following a series of equations:
For a regular LSTM hidden layer, when given the input value , the output values of the output layer, hidden layer at moment t can be calculated by following a series of equations:
where , , and represent forget gate, input gate, and cell update, respectively. , , and represent the relationship coefficient of each gate.
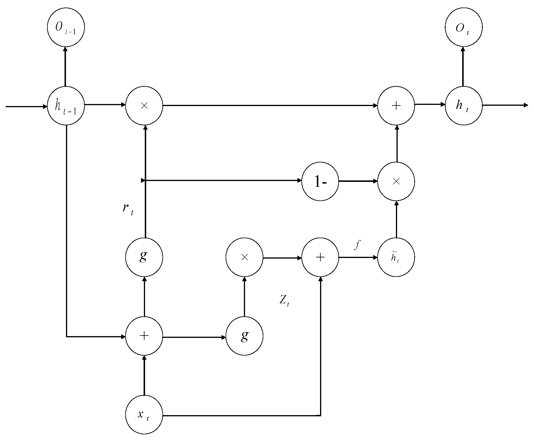
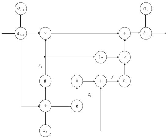
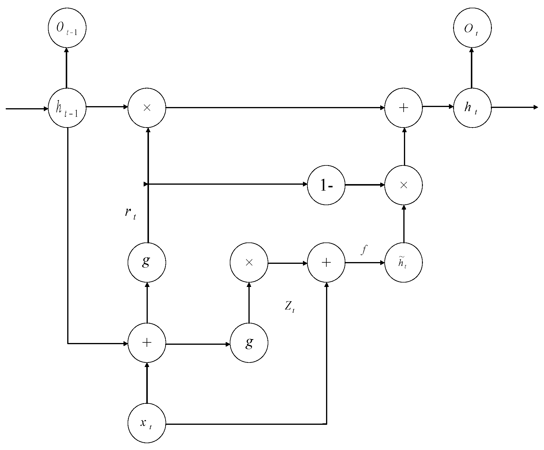
Figure 8 shows the hidden layer structure of the GRU neural network. As can be seen from the diagram, the update gate regulates how much information from a prior instant influences the information in the present moment; the greater the update gate’s value, the less influence past knowledge has on the present. The reset gate regulates how much information is taken in from the previous instant; the higher the value of the reset gate, the more information is taken in.
Figure 8.
Structure diagram of hidden layer of GRU neural network.
“1-” means that the vector’s elements are each deducted by one. The hidden layer’s value at time t is more likely to be impacted by the candidate value at time t than by the hidden layer’s value at time t-1 if the update gate’s value at time t is bigger. If the value of is taken to be approximately 1, this indicates that the value of the hidden layer at instant t-1, , does not affect the value of the hidden layer at moment t, . The update gate facilitates a better representation of the influence of data with a wider time range in the temporal series on the current moment. For the value of the reset gate at moment t, a larger value means that the candidate value at moment t is more influenced by the value of the current concealed layer t a 1. If the value of is approximately zero, it means that the value of in the covert layer at time t-1 does not contribute to the candidate value at time t. The reset gate helps to better reflect the influence of the shorter intervals in the temporal series on the current moment.
Given the input value , the value of the hidden layers at instant t for the GRU neural network is [27]
where “[]” means two vectors are connected; “○” is a calculation method between matrices, which means multiply by elements. When “○” acts on two vectors, the operation is
From Equations (11) to (14), it can be seen that the weight matrices at time for which the GRU neural network needs to be trained are , , and , which are combined by two weight matrices, i.e.,
where , , and are the weight matrices of the input value to the update gate, the input value to the reset gate, and the input value to the candidate value, respectively; , , and are the weight matrices of the last candidate value to the update gate, a reset gate’s last candidate value, and a candidate value’s latest candidate value, respectively.
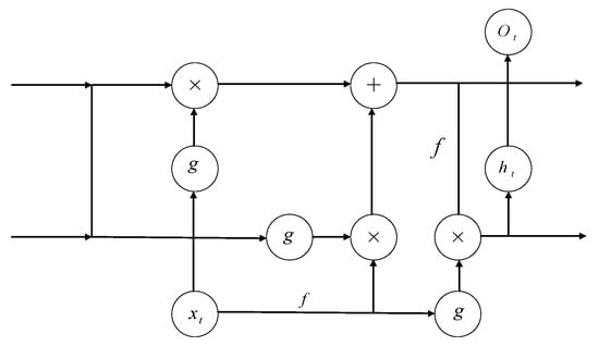
3.2. Multi-Head Attention Mechanism
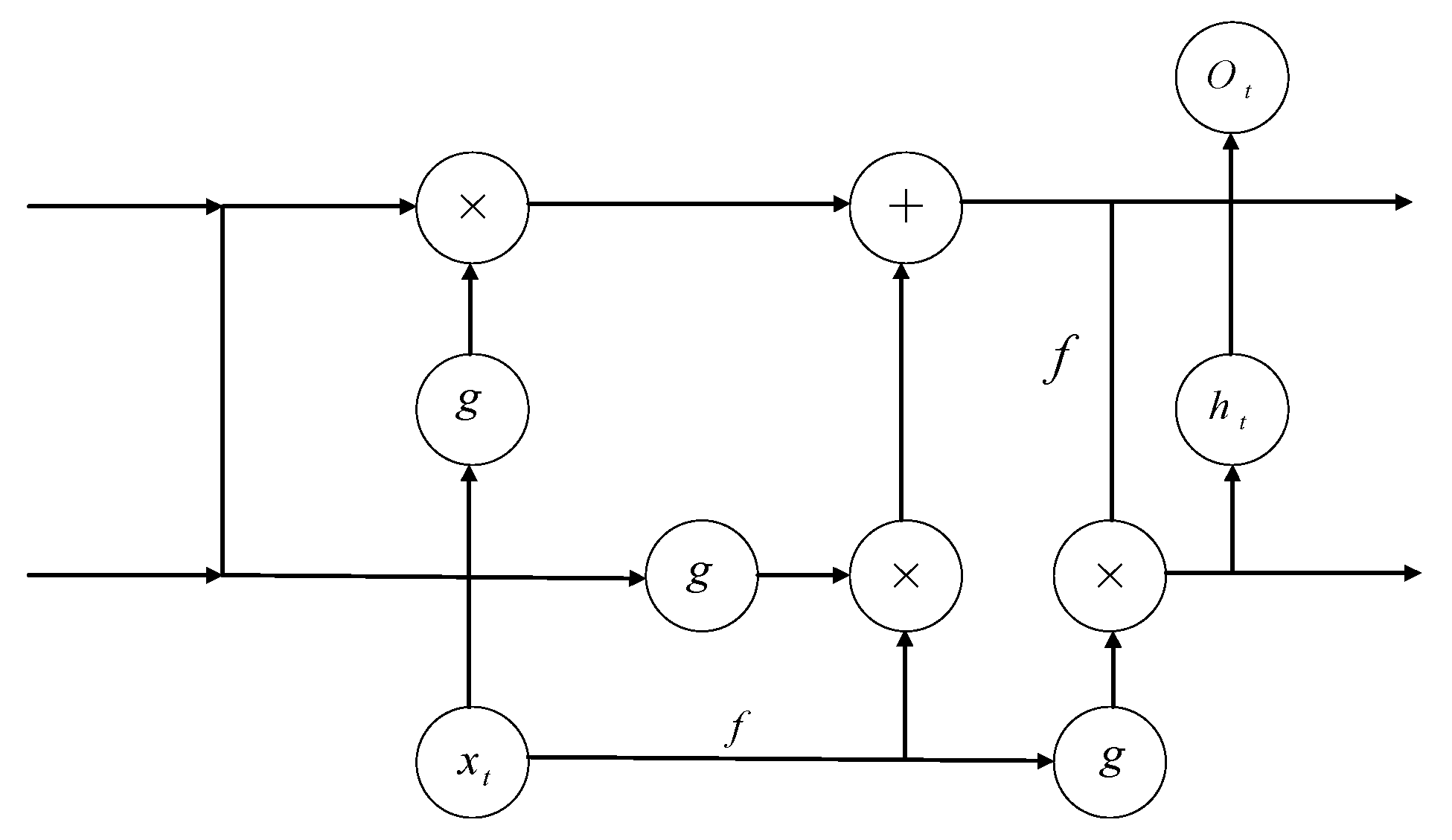
Figure 9 shows the details of the Multi-Head Attention (MHA) GRU model. The concept of Multi-Head Attention was first put forth. It has been found that a query and a set of key–value pairs are mapped to the output by a function called the attention layer, which is advantageous for queries, values, and keys to use Multi-Head Attention. The method of calculating the hidden information through the Multi-Head Attention layer is to linearly project the context vector into multiple subspaces, intersecting with the single-head attention, and the performance is greatly improved. At the same time, the output is generated by a weighted value determined by the query and the associated key.
Figure 9.
Structure of Multi-Head Attention GRU model.
The time dimension calculation for attention weighting is given by
where contributes the time dimension’s attention score, stands for the most recent output, and refers to the total output. represents the length of time, the batch size, and the feature dimension. The most recent time step is represented by parameter . Output of attention layer in time dimension is donated by , while stands for the transpose operator, for the parameter matrix, and for the transpose operator.
Single-Head Attention calculation is shown in Equations (19) and (20). For attention, we simply employ two GRU output varieties. The fact that the output of all time comprises data from every GRU output makes it crucial. Intersecting with other time steps, the output value of the last time step has the most redundant data. To calculate queries, keys, and values for multiheaded time dimension attention calculations, we also chose the following two output forms.
where represent the value, key, and query, respectively. is the number of attention heads, and means bias.
The following formulas are used to calculate the context vectors and C.
where denotes the reduced-dimension vectors from each subspace and denotes the multi-head time dimension attention score. Figure 9 illustrates the general organization of multi-head time dimension attention. The context vector is then inserted into the complete connection layer. The softmax layer receives the output and makes the final prediction. Figure 9 shows the details of the Multi-Head Attention GRU model.
3.3. Blockchained Supply Chain Prediction Methods
Figure 10 shows the flow of blockchained market demand prediction based on a sequence neural network. The specific structure of the hidden layer, output layer, and input layer is shown in the figure. The input layer performs outlier processing and normalization of the storage layer parameters and feeds the processed data into the hidden layer. The goal of normalization is to keep the input data’s maximum and lowest values within the bounds of the functions for the hidden layer and the output layer. The normalization formula used in this paper is as follows.
where and are the minimum and maximum values of , respectively.
Figure 10.
Prediction flow based on sequence prediction neural network.
When training the neural network, the hidden layer receives the data and uses the constructed sequence algorithm (LSTM, GRU, Multi-Head Attention GRU) to calculate and pass the results to the output layer; the output layer receives the calculation results and performs denormalization to provide the output results; the output results are compared with the sample values and the weight coefficients of the hidden layer are iteratively updated until the end of training. When performing neural network prediction, the hidden layer receives the data and uses the trained neural network to calculate and pass the calculation results to the output layer; the output layer receives the calculation results and performs the inverse normalization to provide the cross-wave velocity information.
The training method for sequence prediction neural networks is based on back-propagation theory and consists of four main steps.
- (1)
- Forward computation of each neuron’s output value.
- (2)
- Back-propagation of the error term for each neuron. The back-propagation of the sequence neural network error term consists of two aspects: one is the back-propagation along time, i.e., the calculation of the error term for each moment from the current moment, and the other is the transfer of the error term to the previous layer.
- (3)
- Based on the error term, the corresponding weight gradient is calculated using the optimization algorithm.
- (4)
- Update the weights using the obtained gradients. In this paper, stochastic gradient descent (SGD) is used to calculate the weight gradients. The ordinary batch gradient descent (BGD) method computes all the samples in each iteration and then updates the gradient; the SGD algorithm computes a random set of samples and updates the gradient. Compared with the BGD algorithm, the SGD algorithm can avoid falling into local extremes during the computation process, but does not need to compute all samples in each iteration, which can balance computational efficiency and computational accuracy.
4. Simulation Study
The combination of machine learning and supply chain management will greatly improve the production efficiency of enterprises and reduce cumbersome processes, so that enterprises pay more attention to strategic plans. With the help of machine learning tools, enterprise managers will determine the dynamic management of optimal suppliers and inventory to keep the enterprise running smoothly. Due to the significant advantages of machine learning intersecting with the original work plan and the full analysis of the large amount of data collected by the warehousing system and supply chain, more and more managers pay attention to its future application prospects. In addition, it can also build a complete supply chain model based on machine learning. Through the supply chain model, companies can increase insight, increase efficiency, and reduce risks, all of which are critical to globally competitive companies.
The performance of different machine learning tools in supply chain management forecasting is shown below. The model is trained using the training set, and the test set’s prediction value is acquired once the model has been trained. The fitted and projected results are compared using the Root Mean Square Error (RMSE), and Equation (28) provides its definition. The accuracy of the model increases with decreasing RMSE.
where is the actual data, is the model’s projected value, and is the total sample size.
Table 1 shows the parameter setup for different machine learning methods. After multiple tests, the best simulation model consists of three heads and three stacked identical encoder–decoder layers, consisting of 90 steps. The parameters are configured according to the information described in the previous section, and the mean square error (MSE) is used to evaluate the effect of the model. The baseline selects the LSTM and GRU models. In order to further improve the training effect, the same computing environment and hyper parameter setting are used. In the prediction of future values, 50 time steps of observation data are used as reference to predict future values. Compared to LSTM and GRU models, the MSE value is 3.23. The data for this comparison are given in Table 2.
Table 1.
Parameter setup for different machine learning methods.
Table 2.
Performance comparison amongst different machine learning methods.
In order to better demonstrate the training effect, Figure 11 shows the training loss comparison of the original model with LSTM and GRU models. After comparing with the benchmark model, it is found that the MHA-GRU model is more stable. Compared with the original benchmark model, the model proposed in this paper has an adequate learning effect, and there are no problems of non-fitting and over-fitting.
Figure 11.
Training loss of different methods on training dataset.
This paper further proves the MHA-GRU prediction results through the predicted market demand, and the predicted market demand is obtained by inversely normalizing outputs. The predicted and actual values of the market demand obtained by the MHA-GRU model in 50 time steps are shown in Figure 12 and Figure 13, respectively. This proves the effectiveness of MHA-GRU in obtaining market demand, as shown in Figure 13. It is concluded that for the next 200 time steps, the market demand of a longer time span can also be predicted by this model.
Figure 12.
Performance of the proposed MHA-GRU model on training dataset.
Figure 13.
Future forecast performance of the proposed MHA-GRU model.
Figure 14 illustrates the accuracy curves of MHA-GRU, GRU, and LSTM predictions. Apparently, the MHA-GRU model provides a better accuracy of prediction for the series, as it has superior fitting and prediction accuracy. Predicting the short-term tendency of client volume can significantly help supply chain managers make good commercial choices, increase management effectiveness, and become more responsive to market changes.
Figure 14.
Prediction accuracy of GRU and MHA-GRU.
5. Conclusions
We employed 6G IoT tracking technologies to undertake substantial supply chain management studies. In particular, we leveraged machine learning over blockchained big data. On the one hand, modern supply chain management based on machine learning is capable of achieving self-optimization and continual improvement to assure sustained growth. On the other hand, blockchain technology can compensate for poor safety and privacy, lack of trust in online transactions, and inadequate protection of property rights. Consequently, manufacturers are able to make accurate forecasts of customer demand, formulate flawless production plans, and coordinate all parties and links in the supply chain to achieve an integrated arrangement and efficient management, thereby maximizing profits.
Our work focuses on the architecture design and upper-layer machine learning algorithms in 6G IoT applications. In the future, we are going to focus on the lower layer of 6G IoT, including Massive IoT Connectivity, Massive Ultra-Reliable Low-Latency IoT Communications, and Extended IoT Network Coverage. Together, upper-layer and lower-layer work can finally deliver the full potential of our proposed system.
Author Contributions
Writing—original draft preparation, W.L.; writing—review and editing, L.Z. and M.K. All authors have read and agreed to the published version of the manuscript.
Funding
This research received no external funding.
Data Availability Statement
Data is confidential and not public.
Conflicts of Interest
The authors declare no conflict of interest.
References
- Liberman-Pincu, E.; Oron-Gilad, T. Exploring the Effect of Mass Customization on User Acceptance of Socially Assistive Robots (SARs). In Proceedings of the 2022 17th ACM/IEEE International Conference on Human-Robot Interaction (HRI), Sapporo Hokkaido, Japan, 7–10 March 2022; pp. 880–884. [Google Scholar]
- Wang, Y.; Zhao, W.; Wan, W.X. Needs-Based Product Configurator Design for Mass Customization Using Hierarchical Attention Network. IEEE Trans. Autom. Sci. Eng. 2021, 18, 195–204. [Google Scholar] [CrossRef]
- Esfandiari, S. The effect of blockchain technology on supply chain management: Its potential to prevent fraud and reduce risks to food safety and its effects on the relationships between supply chain actors in the Mexican food processing industry. In Proceedings of the 2022 IEEE Technology and Engineering Management Conference (TEMSCON EUROPE), Izmir, Turkey, 25–29 April 2022; pp. 179–183. [Google Scholar]
- Campanella, J. Principles of Quality Costs: Principles, Implementation, and Use; Asq Press: Milwaukee, WI, USA, 1990. [Google Scholar]
- Fagundes, M.V.C.; Teles, E.O.; de Melo, S.A.B.V.; Freires, F.G.M. Supply chain risk management modelling: A systematic literature network analysis review. IMA J. Manag. Math. 2019, 31, 387–416. [Google Scholar] [CrossRef]
- Sharakhin, P.S.; Levchenko, A.V.; Renzhin, D.A. Comparing Efficiency of Outsourcing or Insourcing Digital Logistics in Supply Chain Management. In Proceedings of the 2021 International Conference on Quality Management, Transport and Information Security, Information Technologies (IT & QM & IS), Yaroslavl, Russia, 6–10 September 2021; pp. 716–718. [Google Scholar]
- Hassija, V.; Chamola, V.; Gupta, V.; Jain, S.; Guizani, N. A Survey on Supply Chain Security: Application Areas, Security Threats, and Solution Architectures. IEEE Internet Things J. 2021, 8, 6222–6246. [Google Scholar] [CrossRef]
- Mohamed-Iliasse, M.; Loubna, B.; Abdelaziz, B. Is Machine Learning Revolutionizing Supply Chain? In Proceedings of the 2020 5th International Conference on Logistics Operations Management (GOL), Rabat, Morocco, 28–30 October 2020; pp. 1–10. [Google Scholar]
- Hong, T.; Lv, M.; Zheng, S.; Hong, H. Key Technologies in 6G SAGS IoT: Shape-Adaptive Antenna and Radar-Communication Integration. IEEE Netw. 2021, 35, 150–157. [Google Scholar] [CrossRef]
- Guo, F.; Yu, F.R.; Zhang, H.; Ji, H.; Liu, M.; Leung, V.C.M. Adaptive Resource Allocation in Future Wireless Networks with Blockchain and Mobile Edge Computing. IEEE Trans. Wirel. Commun. 2020, 19, 1689–1703. [Google Scholar] [CrossRef]
- Ahmed, M.; Farooq, M.S.; Ibrar-ul-Haque, M.; Ahmed, M.; Maqbool, H.; Yousaf, A. Application of Blockchain in Green Energy for Sustainable Future. In Proceedings of the 2021 International Conference on Engineering and Emerging Technologies (ICEET), Istanbul, Turkey, 27–28 October 2021; pp. 1–6. [Google Scholar]
- Xue, Z.; Xu, Y.; Han, Y.; Gao, F.; Jiang, W.; Zhu, Y.; Li, K.; Guo, Q.; Sun, J. Energy Internet: A Novel Green Roadmap for Meeting the Global Energy Demand. In Proceedings of the 2021 IEEE 5th Conference on Energy Internet and Energy System Integration (EI2), Taiyuan, China, 22–24 October 2021; pp. 3855–3860. [Google Scholar]
- Musleh, A.S.; Yao, G.; Muyeen, S.M. Blockchain Applications in Smart Grid–Review and Frameworks. IEEE Access 2019, 7, 86746–86757. [Google Scholar] [CrossRef]
- Budiarto, M.; Maesaroh, S.; Hardini, M.; Djajadi, A. Future Energy Using Blockchain Systems. In Proceedings of the 2022 International Conference on Science and Technology (ICOSTECH), Batam, Indonesia, 3–4 February 2022; pp. 1–9. [Google Scholar]
- Umar, A.; Kumar, D.; Ghose, T. Peer-to-Peer Energy Trading in a Self-Sustained Microgrid System Using Blockchain Technology. In Proceedings of the 2022 International Conference on IoT and Blockchain Technology (ICIBT), Ranchi, India, 6–8 May 2022; pp. 1–6. [Google Scholar]
- Hassan, N.U.; Yuen, C.; Niyato, D. Blockchain Technologies for Smart Energy Systems: Fundamentals, Challenges, and Solutions. IEEE Ind. Electron. Mag. 2019, 13, 106–118. [Google Scholar] [CrossRef]
- Goranović, A.; Meisel, M.; Fotiadis, L.; Wilker, S.; Treytl, A.; Sauter, T. Blockchain applications in microgrids an overview of current projects and concepts. In Proceedings of the IECON 2017—43rd Annual Conference of the IEEE Industrial Electronics Society, Beijing, China, 29 October–1 November 2017; pp. 6153–6158. [Google Scholar]
- Siano, P.; de Marco, G.; Rolán, A.; Loia, V. A Survey and Evaluation of the Potentials of Distributed Ledger Technology for Peer-to-Peer Transactive Energy Exchanges in Local Energy Markets. IEEE Syst. J. 2019, 13, 3454–3466. [Google Scholar] [CrossRef]
- Troncia, M.; Galici, M.; Mureddu, M.; Ghiani, E.; Pilo, F. Distributed ledger technologies for peer-to-peer local markets in distribution networks. Energies 2019, 12, 3249. [Google Scholar] [CrossRef]
- Ahl, A.; Yarime, M.; Tanaka, K.; Sagawa, D. Review of blockchain-based distributed energy: Implications for institutional development. Renew. Sustain. Energy Rev. 2019, 107, 200–211. [Google Scholar] [CrossRef]
- Fayyad, U.; Piatetsky-Shapiro, G.; Smyth, P. The KDD process for extracting useful knowledge from volumes of data. Commun. ACM 1996, 39, 27–34. [Google Scholar] [CrossRef]
- Wirth, R.; Hipp, J. CRISP-DM: Towards a standard process model for data mining. In Proceedings of the 4th International Conference on the Practical Applications of Knowledge Discovery and Data Mining, Manchester, UK, 11–13 April 2000; pp. 29–39. [Google Scholar]
- Abdulkader, O.; Bamhdi, A.M.; Thayananthan, V.; Elbouraey, F. IBMSDC: Intelligent Blockchain based Management System for protecting Digital Currencies Transactions. In Proceedings of the 2019 Third World Conference on Smart Trends in Systems Security and Sustainablity (WorldS4), London, UK, 30–31 July 2019; pp. 363–367. [Google Scholar]
- Paik, H.; Xu, X.; Bandara, H.M.N.D.; Lee, S.U.; Lo, S.K. Analysis of data management in blockchain-based systems: From architecture to governance. IEEE Access 2019, 7, 186091–186107. [Google Scholar] [CrossRef]
- Wang, S.; Ouyang, L.; Yuan, Y.; Ni, X.; Han, X.; Wang, F. Blockchain-enabled smart contracts: Architecture, applications, and future trends. IEEE Trans. Syst. Man. Cybern. Syst. 2019, 49, 2266–2277. [Google Scholar] [CrossRef]
- Lipton, Z.C.; Berkowitz, J.; Elkan, C. A Critical Review of Recurrent Neural Networks for Sequence Learning. Comput. Sci. arXiv Preprint 2015, arXiv:1506.00019. [Google Scholar]
- Zhang, G.; Liu, B. Research on time series classification using CNN and Bidirectional GRU. J. Front. Comput. Sci. Technol. 2019, 13, 916–927. [Google Scholar]
- Hocheriter, S.; Schmidhuber, J.; Cummins, F. Long short-term memory. Neural Comput. 1997, 9, 1735–1780. [Google Scholar] [CrossRef] [PubMed]
- Jozefowicz, R.; Zaremba, W.; Sutskever, I. An empirical exploration of recurrent network architectures. In Proceedings of the 32nd International Conference on International Conference on Machine Learning, Lille, France, 6–11 July 2015. [Google Scholar]
- Cho, K.; van Merrienboer, B.; Bahdanau, D.; Bengio, Y. On the Properties of Neural Machine Translation: Encoder-Decoder Approaches. Comput. Sci. arXiv Preprint 2014, arXiv:1409.1259.3. [Google Scholar]
Disclaimer/Publisher’s Note: The statements, opinions and data contained in all publications are solely those of the individual author(s) and contributor(s) and not of MDPI and/or the editor(s). MDPI and/or the editor(s) disclaim responsibility for any injury to people or property resulting from any ideas, methods, instructions or products referred to in the content. |
© 2022 by the authors. Licensee MDPI, Basel, Switzerland. This article is an open access article distributed under the terms and conditions of the Creative Commons Attribution (CC BY) license (https://creativecommons.org/licenses/by/4.0/).













