Efficient Colour Image Encryption Algorithm Using a New Fractional-Order Memcapacitive Hyperchaotic System
Abstract
:1. Introduction
2. Mathematical Preliminaries
3. Memcapacitor Model
3.1. Integer-Order Situation
3.2. Fractional-Order Situation
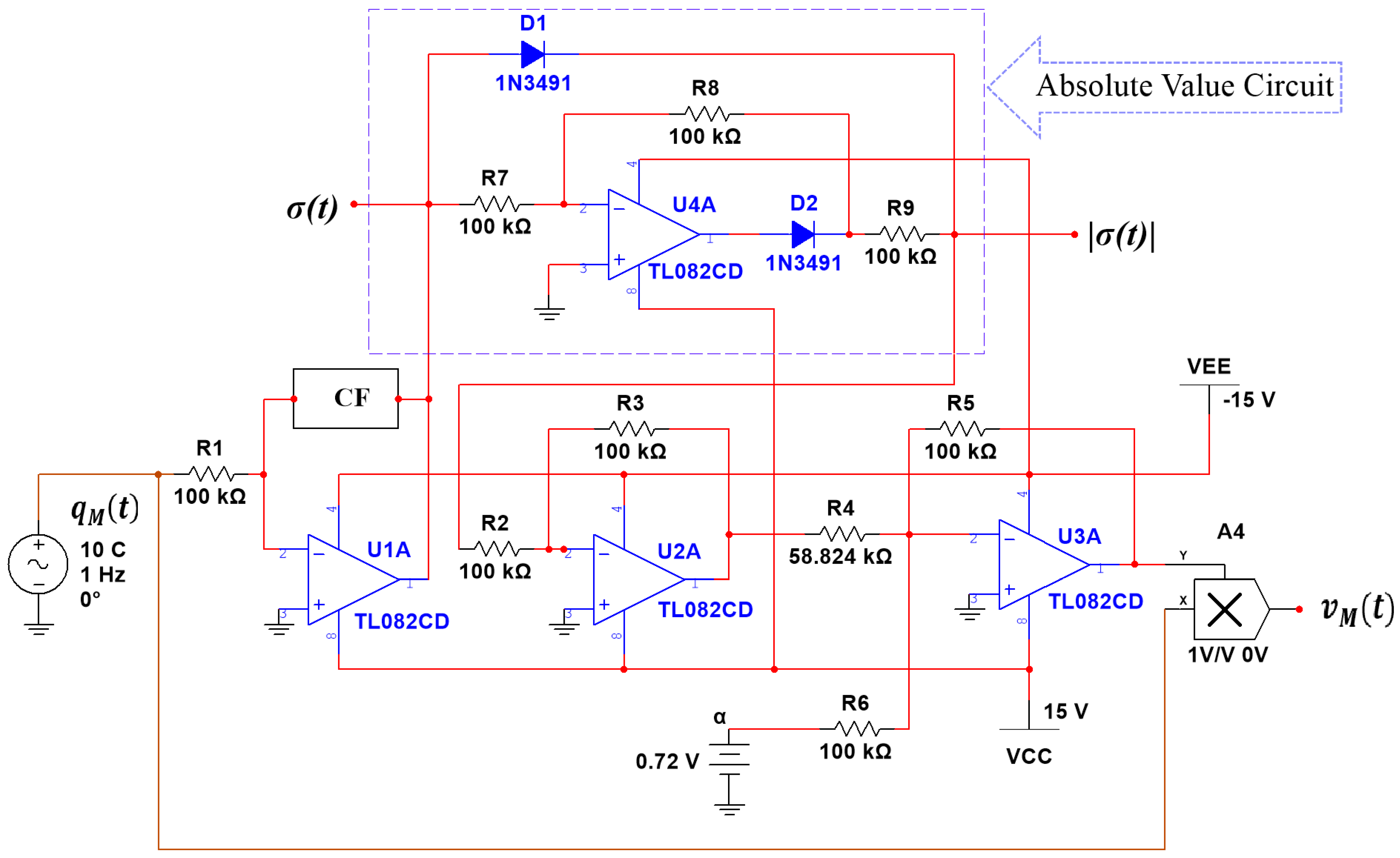
3.3. Electronic Circuit of the Fractional-Order Memcapacitor
4. Fractional-Order Memcapacitive-Based Chaotic Circuit
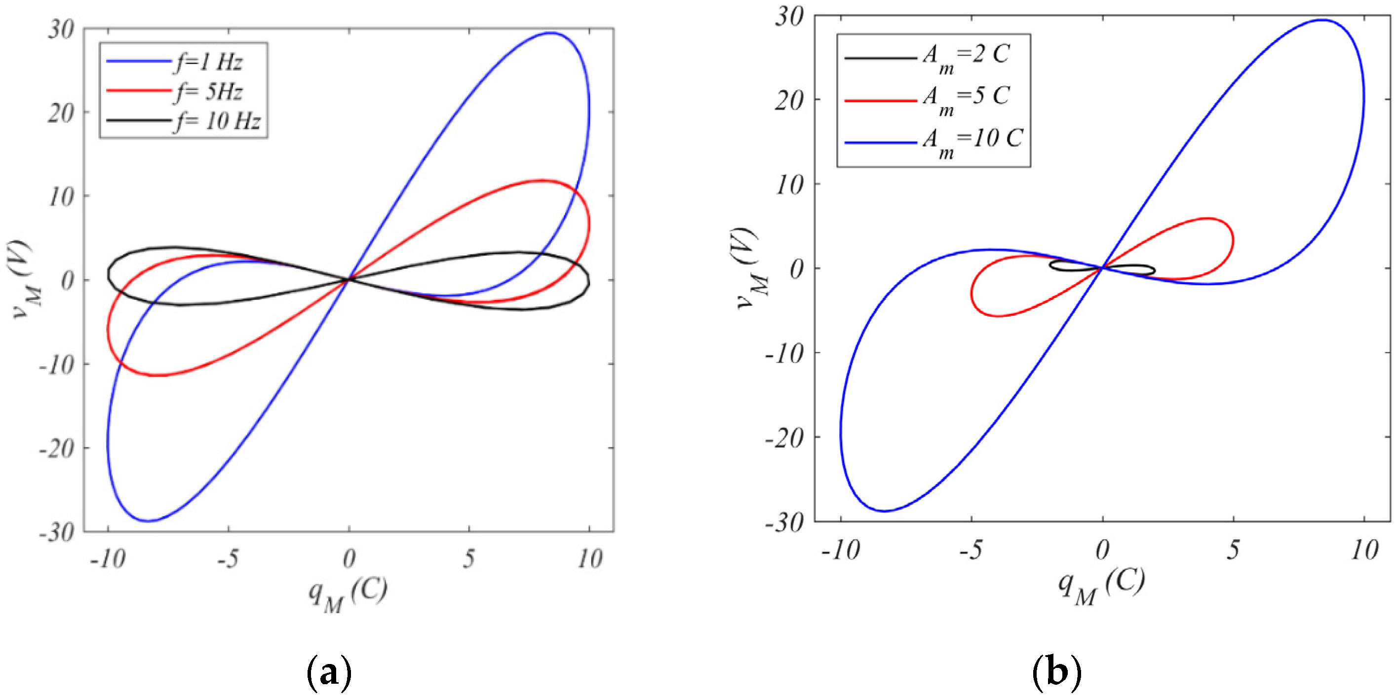
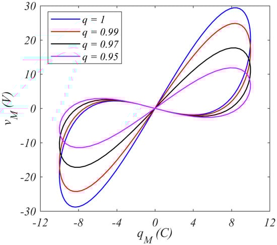
4.1. Chaotic Behaviours of the Memcapacitive System
4.2. Equilibria and Stability
5. Dynamic Analysis
5.1. Bifurcation Diagrams
5.2. Lyapunov Exponents
6. Image Encryption Algorithm
- Step 1.
- Read a coloured plain image to obtain its pixel values as a matrix IM*N, where M and N represent the rows and columns of the image pixels, respectively.
- Step 2.
- Decompose this image into its three basic bands, which are R (red), G (green), and B (blue).
- Step 3.
- Read these three bands, R, G, and B, to obtain their pixel values as matrices IRM*N, IGM*N, and IBM*N, respectively. Then shuffle these three matrixes, where the histogram will remain unchanged, whereas it will be further difficult for an intruder to decode the image unless he knows the specific shuffling procedure.
- Step 4.
- Each shuffled pixel matrix of the bands R, G, and B is split to four nonoverlapped submatrices (KP1, KP2, KP3, KP4; P = R,G,B), as shown in Figure 13. In other words, the original band matrix is divided into four blocks, taking into account the total number of elements in the obtained four submatrices equivalent to the pixel number of the basic band matrix. The size of these submatrices is determined as follows:Size(KP1) = Round(M/2) × round(N/2)Size(KP2) = Round(M/2) × floor(N-N/2)Size(KP3) = Floor (M-M/2) × round(N/2)Size(KP4) = Floor (M-M/2) × floor(N-N/2)
- Step 5.
- For the fractional-order memcapacitive hyperchaotic system defined by Equation (17), set the following values: initial conditions (x(0), y(0), z(0), u(0)), fractional-order derivative value (q), and parameters, which are a, b, d, g, α, and β.
- Step 6.
- Use these determined values in step 5 for simulating the fractional-order memcapacitive hyperchaotic system (17). Consequently, iterate the solving process with fixed steps to ensure the iteration solution set coverage of the submatrix size of the generated chaotic sequence for each state variable (x, y, z, and u). Then randomly select elements from the solution set for each state variable of the system (17) with a number equivalent to the decomposed four blocks in step 4, where x, y, z, and u state variables are responsible for generating matrices with element numbers equivalent to these four blocks, KP1, KP2, KP3, and KP4, respectively.
- Step 7.
- To determine the secret keys Sx,y,z,u, preprocess the chaotic sequences of the state. variables obtained in step 6. The following mathematical operations are used to obtain these secret keys:
- Step 8.
- Reshape these obtained secret keys in step 7 to form the matrices Sx, Sy, Sz, and Su, where their sizes as round(M/2) × round(N/2), round(M/2) × floor(N-N/2), floor(M-M/2) × round(N/2), and floor(M-M/2) × floor(N-N/2), respectively.
- Step 9.
- Encrypt the pixels in the four blocks of each band (R, G, and B) of the plain image using the obtained secret key in step 8 by the flowing operations:where signifies the B-XOR operation, and ERi(i = 1,2,3,4), EGi(i = 1,2,3,4), and EBi(i = 1,2,3,4) are the encrypted blocks of the R, G, and B bands, respectively.
- Step 10.
- Rearrange (reshape) these encrypted blocks obtained in step 9 to form the encrypted matrix bands (encrypted R, encrypted G, and encrypted B) of the original image.
- Step 11.
- Recompose the encrypted bands obtained in step 10 to give the encrypted image corresponding to the coloured plain image.
7. Experimental Results
8. Cryptanalysis
8.1. Histogram Check
8.2. Keyspace Analysis
8.3. Key Sensitivity Analysis
8.4. Correlation Coefficients Analysis
8.5. Entropy Evolution
8.6. Time Efficiency
8.7. Comparison with Related Works
9. Conclusions
Author Contributions
Funding
Institutional Review Board Statement
Informed Consent Statement
Data Availability Statement
Conflicts of Interest
References
- Shirmohammadi, S.; Ferrero, A. Camera as the instrument: The rising trend of vision based measurement. IEEE Instrum. Meas. Mag. 2014, 17, 41–47. [Google Scholar] [CrossRef]
- Ghadirli, H.M.; Nodehi, A.; Enayatifar, R. An overview of encryption algorithms in color images. SSignal Process. 2019, 164, 163–185. [Google Scholar] [CrossRef]
- Li, Z.; Peng, C.; Tan, W.; Li, L. A novel chaos-based image encryption scheme by using randomly DNA encode and plaintext related permutation. Appl. Sci. 2020, 10, 7469. [Google Scholar] [CrossRef]
- Kaur, M.; Singh, S.; Kaur, M.; Singh, A.; Singh, D. A Systematic Review of Metaheuristic-based Image Encryption Techniques. Arch. Comput. Methods Eng. 2021, 1–15. [Google Scholar] [CrossRef]
- Rahman, Z.-A.S.A.; Jasim, B.H.; Al-Yasir, Y.I.A.; Abd-Alhameed, R.A. High-Security Image Encryption Based on a Novel Simple Fractional-Order Memristive Chaotic System with a Single Unstable Equilibrium Point. Electronics 2021, 10, 3130. [Google Scholar] [CrossRef]
- Qiang, L.; Wan, Z.; Kamdem Kuate, P.D. Modelling and circuit realization of a new no-equilibrium chaotic system with hidden attractor and coexisting attractors. Electron. Lett. 2020, 56, 1044–1046. [Google Scholar]
- Wang, G.; Jiang, S.; Wang, X.; Shen, Y.; Yuan, F. A novel memcapacitor model and its application for generating chaos. Math. Probl. Eng. 2016, 2016, 1–15. [Google Scholar] [CrossRef]
- Patil, S.R.; Chougale, M.Y.; Rane, T.D.; Khot, S.S.; Patil, A.A.; Bagal, O.S.; Jadhav, S.D.; Sheikh, A.D.; Kim, S.; Dongale, T.D. Solution-processable ZnO thin film memristive device for resistive random access memory application. Electronics 2018, 7, 445. [Google Scholar] [CrossRef] [Green Version]
- Rahman, Z.-A.S.A.; Jasim, B.H.; Al-Yasir, Y.I.A.; Hu, Y.-F.; Abd-Alhameed, R.A.; Alhasnawi, B.N. A New Fractional-Order Chaotic System with Its Analysis, Synchronization, and Circuit Realization for Secure Communication Applications. Mathematics 2021, 9, 2593. [Google Scholar] [CrossRef]
- Mainardi, F. Fractional calculus. In Fractals and Fractional Calculus in Continuum Mechanics; Springer: Vienna, Austria, 1997; pp. 291–348. [Google Scholar]
- Liao, T.-L.; Chen, H.-C.; Peng, C.-Y.; Hou, Y.-Y. Chaos-based secure communications in biomedical information application. Electronics 2021, 10, 359. [Google Scholar] [CrossRef]
- Rahman, Z.-A.; Jasim, B.; Al-Yasir, Y.; Abd-Alhameed, R.; Alhasnawi, B. A New No Equilibrium Fractional Order Chaotic System, Dynamical Investigation, Synchronization, and Its Digital Implementation. Inventions 2021, 6, 49. [Google Scholar] [CrossRef]
- Ye, G.; Jiao, K.; Wu, H.; Pan, C.; Huang, X. An asymmetric image encryption algorithm based on a fractional-order chaotic system and the RSA public-key cryptosystem. Int. J. Bifurc. Chaos 2020, 30, 2050233. [Google Scholar] [CrossRef]
- Lai, Q.; Lai, C.; Zhang, H.; Li, C. Hidden coexisting hyperchaos of new memristive neuron model and its application in image encryption. Chaos Solitons Fractals 2022, 158, 112017. [Google Scholar] [CrossRef]
- Lai, Q.; Wan, Z.; Zhang, H.; Chen, G. Design and analysis of multiscroll memristive hopfield neural network with adjustable memductance and application to image encryption. IEEE Trans. Neural Netw. Learn. Syst. 2022, 1–14. [Google Scholar] [CrossRef] [PubMed]
- Zhang, D.; Chen, L.; Li, T. Hyper-chaotic color image encryption based on transformed zigzag diffusion and RNA operation. Entropy 2021, 23, 361. [Google Scholar] [CrossRef]
- Qian, X.; Yang, Q.; Li, Q.; Liu, Q.; Wu, Y.; Wang, W. A novel color image encryption algorithm based on three-dimensional chaotic maps and reconstruction techniques. IEEE Access 2021, 9, 61334–61345. [Google Scholar] [CrossRef]
- Khalil, N.; Sarhan, A.; Alshewimy, M.A. An efficient color/grayscale image encryption scheme based on hybrid chaotic maps. Opt. Laser Technol. 2021, 143, 107326. [Google Scholar] [CrossRef]
- Teng, L.; Wang, X.; Yang, F.; Xian, Y. Color image encryption based on cross 2D hyperchaotic map using combined cycle shift scrambling and selecting diffusion. Nonlinear Dyn. 2021, 105, 1859–1876. [Google Scholar] [CrossRef]
- Li, S.; Yu, Y.; Ji, X.; Sun, Q. A novel colour image encryption based on fractional order Lorenz system. Syst. Sci. Control Eng. 2020, 9, 141–150. [Google Scholar] [CrossRef]
- Yuan, F.; Li, Y.; Wang, G.; Dou, G.; Chen, G. Complex dynamics in a memcapacitor-based circuit. Entropy 2019, 21, 188. [Google Scholar] [CrossRef] [Green Version]
- Rahman, Z.; Jassim, B.; Al Yasir, Y. New Fractional Order Chaotic System: Analysis, Synchronization, and it’s Application. Iraqi J. Electr. Electron. Eng. 2021, 17, 116–123. [Google Scholar] [CrossRef]
- Sabatier, J.; Agrawal, O.P.; Machado, J.A.T. Advances in Fractional Calculus; Springer: Dordrecht, The Netherland, 2007. [Google Scholar]
- Baleanu, D.; Diethelm, K.; Scalas, E.; Trujillo, J.J. Fractional Calculus: Models and Numerical Methods; World Scientific: Singapore, 2012; Volume 3. [Google Scholar]
- Ortigueira, M.D. Fractional Calculus for Scientists and Engineers; Springer Science & Business Media: Berlin, Germany, 2011; Volume 84. [Google Scholar]
- Loverro, A. Fractional Calculus: History, Definitions and Applications for the Engineer. Available online: https://www.semanticscholar.org/paper/Fractional-Calculus-%3A-History-%2C-Definitions-and-for-Loverro/6256fee0c10bdb7096df51ca8e64df58414ed026 (accessed on 25 March 2022).
- Abdon, A.; Gómez-Aguilar, J.F. Numerical approximation of Riemann-Liouville definition of fractional derivative: From Riemann-Liouville to Atangana-Baleanu. Numer. Methods Partial. Differ. Equ. 2018, 34, 1502–1523. [Google Scholar]
- Srivastava, H.M. Fractional-order integral and derivative operators and their applications. Mathematics 2020, 8, 1016. [Google Scholar] [CrossRef]
- Algahtani, O.J.J. Comparing the Atangana–Baleanu and Caputo–Fabrizio derivative with fractional order: Allen Cahn model. Chaos Solitons Fractals 2016, 89, 552–559. [Google Scholar] [CrossRef]
- Ventra, M.D.; Pershin, Y.V.; Chua, L.O. Circuit elements with memory: Memristors, memcapacitors, and meminductors. Proc. IEEE 2009, 97, 1717–1724. [Google Scholar] [CrossRef] [Green Version]
- Romero, F.; Ohata, A.; Toral-Lopez, A.; Godoy, A.; Morales, D.; Rodriguez, N. Memcapacitor and meminductor circuit emulators: A review. Electronics 2021, 10, 1225. [Google Scholar] [CrossRef]
- Pu, Y.-F. Measurement units and physical dimensions of fractance-part II: Fractional-order measurement units and physical dimensions of fractance and rules for fractors in series and parallel. IEEE Access 2016, 4, 3398–3416. [Google Scholar] [CrossRef]
- Akgul, A. Chaotic oscillator based on fractional order memcapacitor. J. Circuits Syst. Comput. 2019, 28, 1950239. [Google Scholar] [CrossRef]
- Hosseinnia, S.H.; Ghaderi, R.; Mahmoudian, M.; Momani, S. Sliding mode synchronization of an uncertain fractional order chaotic system. Comput. Math. Appl. 2010, 59, 1637–1643. [Google Scholar] [CrossRef] [Green Version]
- Rahman, Z.-A.S.A.; Al-Kashoash, H.A.A.; Ramadhan, S.M.; Al-Yasir, Y.I.A. Adaptive control synchronization of a novel memristive chaotic system for secure communication applications. Inventions 2019, 4, 30. [Google Scholar] [CrossRef] [Green Version]
- Garrappa, R. Numerical solution of fractional differential equations: A survey and a software tutorial. Mathematics 2018, 6, 16. [Google Scholar] [CrossRef] [Green Version]
- Jasim, B.H.; Hassan, K.H.; Omran, K.M. A new 4-D hyperchaotic hidden attractor system: Its dynamics, coexisting attractors, synchronization and microcontroller implementation. Int. J. Electr. Comput. Eng. 2021, 11, 2068–2078. [Google Scholar] [CrossRef]
- Jasim, B.H.; Mjily, A.H.; Al-Aaragee, A.M.J. A novel 4 dimensional hyperchaotic system with its control, synchronization and implementation. Int. J. Electr. Comput. Eng. 2021, 11, 2974–2985. [Google Scholar] [CrossRef]
- Al-Hussein, A.-B.; Tahir, F.; Ouannas, A.; Sun, T.-C.; Jahanshahi, H.; Aly, A. Chaos suppressing in a three-buses power system using an adaptive synergetic control method. Electronics 2021, 10, 1532. [Google Scholar] [CrossRef]
- Akhavan, A.; Samsudin, A.; Akhshani, A. Cryptanalysis of an image encryption algorithm based on DNA encoding. Opt. Laser Technol. 2017, 95, 94–99. [Google Scholar] [CrossRef]
- Moussa, K.H.; Naggary, A.I.E.; Mohamed, H.G. Non-linear hopped chaos parameters-based image encryption algorithm using histogram equalization. Entropy 2021, 23, 535. [Google Scholar] [CrossRef]
- Xiang, Y.; Xiao, D.; Zhang, R.; Liang, J.; Liu, R. Cryptanalysis and improvement of a reversible data-hiding scheme in encrypted images by redundant space transfer. Inf. Sci. 2021, 545, 188–206. [Google Scholar] [CrossRef]
- Mandal, M.K.; Kar, M.; Singh, S.K.; Barnwal, V.K. Symmetric key image encryption using chaotic Rossler system. Secur. Commun. Netw. 2013, 7, 2145–2152. [Google Scholar] [CrossRef]
- ElKamchouchi, D.H.; Mohamed, H.G.; Moussa, K.H. A bijective image encryption system based on hybrid chaotic map diffusion and DNA confusion. Entropy 2020, 22, 180. [Google Scholar] [CrossRef] [Green Version]
- Yousif, B.; Khalifa, F.; Makram, A.; Takieldeen, A. A novel image encryption/decryption scheme based on integrating multiple chaotic maps. AIP Adv. 2020, 10, 75220. [Google Scholar] [CrossRef]
- Situ, G.; Zhang, J. Position multiplexing for multiple-image encryption. J. Opt. A Pure Appl. Opt. 2006, 8, 391–397. [Google Scholar] [CrossRef]
- Kari, A.P.; Navin, A.H.; Bidgoli, A.M.; Mirnia, M. A new image encryption scheme based on hybrid chaotic maps. Multimed. Tools Appl. 2021, 80, 2753–2772. [Google Scholar] [CrossRef]
- Wang, X.; Teng, L.; Qin, X. A novel colour image encryption algorithm based on chaos. Signal Process. 2012, 92, 1101–1108. [Google Scholar] [CrossRef]
- Ye, G.; Pan, C.; Huang, X.; Zhao, Z.; He, J. A chaotic image encryption algorithm based on information entropy. Int. J. Bifurc. Chaos 2018, 28, 1850010. [Google Scholar] [CrossRef]
- Peng, X.; Zeng, Y. Image encryption application in a system for compounding self-excited and hidden attractors. Chaos Solitons Fractals 2020, 139, 110044. [Google Scholar] [CrossRef]
- Hafsa, A.; Sghaier, A.; Malek, J.; Machhout, M. Image encryption method based on improved ECC and modified AES algorithm. Multimed. Tools Appl. 2021, 80, 19769–19801. [Google Scholar] [CrossRef]
























| Algorithm | Keyspace | NPCR | UACI | Horizontal rxy | Vertical rxy | Diagonal rxy | H(s) | Time Efficiency |
|---|---|---|---|---|---|---|---|---|
| Ref. [14] | 2256 | 0.99602 | 0.3348 | 0.0019 | 0.0069 | 0.0087 | 7.9976 | N/A |
| Ref. [15] | N/A | 0.99602 | 0.3348 | 0.0019 | 0.0069 | 0.0087 | 7.9976 | N/A |
| Ref. [16] | 2256 | 0.99661 | 0.33617 | 0.0046 | 0.0024 | 0.0051 | 7.9973 | 28.49 s |
| Ref. [17] | 2600 | 0.99690 | 0.33437 | 0.0004 | 0.0019 | 0.0012 | N/A | N/A |
| Ref. [18] | 2262 | 0.99620 | 0.33560 | 0.0023 | 0.0012 | 0.0001 | 7.9994 | N/A |
| Ref. [19] | N/A | 0.99643 | 0.33502 | 0.000617 | 0.000535 | 0.000411 | 7.9914 | 0.8379 s |
| Ref. [20] | 2279 | 0.99613 | 0.334706 | 0.000312 | 0.002088 | 0.001444 | 7.9976 | 1.708 s |
| Ours | 2744 | 0.99814 | 0.336251 | 0.000262 | 0.000472 | 0.00013 | 7.9996 | 0.45 s |
| Figure 9 | Figure 10 | ||
|---|---|---|---|
| Parameter | Value | Parameter | Value |
| a | 2.2222 | a | 2.2222 |
| b | 0.1667 | b | 0.1667 |
| d | 0.45 | d | 0.45 |
| g | 2 | g | 2 |
| α | Variable | α | 0.75 |
| β | 1.72 | β | 1.72 |
| Fractional-order (q) | 0.99 | Fractional-order (q) | Variable |
| Figure 11 | Figure 12 | ||
|---|---|---|---|
| Parameter | Value | Parameter | Value |
| a | 2.2222 | a | 2.2222 |
| b | 0.1667 | b | 0.1667 |
| d | 0.45 | d | 0.45 |
| g | 2 | g | 2 |
| α | 0.75 | α | 0.75 |
| β | 1.72 | β | 1.72 |
| Fractional-order (q) | 0.99 | Fractional-order (q) | Variable |
| Direction | Original Images | |||
|---|---|---|---|---|
| Lena | R Band | G Band | B Band | |
| NPCR | 0.99814 | 0.99783 | 0.9982 | 0.99813 |
| UACI | 0.33625 | 0.336192 | 0.33626 | 0.33620 |
| Direction | Plain Images | Encrypted Images | ||||||
|---|---|---|---|---|---|---|---|---|
| Lena | R Band | G Band | B Band | Lena | R Band | G Band | B Band | |
| Vertical | 0.9821 | 0.9712 | 0.9677 | 0.9675 | 0.000472 | 0.000466 | 0.000413 | 0.000398 |
| Horizontal | 0.9743 | 0.9638 | 0.9847 | 0.9789 | 0.000262 | 0.000269 | 0.000245 | 0.000221 |
| Diagonal | 0.9672 | 0.9855 | 0.9789 | 0.9813 | 0.00013 | 0.000157 | 0.000173 | 0.000141 |
| Original Image | Encrypted Image | |
|---|---|---|
| Lena | 7.2351 | 7.9996 |
| R Band | 7.1334 | 7.9994 |
| G Band | 6.9541 | 7.9995 |
| B Band | 7.1263 | 7.9993 |
Publisher’s Note: MDPI stays neutral with regard to jurisdictional claims in published maps and institutional affiliations. |
© 2022 by the authors. Licensee MDPI, Basel, Switzerland. This article is an open access article distributed under the terms and conditions of the Creative Commons Attribution (CC BY) license (https://creativecommons.org/licenses/by/4.0/).
Share and Cite
Rahman, Z.-A.S.A.; Jasim, B.H.; Al-Yasir, Y.I.A.; Abd-Alhameed, R.A. Efficient Colour Image Encryption Algorithm Using a New Fractional-Order Memcapacitive Hyperchaotic System. Electronics 2022, 11, 1505. https://doi.org/10.3390/electronics11091505
Rahman Z-ASA, Jasim BH, Al-Yasir YIA, Abd-Alhameed RA. Efficient Colour Image Encryption Algorithm Using a New Fractional-Order Memcapacitive Hyperchaotic System. Electronics. 2022; 11(9):1505. https://doi.org/10.3390/electronics11091505
Chicago/Turabian StyleRahman, Zain-Aldeen S. A., Basil H. Jasim, Yasir I. A. Al-Yasir, and Raed A. Abd-Alhameed. 2022. "Efficient Colour Image Encryption Algorithm Using a New Fractional-Order Memcapacitive Hyperchaotic System" Electronics 11, no. 9: 1505. https://doi.org/10.3390/electronics11091505
APA StyleRahman, Z.-A. S. A., Jasim, B. H., Al-Yasir, Y. I. A., & Abd-Alhameed, R. A. (2022). Efficient Colour Image Encryption Algorithm Using a New Fractional-Order Memcapacitive Hyperchaotic System. Electronics, 11(9), 1505. https://doi.org/10.3390/electronics11091505

